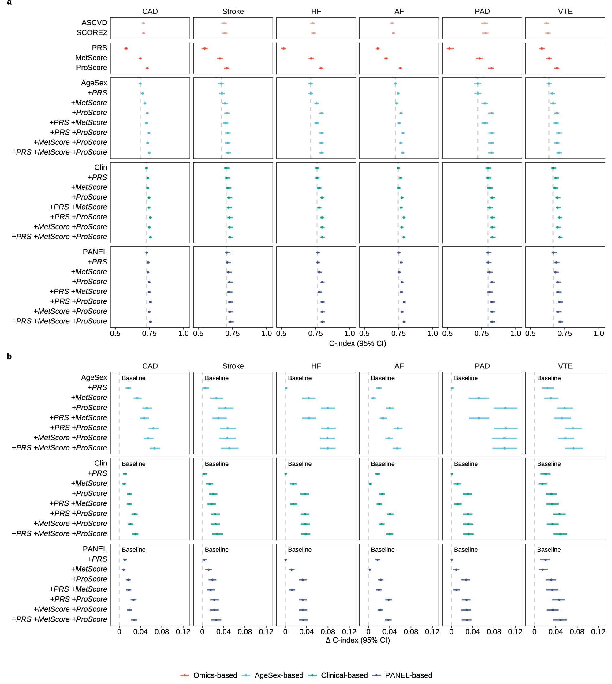
Fig. 3: Predictive performance of multiomics for cardiovascular diseases.

a Discriminative performance of models trained on various predictor sets. Vertical dashed lines indicate the performance of the three clinical predictor sets. Discriminative performance was evaluated by Harrell’s C-index. b Differences in discriminative performance (ΔC-index) by adding omics information to clinical predictor sets. In both panels, data are presented as point estimates (measures of center) with error bars representing 95% confidence intervals estimated from 1000 bootstrap resamples. PRS polygenic risk score, CAD coronary artery disease, HF heart failure, AF atrial fibrillation, PAD peripheral artery disease, VTE venous thromboembolism. Source data are provided as a Source Data file.