Abstract
Rising life expectancy and an aging population highlight the importance of cancer control. DNA methylation (DNAm)-based biological age (BA) may provide insights into aging, carcinogenesis, and cancer prevention and care. We estimated five BA metrics among 1916 participants aged 50–75 years at baseline in the German ESTHER cohort, with repeat BA measurements available for 894 participants after 8 years. Multivariable linear regression was used to assess associations between prior cancer and baseline BA, while Cox proportional hazards models and restricted cubic splines evaluated associations of BA levels and trajectories with subsequent cancer risk. A history of malignant tumors was associated with higher baseline PCHannum and PCGrimAge in fully adjusted models. Older BA levels were significantly associated with increased long-term cancer risk, with hazard ratios up to 1.67 (95% CI 1.25–2.24) per standard deviation (SD) increase in PCGrimAge. Except for PCGrimAge, BA trajectories showed monotonic, linear associations with cancer risk, corresponding to a 33% to 37% higher risk per SD increase in slopes of four BA matrices. Accelerated biological aging was consistently associated with increased overall cancer risk, highlighting the potential value of longitudinal BA measures for cancer risk assessment, prevention, and monitoring.

Similar content being viewed by others
Introduction
Cancer ranks as a leading cause of death worldwide, accounting for nearly 10 million deaths in 20221. In addition to being an important barrier to increasing life expectancy, cancer is associated with substantial public health burden that varies in degree across cancer types and gender worldwide2. Moreover, because the risk of cancer increases exponentially with advancing age3, with greater life expectancy, overall cancer burden is expected to rise. These clinical and epidemiological trends underscore the challenges of cancer control in middle-aged and older adults4.
Some of the proposed hallmarks of aging, such as genomic instability and epigenetic alteration, also overlap with the hallmarks of cancer5,6,7,8,9. However, individuals of the same chronological age (CA) may exhibit different susceptibility to cancer, which is likely reflective of differences in their underlying biological aging processes10,11,12. Understanding the molecular mechanisms underlying the aging process not only informs cancer surveillance but also contributes to the long-term care of cancer survivors, with the ultimate goal of maximizing healthy survival. Biological age (BA) has been proposed as a more accurate indicator of an individual’s global physiological state, capturing variability in aging rates among individuals with the same CA11,13. Therefore, BA can be useful to assess health risks in individuals of the same age. DNA methylation (DNAm)-based epigenetic clocks could evaluate BA and are increasingly recognized as robust biomarkers of aging as they have been reported to reflect aging processes6,9,10,14,15.
More specifically, there are two generations of DNAm-based BA metrics. The first-generation clocks include Hannum16, Horvath17, and SkinBloodClock18, which derive aging-related DNA methylation signals from specific cytosine-phosphate-guanine (CpG) dinucleotides. In contrast, second-generation clocks like PhenoAge and GrimAge incorporate additional information related to mortality risk and physiological biomarkers19,20. More recent, third-generation metrics have been proposed to quantify aging-related biological processes, such as the pace of aging (DunedinPoAm and DunedinPACE)21,22. However, many individual CpG sites measured on DNA methylation microarrays are subject to technical variability, which can compromise the reliability of epigenetic clock estimates23. To address this issue, principal components (PCs) derived from sets of CpGs, rather than individual CpGs, have been used to construct PC-based versions of epigenetic clocks (PC-clocks), which offer improved robustness, particularly in longitudinal analyses24. In the present study, we therefore focused on PC-transformed versions of established first- and second-generation epigenetic clocks, including Horvath, Skin & Blood, Hannum, PhenoAge, and GrimAge.
In this study, we utilized longitudinal DNAm-based BA data, measured eight years apart, from a prospective cohort of community-dwelling adults aged 50 to 75 years in Germany, to evaluate the impact of cancer on changes and trajectories in biological aging. We also aimed to explore the potential value of BA and its trajectory in cancer risk prediction and post-diagnosis surveillance.
Results
Study population characteristics
Table 1 shows the baseline sociodemographic characteristics of participants. No significant differences were observed between the total study population and the subgroup with second estimation of DNAm (p > 0.05). In both the total study population and the subgroup, mean age was between 61 and 62 years, and a slight majority of participants were women. About three out of four participants were overweight or obese, about half had ever smoked, and mean daily alcohol consumption was ≤ 11 g per day in both samples.
