Fig. 4: Nonlinear damping and nonlinearity-enhanced photon-pressure coupling.
From: Tunable and nonlinearity-enhanced dispersive-plus-dissipative coupling in photon-pressure circuits

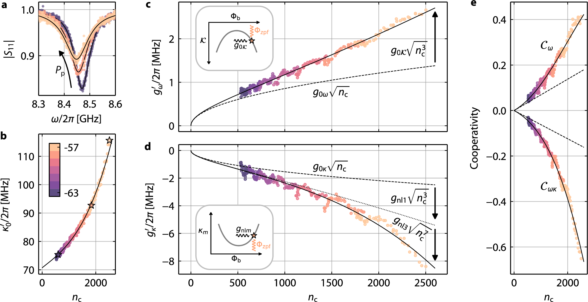
a HF cavity reflection ∣S11∣ for fixed ωp = 2π × 8.031 GHz and increasing sideband pump-power Pp, measured by a small VNA probe tone. With increasing pump power, the cavity shifts to lower frequencies due to its Kerr anharmonicity, and its linewidth increases due to nonlinear damping. Symbols are experimental data, lines are fits. b Total HF mode linewidth \({\kappa }_{0}^{{\prime} }\) for seven different pump powers (color-coded as given by the color bar in units of dBm) and multiple detunings between \(-{\kappa }_{0}^{{\prime} }/4\) and \(+{\kappa }_{0}^{{\prime} }/4\) in pump-frequency steps of 2 MHz, all plotted vs. their corresponding intracavity pump photon-number nc. Symbols are data, star symbols correspond to the datasets in a. Line is a fit with \({\kappa }_{0}^{{\prime} }={\kappa }_{0}+2{\kappa }_{1}{n}_{\mathrm{c}}+ 3{\kappa }_{2}{n}_{\mathrm{c}}^{2}+ 4{\kappa}_{3}{n}_{\mathrm{c}}^{3}\). c Dispersive multiphoton coupling rate \({g}_{\omega }^{{\prime} }\) vs. nc as extracted from PPIT. Pump powers and detunings are identical to b. Symbols are data, solid line is a fit with \({g}_{\omega }^{{\prime} }={g}_{0\omega }\sqrt{{n}_{\mathrm{c}}}+{g}_{0{{\mathcal{K}}}}\sqrt{{n}_{\mathrm{c}}^{3}}\); dashed line shows \({g}_{\omega }={g}_{0\omega }\sqrt{{n}_{\mathrm{c}}}\) without the Kerr enhancement. Inset: Schematic of the HF self-Kerr nonlinearity \({{\mathcal{K}}}\) as a function of bias flux and how the LF zero-point-fluctuation flux modulates it by \({g}_{0{{\mathcal{K}}}}=-{\Phi }_{\mathrm{zpf}}\partial {{\mathcal{K}}}/\partial {\Phi }_{\mathrm{b}}\). d Dissipative multiphoton coupling rate \({g}_{\kappa }^{{\prime} }\) vs. nc as extracted from PPIT. Pump powers and detunings are identical to b. Symbols are data, solid line is a fit with \({g}_{\kappa }^{{\prime} }={g}_{0\kappa }\sqrt{{n}_{\mathrm{c}}}+{g}_{\mathrm{nl}1}\sqrt{{n}_{\mathrm{c}}^{3}}+{g}_{\mathrm{nl}2}\sqrt{{n}_{\mathrm{c}}^{5}}+{g}_{\mathrm{nl}3}\sqrt{{n}_{\mathrm{c}}^{7}}\); dashed line shows \({g}_{\kappa }={g}_{0\kappa }\sqrt{{n}_{\mathrm{c}}}\) without nonlinearity-enhancement, dotted line shows \({g}_{0\kappa }\sqrt{{n}_{\mathrm{c}}}+{g}_{\mathrm{nl}1}\sqrt{{n}_{\mathrm{c}}^{3}}\). From the fit, we obtain gnl2 ≈ 0. Inset: Schematic of a generic nonlinear damping coefficient κm, \(m\in {\mathbb{N}}\), as a function of bias flux and how the LF zero-point-fluctuation flux modulates it by gnlm = − Φzpf∂κm/∂Φb. e Dispersive cooperativity \({{{\mathcal{C}}}}_{\omega }=4{g}_{\omega }^{{\prime} 2}/{\kappa }_{0}^{{\prime} }{\Gamma }_{0}\) and cross-cooperativity \({{{\mathcal{C}}}}_{\omega \kappa }=2{g}_{\omega }^{{\prime} }{g}_{\kappa }^{{\prime} }/{\kappa }_{0}^{{\prime} }{\Gamma }_{0}\) vs. nc. Symbols are derived from data, solid lines follow from the fits in b--d with Γ0 = 2π × 601 kHz, dashed line is the reference without the nonlinearity-enhancement and with constant \({\kappa }_{0}^{{\prime} }={\kappa }_{0}\). The effects from increasing \({\kappa }_{0}^{{\prime} }\) and nonlinearity-enhanced \({g}_{\omega }^{{\prime} },{g}_{\kappa }^{{\prime} }\) compete, but overall still lead to a significant enhancement of both cooperativities by factors up to ~ 2.4 and ~ 4.1, respectively.