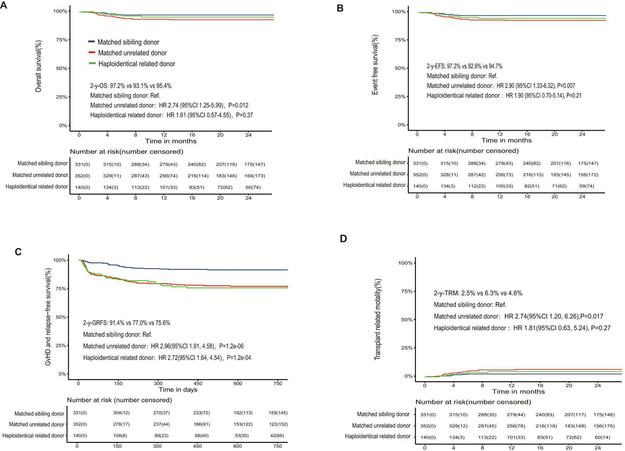
Fig. 2: Survival outcomes after transplantation according to donor type.

Kaplan–Meier curves for overall survival (A), event-free survival (B), GvHD and relapse-free survival (C) and transplant related mortality (D). Time-to-event rates were estimated using the Kaplan–Meier method, and hazard ratios were estimated using the two-sided Cox proportional hazards model with centers as a random-effect. OS Overall survival, EFS Event free survival, GRFS Graft versus host disease and relapse free survival, TRM Transplant related mortality.