Association of PC-clock algorithms and cancer history in the overall study population
Given the persistent epigenetic changes associated with cancer initiation, progression, and related treatments7,8,25, we conducted multivariable linear regression analyses (Model 1 and Model 2, as described above) to examine the association between a cancer cases before baseline and BA measured at baseline (Supplementary Table 2). Participants with a cancer diagnosis prior to baseline had higher baseline BA than cancer-free participants for all five BA metrics with coefficient estimates (which represent adjusted differences in BA) ranging from 0.80 to 1.15. However, only PCHannum and PCGrimAge reached the significance threshold after Bonferroni-correction in the fully adjusted models (p-value < 0.01, Supplementary Table 2).
Association of PC-clock algorithms and total cancer incidence in the overall study population
During over 21 years of follow-up, a total of 513 cancer cases were identified in the study population. Table 2 presents the associations of baseline DNAm-based PC-clock algorithms and cancer incidences in the overall study population. Multivariable-adjusted HRs for total incident cancer across all five PC-BAs ranged from 1.32 (95% CI per SD = 1.12 – 1.57) for PCHorvath to 1.50 (95% CI per SD = 1.17 – 1.91). Similar relationships of baseline PC-AgeAccels and total cancer incidence across all five PC-AgeAccel ranged from 1.17 (95% CI per SD = 1.06 - 1.28) for PCHorvathAgeAccel to 1.25 (95% CI per SD = 1.09 - 1.43) presented in Table 2.
Predictive value of BA for short- and long-term cancer risk
Based on the date of diagnosis, we stratified cancer outcomes into two groups: short-term events, defined as those diagnosed up to 8 years after baseline, and long-term events, defined as those diagnosed thereafter. Older baseline BA tended to be associated with higher short-term cancer risk (Table 3and Supplementary Table 3). In Model 1, PCSkinBloodClock and PCHannum were significantly associated with short-term cancer risk among all participants (HR per SD = 1.40, 95% CI 1.10 – 1.80, p-value = 0.007, and HR per SD = 1.52, 95%CI 1.16 – 1.99, p-value = 0.002, Supplementary Table 3). However, the associations were slightly attenuated by full adjustment and lost statistical significance after Bonferroni correction for multiple testing (Table 3).
For the long-term risk analysis, the time scale started at the second blood draw for both cases and controls. Compared to short-term risk, BA exhibited a stronger predictive value for long-term cancer risk, as presented in Table 3and Supplementary Table 3. All baseline PC-clocks demonstrated significant associations with long-term cancer risk even after Bonferroni correction for multiple testing (HR per SD ranged from 1.34 to 1.67, p-value < 0.005, Table 3).
Steeper BA trajectory indicates higher cancer risk
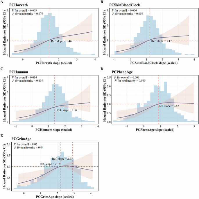
To explore the relationship of BA trajectory with cancer events after 8-year follow-up, we conducted Cox proportional-hazard regression models. The trajectory of BA was defined as the rate of biological aging per year calculated by the absolute change in BA divided by the individual time interval between baseline and 8-year follow-up. For the slope analysis, the time scale started at the second blood draw for both cases and controls, as the biological aging slope was defined using the two DNAm measurements. As shown in Table 4, four PC-clocks demonstrated relatively stable associations for overall cancer risk (HR per SD ranged from 1.33 for PCSkinBloodClock slope to 1.37 for PCHorvath slope in Model 2, p-value < 0.002).
Restricted cubic spline analysis demonstrated a trend of increasing cancer risk with steeper trajectory of biological aging (Fig. 1). Even though the risk increase was steeper at lower trajectories of biological aging, the analysis did not provide statistically significant evidence of nonlinearity (p for nonlinearity > 0.05), except for the slope of PCGrimAge which showed an inverted U-shaped relationship with cancer risk (p for nonlinearity = 0.04). This spline analysis was exploratory, and the apparent nonlinearity at higher slope values may be influenced by the small number of participants in this range.
The models were adjusted for age, sex, nationality, leukocyte composition, education level, BMI, smoking status, alcohol consumption, BMI, physical activity and family history of cancer.
