Abstract
Electro-optic effects allow control of the ow of light using electric fields, and are of utmost importance for today’s information and communication technologies, such as TV displays and fiber optics. The search for large electro-optic constants in films is essential to the miniaturization and increased efficiency of electro-optic devices. In this work, we demonstrate that strain-engineering in PbTiO3 films allows to selectively choose which electro-optic constant to improve. Unclamped electro-optic constants larger than 100 pm V−1 are predicted, either by driving the softening of an optical phonon mode at a phase transition boundary under tensile strain, or by generating the equivalent of a negative pressure via compressive strain to obtain large piezoelectric constants. In particular, a r13 electro-optic coefficient twice as large as the one of the commonly used LiNbO3 electro-optic material is found here when growing PbTiO3 on the technologicallyimportant Si substrate.
Similar content being viewed by others
Introduction
The control of the propagation of light with electric fields is of paramount importance in information and computing technologies. Those electro-optic (EO) effects are used in display technologies,1,2 waveguide modulators,3 or tunable microring resonators,4 and are key to the development and optimization of optoelectronic devices5. Nowadays, technologies rely primarily on a modulation of the refractive index of a material which depends either linearly6 (linear EO or Pockels effect) or quadratically (quadratic EO/Kerr effect7,8) on the applied electric field. There is thus a growing demand to find EO materials with EO constants superseding the standard 32.2 pm V−1 in LiNbO3.9 Our calculations show that the proximity of phase transitions or the use of an original negative-like pressure effect10 may lead to EO constants larger than 100 pm V−1 in ferroelectric films.
Interestingly, it appears that the EO constants are reduced by one order of magnitude, when BaTiO3 is deposited in thin films11,12—which may be due to extrinsic effects. To improve the efficiency and miniaturization of EO devices, it is therefore important to discover and understand general mechanisms that can intrinsically enhance (rather than suppress) the EO constants in films. This work focuses on the EO properties of strained lead titanate. PbTiO3 is a classical ferroelectric that is a member of a wide range of materials (such as Pb1−xLaxZr1−yTiyO3 or PLZT) which are known to exhibit large piezoelectric constants and have been under scrutiny to get large EO constants.13,14 Using accurate ab initio techniques,9,15 we explore a wide range of epitaxial strain conditions and identify general mechanisms resulting in large EO effects in ferroelectric PbTiO3 films.
After describing the structure of PbTiO3 under strain, we discuss below the clamped EO constants and link their large values under tensile strain with lattice instabilities at phase boundaries. Finally, we investigate the unclamped EO constants and further explain the origins of their large magnitude for some particular compressive strains—including the one induced by the technologically important Si substrate.
Results
PbTiO3 under strain
Using the ABINIT code,16 we calculated the relaxed structures of PbTiO3 under strain using a 20-atom supercell (see Fig. 1b) to accommodate the monoclinic and orthorhombic phases existing under tensile strain.17 The supercell is rotated by π/4 radians with respect to the Cartesian axes a1, a2, and a3 (see Supplementary Material). As depicted in Fig. 1b, the Cartesian axes exactly coincide with the pseudocubic axes of the 5-atom unit cell of the P4mm ground state of bulk PbTiO3. We shall refer to those Cartesian axes as the “lab axes”. All tensor quantities are expressed in this basis. The in-plane lattice vectors of the supercell are kept fixed and their length imposed to generate a bi-axial strain, and the third vector is allowed to relax.
a Energy of the tetragonal, monoclinic, and orthorhombic phases with respect to strain. b Sketch of the 5-atom unit cell and the Cartesian axes a1, a2, and a3, as well as the 20-atom supercell and its axes b1, b2, and b3. c c/a ratio in the tetragonal, monoclinic, and orthorhombic supercell. d Calculated piezoelectric constant d33 in the three considered phases. Data indicated in blue circles, green triangles, and red squares correspond to tetragonal, monoclinic, and orthorhombic phases, respectively, in (a, c, d)
As observed in Fig. 1a, the energy of the tetragonal P4mm phase, with polarization along the tetragonal axis [001] in the pseudocubic axes, is the lowest under compressive strain and up to tensile strain of 0.8%—consistent with the fact that P4mm is the ground state of bulk PbTiO3. Beyond, and up to ≈1.3% tensile strain, a monoclinic Cm phase bridges the tetragonal phase with an orthorhombic Ic2m phase at larger tensile strain, in qualitative agreement with ref. 17 and the phenomenological work of ref. 18. This orthorhombic phase has a polarization along a \(\left\langle {110} \right\rangle\) pseudocubic direction.
