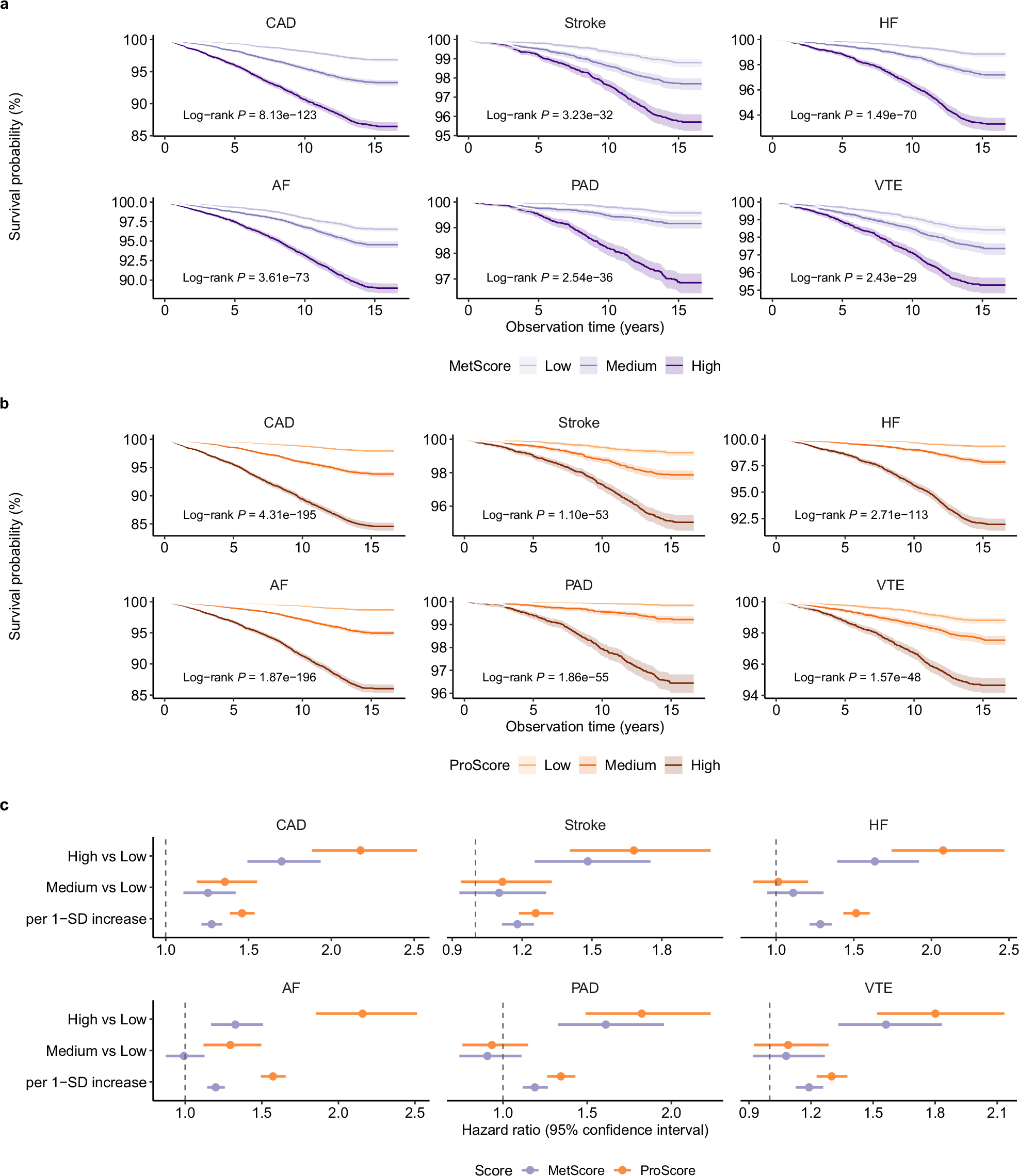
Fig. 2: MetScore and ProScore stratify the risk of cardiovascular diseases (CVDs) (N = 24,287).

Survival probabilities over time for six CVDs, stratified by the tertiles of MetScore (a) and ProScore (b). Solid lines represent survival probabilities (measure of center), estimated using the Kaplan–Meier method, and shaded areas represent 95% exponential Greenwood confidence intervals (error bands). c Associations of CVD risk with MetScore and ProScore. Each score was analyzed both as a categorical variable (tertile groups: low, medium, high; low as reference) and as a continuous variable (per 1-standard deviation [SD] increase after standardization). Data are presented as hazard ratios (measure of center) estimated by Cox proportional hazards models with error bars representing 95% confidence intervals. All models were adjusted for demographic information, healthy lifestyles, family disease history, disease and medication history, physical measurements, and blood count. CAD coronary artery disease, HF heart failure, AF atrial fibrillation, PAD peripheral artery disease, VTE venous thromboembolism. Source data are provided as a Source Data file.