Subgroup analyses
We replicated the analyses of the associations of PC-clocks slope with cancer incidence after 8-year follow-up in subgroups classified by sex, age group and family history of cancer (Supplementary Table 4 to 6). Increasing cancer risk was seen with increasing slope for all PC-clocks in both men and women, and the Bonferroni-corrected significance threshold was reached for three PC-clocks among men (PCHorvath, PCSkinBloodClock and PCHannum, Supplementary Table 4). When the models were separately fitted for age groups, stronger associations were seen for older participants (age > 60 years), with slopes in PCHorvath, PCHannum and PCPhenoAge reaching the Bonferroni-corrected significance threshold (Supplementary Table 5). Furthermore, stronger associations of PCHorvath, PCSkinBloodClock, and PCHannum slopes with cancer incidence were seen among participants without family history of cancer (reaching the Bonferroni-corrected significance threshold) than among those with (Supplementary Table 6).
Discussion
This study investigated five epigenetic aging biomarkers (BA metrics) and their association with invasive cancer incidence in a population-based prospective longitudinal study of older adults with over 21 years follow-up. Older epigenetic age measured at both baseline and after 8-years of follow-up, as well as a steeper epigenetic aging trajectory was consistently associated with increased cancer risk, even though not all of the associations reached the strict Bonferroni-corrected threshold of statistical significance. Particularly strong positive associations were seen between BA slopes between baseline and 8-year follow-up and subsequent cancer risk, especially among older participants and those without a family history of cancer.
To our knowledge, this is the most comprehensive study on BA clocks, their longitudinal changes at older age and their relationship with cancer risk. The consistently positive associations which were observed and persisted after adjustment for CA and a variety of established cancer risk factors underline the intrinsic relationships between biological aging and increased cancer risk. Interestingly, these associations were strongest between BA trajectories and cancer risk at older ages. On the one hand, it is well known that the incidence of cancer increases substantially after the age of 608. On the other hand, epigenetic events that are related to cancer risk are believed to occur in the early process of cancer development26. With the constant effects of the epigenetic events on genomic stability and gene expression, these changes might result in carcinogenesis from initiation through progression5,7,8. Especially, in later life, the homeostatic mechanisms responsible for maintaining biochemical balance and preventing functional decline may become disrupted, leading to an amplification of aging-related differences over time9.
Despite the consistent positive associations between BA and BA trajectories and cancer risk seen in our study, the observational nature of our study precludes drawing causal inferences. Nevertheless, our results indicate that BA clocks and BA trajectories are strongly associated with cancer risk and may provide complementary information beyond chronological age, one of the strongest risk factors for cancer. Although there is considerable heterogeneity in the pace and pattern of aging across the life course27, we adopted a longitudinal framework that conceptualizes cancer as a chronic disease arising from cumulative biological aging processes6,9. While most individuals experience biologically “normal” aging, some exhibit accelerated aging, i.e., aging more rapidly than the norm, due to genetic predisposition, lifestyle factors, or yet undiscovered factors28. In our study, we detected varying degrees of accelerated aging in both participants diagnosed with cancer prior to baseline and those who developed cancer during follow-up. This acceleration may have originated early or late in life, rendering these individuals more susceptible to cancer. Survivors diagnosed with cancer in midlife or later life represent a heterogeneous group, each already on a distinct trajectory of biological aging within and across CA. While DunedinPACE provides an estimate of the pace of biological aging at a single time point, the present study focused on longitudinal aging trajectories captured by changes in DNAm-based biological age over time, which reflect the average aging rate across the follow-up interval.
In the interpretation of our study, a number of specific strengths and limitations deserve careful consideration. Strengths include that it is based on a large population-based cohort study with extensive collection of biospecimen, life style and medical data, and comprehensive long-term prospective follow-up with respect to morbidity and mortality. In particular, record linkage with the Saarland Cancer Registry ensured complete ascertainment of outcomes. Additionally, the longitudinal design allowed us to assess BA average trajectories over an 8-year period and link them to subsequent 12-year cancer-related outcomes. Nevertheless, despite the overall large sample size, a substantial proportion of the observed, consistently positive associations between BA clocks and BA trajectories did not reach the strict Bonferroni-corrected level of significance. Furthermore, due to sample size limitations, only total cancer risk could be assessed with reasonable power and precision. Preliminary studies based on BA measurements at a single point of time, including a previous analysis from the ESTHER study, have suggested that such associations may substantially vary by cancer type29. Further, much larger studies with longitudinal BA measurements are required to assess predictive value for the risk of specific cancers. Such studies may also help to define a potential role of BA clocks and BA trajectories in novel approaches of risk-adapted cancer screening. Despite the strength of including BA trajectories as a predictor, measurement of BA trajectories requires survival of participants between baseline and follow-up measurements which may imply survival bias if baseline BA is strongly related to total mortality. Nevertheless, although associations with total mortality have been reported, major survival bias seems unlikely in our study, given limited overall mortality in the ESTHER cohort up to 8 years after baseline.