We already note that the c/a ratio of the tetragonal phase shows a sharp increase at large compressive strain η ≃ −2.5% in Fig. 1c, which is reminiscent of the anomalous enhancement of tetragonality found in PbTiO3 under negative pressure.10 As a result of this effect, the piezoelectric constant d33 exhibits a large increase up to 80 p C N−1 within the tetragonal phase, as also displayed in Fig. 1d.
Clamped EO constants
The linear EO constants rijk describe the first-order dependence of the inverse of the optical dielectric constant εij (approximated by the electronic dielectric constant) when a static or low-frequency electric field E is applied,
The clamped EO constants \(r_{ijk}^\eta\) can be decomposed into (i) a purely electronic term which depends on the second-order dielectric susceptibility \(\chi _{ijk}^{(2)}\), and (ii) a phonon-induced change of the optical dielectric susceptibility which can be expressed in terms of the Raman susceptibility \(\alpha _{ij}^m\) and polarity \(p_i^m\) of a transverse optical (TO) mode of frequency ωm:9,15,19
with ni being a principal refractive index and V0 is the cell volume. All quantities of Eq. (2) can be calculated by density functional perturbation theory (DFPT).15
We give the clamped EO constants for the different phases in Fig. 2, expressed in the Cartesian basis a1, a2, and a3—which corresponds to the pseudocubic axes in the P4mm phase. We note, using the Voigt notation for the first two indices, that only the components r42 = r51, r33, and r13 = r23 are nonzero in the P4mm phase, each of which are denoted by blue circle in Fig. 2a–c, respectively. For the bulk clamped EO constants (corresponding to zero strain), we obtain r51 = 40.0 pm V−1, r33 = 8.0 pm V−1, and r13 = 10.7 pm V−1, consistent with the values in ref. 9, which were computed using the experimental structure. At the boundary between the P4mm and Cm phases (η ≈ 0.8%), the average \(\bar r_{51} = \frac{{r_{42} + r_{51}}}{2}\) is ≈122.9 pm V−1, that is three times as large as the bulk value! r33 and r13 are also moderately increased with respect to their corresponding bulk values, by 32% and 7%, respectively, near this boundary.
In the orthorhombic phase Ic2m, in the lab axes, the only nonzero components of the EO tensor are r11 = r22, r12 = r21, r31 = r32, r43 = r53, and r61 = r62, and are depicted in Fig. 2 too. r43 strongly diverges when approaching the phase transition toward the Cm phase. Right before the boundary, a value of r43 = −100 pm V−1 is predicted at a strain of 1.6%, while at η ≈ 1.3%, the Cm phase is slightly more favorable energetically, and the EO constant r43 drops in magnitude to −24 pm V−1. By comparison, in the metastable orthorhombic phase at this latter strain, r43 is as large as −351 pm V−1. The in-plane EO constants r11 and r22, which are associated with directions having nonzero components of the polarization, are rather large at such strain too. They are ≈−23 pm V−1, which is about the magnitude of the room-temperature value of LiNbO3 in the polar-axis direction (≈30 pm V−119,20).
