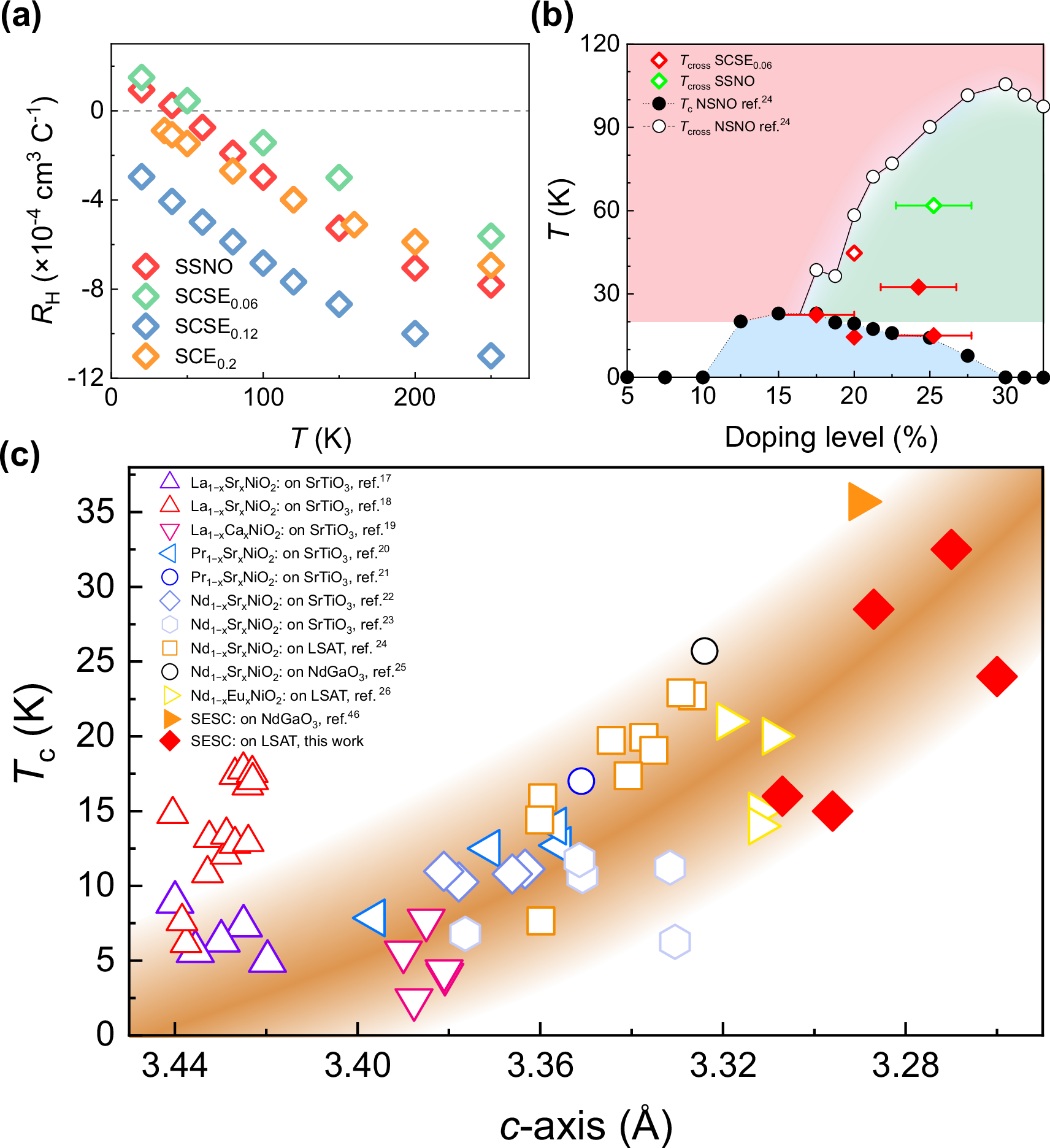
Fig. 4: Hall measurements, comparison with other infinite layer nickelates and correlation between Tc and the c-axis lattice constant.

a Temperature dependence of the Hall coefficients for various samples. b Tc and Tcross versus the estimated hole doping level plotted with reference to the data extracted from Ref. 24 for Nd1-xSrxNiO2 (NSNO). c The correlation of Tc and the c-axis lattice constant for different IL systems. The highest Tc was observed in SCE0.2 with a c-axis of 3.273 Å. The red rhombus-shaped points in the figure are data from this work while other data are extracted from Refs. 17,18,19,20,21,22,23,24,25,26,46 Data from this work are presented in both the main text and Supplementary Information.