In conclusion, despite its limitations, our study demonstrates strong associations between BA, particularly accelerated BA, and total cancer risk in older adults, independent of established cancer risk factors such as chronological age, sex, and major lifestyle factors. Further research, preferably based on large-scale cohorts with multiple longitudinal BA measurements, should aim for defining a potential role of BA monitoring for clinical practice, such as primary, secondary or tertiary prevention of overall cancer or specific types of cancer.
Methods
Study population and data collection
The study population was drawn from the ESTHER cohort, an ongoing population-based cohort study conducted in Saarland, Germany. Details of the study design have been described previously6,30,31,32. Briefly, 9,940 individuals aged 50–75 years were recruited by their general practitioners (GPs) during routine health screenings between July 2000 and December 2002, and were followed up every two to three years thereafter. At baseline and each follow-up, standardized self-administered questionnaires were used to collect information on sociodemographic characteristics, lifestyle, and dietary habits. General health examination results were documented by GPs using standardized forms. Blood samples were collected during examinations and stored at −80 °C for future analyses. Cancer incidence and mortality follow-up was conducted by record linkage with cancer and population registries. The ESTHER study adhered to the principles of the Declaration of Helsinki and was approved by the ethics committees of the medical faculty of the University of Heidelberg (Application number: S-58/2000) and the medical board of the state of Saarland. Written informed consent was obtained from each participant.
The ESTHER population has been shown to be representative of the general German population of the same age group with respect to key sociodemographic variables and risk factor profiles33. For this study, a random sample of 1930 participants were selected from the ESTHER study population for epigenome-wide blood DNAm measurements at baseline that were carried out in two different batches. A subsample of 900 participants also had epigenome-wide blood DNAm measurements at 8-year follow-up.
Methylation assessment
DNA from whole blood samples obtained at recruitment was extracted using a salting-out procedure34 and paired samples from the same individual taken at 8-year follow-up were processed on the same array to minimize technical variation. Genome-wide DNAm was assessed using the Infinium MethylationEPIC (850 K) BeadChip Kit (Illumina, San Diego, CA, USA), according to the manufacturer’s instructions, by the Genomics and Proteomics Core Facility at the German Cancer Research Center (DKFZ), Heidelberg, Germany30,35,36. During preprocessing, probes with detection p-values > 0.01, those with >10% missing values, and probes targeting the X or Y chromosomes were excluded30,35,36. After quality control and exclusion of low-quality samples, a total of 1916 participants were retained for subsequent analyses.
Sample exclusions
Figure 2 presents a flow chart of the selection of the study population. Initially, 1930 participants were randomly selected for DNAm analyses. After excluding 14 participants with low-quality DNAm data, 1916 individuals were included, of whom 894 also had DNAm measured at 8-year follow-up. Ninety-nine participants had a cancer diagnosis before baseline, and 513 incident cancer cases were observed during a median follow-up of 20.6 years (IQR: 14.4 – 21.5 years), of which 158 and 355 cases were diagnosed between baseline and 8-year follow-up, and after 8-year follow-up, respectively.
The ESTHER cohort at baseline contained a total of 9940 individuals. 1930 individuals were randomly selected for DNA methylation testing in baseline blood samples. Of these, 14 individuals lacking high-quality methylation results were excluded, leaving 1916 individuals. Ninety-nine individuals were diagnosed with cancer prior to the baseline, and 513 were diagnosed with cancer after baseline, of whom 355 were diagnosed after 8-year follow-up.