The Cm phase structurally bridges the P4mm and orthorhombic phases, which has an effect on EO coefficients. In particular, the diverging r51 and r43 EO constants smoothly vanish from each side of the P4mm–Cm and Cm–Ic2m transition, respectively; the diagonal EO constants r33 and −r11 are enhanced in the Cm state, reaching values beyond 30 pm V−1. Similarly, there is a strong increase of the −r61 constant in the middle of the stability window of the Cm phase (see Fig. 2d)
Enhanced EO effect by lattice instabilities
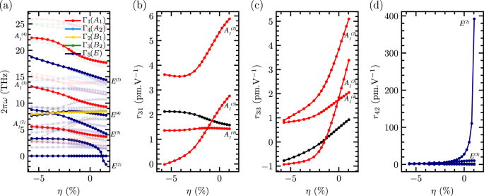
To understand the origin of the strong divergence of the EO constants at phase boundaries in Fig. 2, we performed a DFPT calculation of the phonon spectrum at the Γ point of our supercell in the tetragonal phase. Because we use a 20-atom supercell, we also actually obtain phonons from the Z = (0, 0, 1/2), M = (1/2, 1/2, 0) and A = (1/2, 1/2, 1/2) points in the first Brillouin zone, whose frequency evolution with strain are plotted as semitransparent lines in Fig. 3a. Those points cannot couple with long-wavelength light, and thus do not contribute to the linear EO effect. In addition, the frequency evolution of the TO phonon modes at Γ are plotted as solid lines in Fig. 3a, according to the relevant symmetry of each mode. The lattice vibrations at the Γ point are made of four modes transforming as the irreducible representation A1, one mode of symmetry B1 and five doubly degenerate modes of symmetry E.21 Because a mode must be Raman active and infrared (IR) active to contribute to the EO effect (see Eq. (2)), and given the symmetry of the Raman tensor and the IR selection rules in the P4mm, only the modes of symmetry A1 (red modes in Fig. 3a) should contribute to r33 and r13, which is indeed seen in Fig. 3b, c. Similarly, the E modes (blue modes) contributes only to r51 = r42 (see Fig. 3d), while the mode B1 does not contribute to EO constants.
a Evolution of phonon frequencies at Γ in the 20-atom supercell in the P4mm phase; the true Γ phonons of the 5-atom unit cell are presented with solid line and circles, while phonons corresponding to the M, Z, and A points in the 5-atom unit cell are plotted as semitransparent lines. The optical mode contributing to the EO constants r33 and r13 are denoted as \(A_1^{(2)}\), \(A_1^{(3)}\), and \(A_1^{(4)}\), while the modes E(2), E(3), E(4), and E(5) contribute to r51. b Mode decomposition of the EO constant r13. Red lines correspond to modes of A1 symmetry, while the black line depicts the electronic contribution. c Mode decomposition of the EO constant r33. Red lines correspond to modes of A1 symmetry, while the black line displays the electronic contribution. d Mode decomposition of the EO constant r42 = r51. Blue lines correspond to modes of E symmetry, while the black line shows the electronic contribution
Interestingly, we observe in Fig. 3d that most of the divergence of r51 is carried by a single optical E mode, denoted as E(2). This mode is the E mode that softens under tensile strain and whose frequency becomes imaginary at η ≈ 1.2% in Fig. 3a, as consistent with the \(\omega _m^{ - 2}\) dependency of a phonon contribution to the EO constant of Eq. (2). The divergence observed in the tetragonal phase of PbTiO3 most likely explains the giant value of r42 observed in tetragonal BaTiO3 bulk at room temperature,22 as the proximity of the transition to an orthorhombic phase causes an E mode to soften.23 In BaTiO3 bulk, this softening is temperature driven, while in PbTiO3 films it is strain-driven but similarly results in the divergence of r42 = r51. We note that the temperature softening in BaTiO3 most likely allows to keep large effective EO constants in thin-film form24 (≈150 pm V−1), and thus a clever phase transition engineering using both strain and temperature may result in giant EO constants.
One can also note a small softening of the A1 modes near the P4mm-to-Cm transition, causing r13 and r33 to increase, albeit not in the same proportions as r51. In the orthorhombic phase, the large value of r43 depicted in Fig. 2a is also the consequence of a single mode that softens near η = 1.2% (see Supplementary Material).