Estimation of epigenetic age metrics
Five PC-based epigenetic clocks were calculated in this study, including PC-Horvath Pan-Tissue (PCHorvath), PC-Skin & Blood Clock (PCSkinBloodClock), PC-Hannum DNAmAge (PCHannum), PC-PhenoAge (PCPhenoAge) and PC-GrimAge (PCGrimAge). PC clocks were calculated using the R script and 78,464 CpG sites per sample, as described in a previous report24. Missing CpG values (less than 5%) were imputed using mean substitution. Age acceleration (PCAgeAccel) was defined as the residual from regressing DNAm age estimates on CA16, with regressions performed separately for baseline and follow-up measurements. Separate residualization was used to accommodate the longitudinal design with repeated measures and to avoid treating multiple observations from the same individual as independent. For individuals with DNAm data measured at both baseline and 8-year follow-up, individuals BA slope of linear regression was interpreted as the average rate of biological aging per year, calculated as the absolute changes in DNAm age over the time period divided by the time interval between baseline and 8-year follow-up. If the PC clock slope is > 0, it indicates an accelerated rate of epigenetic age change.
Ascertainment of cancer cases
Incident cases of cancer, including total cancer (ICD-10 codes C00–C97 excluding the code C44 for non-melanoma skin cancer) diagnosed between 2000 and end of 2022 were identified through record linkage with the Saarland Cancer Registry. The history of invasive tumors before baseline was determined by either self-report or record linkage with data from the Saarland Cancer Registry, which started to record cancers conditions in 1970. The distribution of cancer sites among prevalent and incident cases is summarized in Supplementary Table 1.
Covariates assessment
Several covariates were considered, including information on sociodemographic characteristics, smoking status, physical activity and alcohol consumption, which were obtained from a standardized self-administered questionnaire. Height and weight were assessed and documented on a standardized form by GPs during the health examination and body mass index (BMI) was calculated as weight in kilograms divided by height in meters squared (kg/m²) and categorized according to the World Health Organization classification.
Statistical methods
Standard descriptive methods were used to describe demographic characteristics of the study subjects at baseline. Multivariable linear regression was used to examine the association of a previous cancer diagnosis with BA at baseline. The models were firstly adjusted for age, sex, leukocyte composition (estimated by the Houseman approach)37, and batch (Model 1), and we additionally controlled for educational level ( ≤ 9 years, 10-11 years, and ≥12 years), smoking status (never smoker, former smoker, current smoker), alcohol consumption (grams per day), BMI (kg/m2), physical activity (inactive, low, medium, or high) and family history of cancer (yes/no) (Model 2).
To estimate the predictive value of BA and BA slope on cancer incidence, we performed Cox proportional hazard models with the same adjustments of Model 1 and Model 2. The proportional hazards assumption was checked by scaled Schoenfeld residuals plots38. Hazard ratios (HR) with corresponding 95% confidence intervals (CI) per standard deviation (SD) increase in BA and BA slope were calculated for cancer risk in the entire study population and separately for individuals with repeated DNAm data. Cox proportional hazards models were conducted using time-on-study as the time scale. Follow-up time was defined as age at event or censoring minus age at baseline. Baseline age was included as a covariate in models of baseline epigenetic aging measures, whereas age at the second blood draw was used as the age covariate in slope analyses, reflecting the time point at which the aging slope was defined.
To evaluate the exposure-response relationships between slope of BA and overall cancer incidence, restricted cubic spline (RCS) models with three knots at 25th, 50th and 75th percentiles were applied. We generated scatter plots to evaluate the relationship between the PC-clocks trajectories and the time to cancer diagnosis among the individuals with two-wave methylation data. Furthermore, we conducted subgroup specific analyses for the associations of the BA slope with incident cancer by sex, age ( ≤ 60 years / > 60 years) and family history of cancer (without / with) in individuals with multiple measurements of DNAm. For age-stratified slope analyses, participants were stratified according to chronological age at baseline. Baseline age was used to define age strata to ensure stable group assignment throughout the longitudinal assessment period.
All statistical analyses were carried out using the R software environment for statistical computing (version 3.6.0, Vienna, Austria). Bonferroni-correction was performed to reduce the likelihood of type Ⅰ statistical error, and statistical significance was defined by p-value < 0.05 in two-sided testing ( < 0.05/5 = 0.01 after Bonferroni correction for five different BA metrics).
Data availability
The data that support the findings of this study are not openly available due to reasons of sensitivity.
References
Bray, F. et al. Global cancer statistics 2022: GLOBOCAN estimates of incidence and mortality worldwide for 36 cancers in 185 countries. CA Cancer J. Clin. 74, 229–263 (2024).
Chen, S. et al. Estimates and Projections of the Global Economic Cost of 29 Cancers in 204 Countries and Territories From 2020 to 2050. JAMA Oncol. 9, 465–472 (2023).
de Magalhaes, J. P. How ageing processes influence cancer. Nat. Rev. Cancer 13, 357–365 (2013).
Mandelblatt, J. S. et al. Applying a life course biological age framework to improving the care of individuals with adult cancers: review and research recommendations. JAMA Oncol. 7, 1692–1699 (2021).
Hanahan, D. & Weinberg, R. A. Hallmarks of cancer: the next generation. Cell 144, 646–674 (2011).
Ferrucci, L. et al. Measuring biological aging in humans: A quest. Aging Cell 19, e13080 (2020).
Hanahan, D. Hallmarks of cancer: new dimensions. Cancer Discov. 12, 31–46 (2022).
Swanton, C. et al. Embracing cancer complexity: Hallmarks of systemic disease. Cell 187, 1589–1616 (2024).
Kroemer, G. et al. From geroscience to precision geromedicine: Understanding and managing aging. Cell 188, 2043–2062 (2025).
Jylhava, J., Pedersen, N. L. & Hagg, S. Biological Age Predictors. EBioMedicine 21, 29–36 (2017).
Bell, C. G. et al. DNA methylation aging clocks: challenges and recommendations. Genome Biol. 20, 249 (2019).
Melzer, D., Pilling, L. C. & Ferrucci, L. The genetics of human ageing. Nat. Rev. Genet 21, 88–101 (2020).
Horvath, S. & Raj, K. DNA methylation-based biomarkers and the epigenetic clock theory of ageing. Nat. Rev. Genet 19, 371–384 (2018).
Bell, C. G. et al. DNA methylation aging clocks: challenges and recommendations. Genome Biol. 20, https://doi.org/10.1186/s13059-019-1824-y (2019).
Han, L. K. M. et al. Accelerating research on biological aging and mental health: Current challenges and future directions. Psychoneuroendocrinology 106, 293–311 (2019).
Horvath, S. DNA methylation age of human tissues and cell types. Genome Biol. 14, R115 (2013).
Hannum, G. et al. Genome-wide methylation profiles reveal quantitative views of human aging rates. Mol. Cell 49, 359–367 (2013).
Horvath, S. et al. Epigenetic clock for skin and blood cells applied to Hutchinson-Gilford Progeria Syndrome and ex vivo studies. Aging 10, 1758–1775 (2018).
Levine, M. E. et al. An epigenetic biomarker of aging for lifespan and healthspan. Aging 10, 573–591 (2018).
Lu, A. T. et al. DNA methylation GrimAge strongly predicts lifespan and healthspan. Aging 11, 303–327 (2019).
Belsky, D. W. et al. Quantification of the pace of biological aging in humans through a blood test, the DunedinPoAm DNA methylation algorithm. Elife 9, https://doi.org/10.7554/eLife.54870 (2020).
Belsky, D. W. et al. DunedinPACE, a DNA methylation biomarker of the pace of aging. Elife 11, https://doi.org/10.7554/eLife.73420 (2022).
Sugden, K. et al. Patterns of Reliability: Assessing the Reproducibility and Integrity of DNA Methylation Measurement. Patterns 1, https://doi.org/10.1016/j.patter.2020.100014 (2020).
Higgins-Chen, A. T. et al. A computational solution for bolstering reliability of epigenetic clocks: implications for clinical trials and longitudinal tracking. Nat. Aging 2, 644 (2022).
Rentscher, K. E. et al. Epigenetic aging in older breast cancer survivors and noncancer controls: preliminary findings from the Thinking and Living with Cancer Study. Cancer 129, 2741–2753 (2023).
Flavahan, W. A., Gaskell, E. & Bernstein, B. E. Epigenetic plasticity and the hallmarks of cancer. Science 357, https://doi.org/10.1126/science.aal2380 (2017).
Verma, M. et al. Epigenetic research in cancer epidemiology: trends, opportunities, and challenges. Cancer Epidemiol. Biomark. Prev. 23, 223–233 (2014).
Ahadi, S. et al. Personal aging markers and ageotypes revealed by deep longitudinal profiling. Nat. Med. 26, 83–90 (2020).