Unclamped EO constants
In many cases, unclamped (or stress free) EO constants \(r_{ijk}^\sigma\) rather than the clamped (strain free) ones \(r_{ijk}^\eta\) are more relevant to technologies. Those two sets of EO constants are related by the elasto-optic constants pijkl and the piezoelectric constants dijk,25
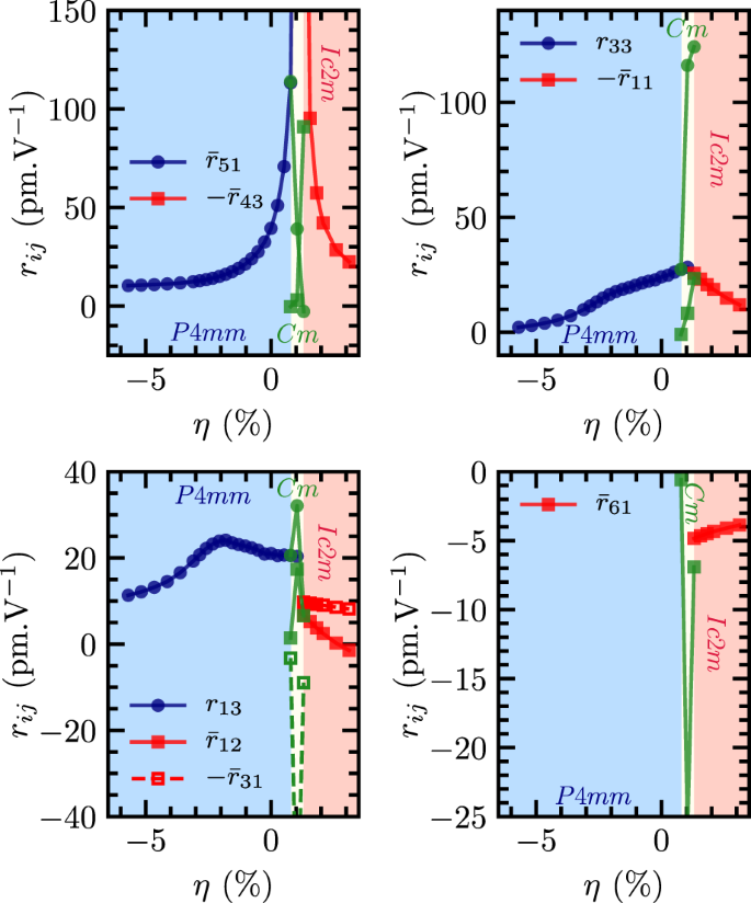
In the case of a (001)-oriented film, we are not dealing with fully unclamped EO constants, but rather only partially unclamped in the third direction, i.e., \(r_{ijk}^{\eta _1\eta _2\sigma _3\sigma _4\sigma _5\eta _6}\); in other words, the material is free to deform its out-of-plane length (stress free along the third direction, hence the σ3 superscript) and angles (hence the σ4 and σ5 superscripts), but the lengths and angle of the in-plane lattice vector are fixed (hence the superscripts η1, η2, and η6). Only a handful of elasto-optic constants (namely, pi3, pi4, and pi5) and piezoelectric constants (i.e., d3k, d4k, and d5k) are thus needed. Their calculation is given in the Supplementary Material, and the partially unclamped EO constants are shown in Fig. 4.
The contribution of the elasto-optic and piezoelectric effects do not affect significantly the r51 or r43 unclamped EO constants in the P4mm and Ic2m phases, respectively, since the elasto-optic constant p55 and p44, which couple to the diverging piezoelectric constants d51 and d43, are small (see Supplementary Material). On the other hand, the p33 and p31 elasto-optic constants in the P4mm phase are rather strong (see Supplementary Material), and the large increase of the d33 piezoelectric constant at η = −2.5% (see Fig. 1d) induces a plateau in r33 and a local maximum in r13 at 24.1 pm V−1. More interestingly, owing to the phase-transition induced divergence of d33 in the monoclinic phase, the unclamped EO constant r33 reaches as high as 124 pm V−1, which is roughly four times its clamped value and represent a four time increase with respect to the zero strain value of the unclamped EO constant in the tetragonal phase (for which r33 approximate equals to 30.5 pm V−1).