Li, X., Schottker, B., Holleczek, B. & Brenner, H. Associations of DNA methylation algorithms of aging and cancer risk: Results from a prospective cohort study. EBioMedicine 81, 104083 (2022).
Zhang, Y. et al. DNA methylation signatures in peripheral blood strongly predict all-cause mortality. Nat. Commun. 8, 14617 (2017).
Holleczek, B., Schöttker, B. & Brenner, H. Helicobacter pylori infection, chronic atrophic gastritis and risk of stomach and esophagus cancer: Results from the prospective population-based ESTHER cohort study. Int. J. Cancer 146, 2773–2783 (2020).
Schöttker, B., Muhlack, D. C., Hoppe, L. K., Holleczek, B. & Brenner, H. Updated analysis on polypharmacy and mortality from the ESTHER study. Eur. J. Clin. Pharmacol. 74, 981–982 (2018).
Löw, M., Stegmaier, C., Ziegler, H., Rothenbacher, D. & Brenner, H. Epidemiological investigations of the chances of preventing, recognizing early and optimally treating chronic diseases in an elderly population (ESTHER study). Dtsch. Med. Wochenschr. 129, 2643–2647 (2004).
Miller, S. A., Dykes, D. D. & Polesky, H. F. A simple salting out procedure for extracting DNA from human nucleated cells. Nucleic Acids Res. 16, 1215 (1988).
Li, X. et al. Comparative validation of three DNA methylation algorithms of ageing and a frailty index in relation to mortality: results from the ESTHER cohort study. EBioMedicine 74, 103686 (2021).
Zhang, Y., Saum, K. U., Schöttker, B., Holleczek, B. & Brenner, H. Methylomic survival predictors, frailty, and mortality. Aging 10, 339–357 (2018).
Houseman, E. A. et al. DNA methylation arrays as surrogate measures of cell mixture distribution. BMC Bioinforma. 13, 86 (2012).
Grambsch, P. M. & Therneau, T. M. Proportional hazards tests and diagnostics based on weighted residuals. Biometrika 81, 515–526 (1994).
Acknowledgements
The authors thank the study participants and their general practitioners as well as laboratory and administrative staff of the ESTHER study team. The ESTHER study was funded by grants from the Baden-Württemberg state Ministry of Science, Research and Arts (Stuttgart, Germany), the Federal Ministry of Education and Research (Berlin, Germany), the Federal Ministry of Family Affairs, Senior Citizens, Women and Youth (Berlin, Germany), and the Saarland State Ministry of Labor, Social Affairs, Women and Health (Saarbrücken, Germany).
Funding
Open Access funding enabled and organized by Projekt DEAL.
Author information
Authors and Affiliations
Contributions
Conception and design: Q.Y., H.B. Development of methodology: Q.Y., H.B. Acquisition of data: B.S., B.H., H.B. Analysis and interpretation of data: Q.Y., J.S.-H., H.B. Writing of the manuscript: Q.Y., J.S.-H., H.B. Study supervision: H.B.
Corresponding author
Ethics declarations
Competing interests
The authors declare no competing interests.
Consent for publication
Not applicable.
Additional information
Publisher’s note Springer Nature remains neutral with regard to jurisdictional claims in published maps and institutional affiliations.
Supplementary information
Rights and permissions
Open Access This article is licensed under a Creative Commons Attribution 4.0 International License, which permits use, sharing, adaptation, distribution and reproduction in any medium or format, as long as you give appropriate credit to the original author(s) and the source, provide a link to the Creative Commons licence, and indicate if changes were made. The images or other third party material in this article are included in the article’s Creative Commons licence, unless indicated otherwise in a credit line to the material. If material is not included in the article’s Creative Commons licence and your intended use is not permitted by statutory regulation or exceeds the permitted use, you will need to obtain permission directly from the copyright holder. To view a copy of this licence, visit http://creativecommons.org/licenses/by/4.0/.
About this article
Cite this article
Yin, Q., Stevenson-Hoare, J., Holleczek, B. et al. Epigenetic aging and cancer incidence in a German cohort of older adults. npj Aging 12, 41 (2026). https://doi.org/10.1038/s41514-026-00356-y
Received:
Accepted:
Published:
Version of record:
DOI: https://doi.org/10.1038/s41514-026-00356-y