Discussion
Two different paths to design large EO constants in ferroelectric PbTiO3 films are demonstrated here. Firstly, the strain-induced softening of a TO mode under tensile strain generates large contribution to the relevant EO constants. In this specific case, at the P4mm–Cm phase transition, the destabilization of an E mode of the P4mm phase leads to an extremely large response of the r51 constant; similarly, at the Ic2m–Cm phase boundary, r43 is large, while it vanishes in the P4mm phase. Such a mechanism has also been demonstrated for temperature-driven mode softening, typically in the tetragonal phase of BaTiO3 bulk. In both PbTiO3 films and BaTiO3 bulk, the large increase of the clamped r51 near the tetragonal-orthorhombic phase transition can be traced back to the divergence of the dielectric constant.26,27 The unclamped r51 in BaTiO3 bulk also receives a significant contribution from the combined elasto-optic and piezoelectric effect.28 On the other hand, in tetragonal PbTiO3 film close to the P4mm–Cm transition, the elasto-optic constant p55 is too small, and despite the divergence of d51 driven by the soft mode, the unclamped r51 EO constant is not significantly further affected. The difference between unclamped and clamped EO constant is mainly mechanical (low-frequency) in nature through the piezoelectric effect. In PTO, that difference is small near the P4mm–Cm transition for the in-plane EO constants. Hence, PTO becomes particularly interesting, as a broad range of frequencies for the applied external electric field can be used without significantly affecting the EO constants in this strain region.
On the other hand, at the Cm–Ic2m phase boundary, large out-of-plane EO constants (r33 124 pm V−1) can be engineered due to the strain-induced divergence of the piezoelectric constant d33. The latter comes from the flattening of the energy landscape to allow for polarization rotation from the [001] pseudo-cubic direction to [110] pseudo-cubic direction19,20. We thus show that strain, through the exploration of phases with different symmetries, allows tuning of the EO constants within a single material.
On the other hand, the anomalous behaviors of unclamped r33 and r13 of PbTiO3 films obtained under the compressive strain η close to −2.5% are much more intriguing. They do not come from any phonon mode, nor from the electronic contribution, as no large clamped EO constant is observed around that strain (see Fig. 3b, c). Rather, they come from the strong peak in the piezoelectric constant d33 seen in Fig. 1d and thus represent an original way to change EO constants, that is by using electromechanical effects only. The extremely large enhancement of the piezoelectric constant at −2.5% compressive strain is associated with the strong increase in tetragonality c/a observed in Fig. 1c. The latter is reminiscent of the behavior of PbTiO3 under negative pressure.10 Note that increase of the piezoelectric constants under negative pressure has been confirmed experimentally in PbTiO3 nanowires recently.29 The origin of this piezoelectric enhancement was attributed to the proximity of a first-order phase transition in the energy landscape.10 It gives another route to design large EO constants in ferroelectric oxide thin films by mimicking “negative pressure” effects with strain, and can potentially be achieved in PbTiO3 films grown on the common LaAlO3 substrate, that should provide a strain close to −2.9%.
Overall, PbTiO3 (and related compounds) in film forms thus represent an interesting alternative to LiNbO3 for obtaining various large EO components, since one can selectively improve different EO constants by working either with tensile or compressive strain. In addition, we note that, at room temperature, the strain of epitaxially grown (001)-PbTiO3 films on silicon (which will constitute an essential step toward the realization of miniaturized integrated EO devices), should be close to −1.6%, assuming a 45° epitaxy.30,31 At such strain, Fig. 4c reveals that the unclamped EO constant r13 is ≈23.4 pm V−1, which is already more than twice as much as that of the standard EO material, LiNbO3!
There are still technical issues that remain to be addressed from an experimental point of view. First of all, growth of perovskite oxides on Si is not straightforward, and often one resorts to the use of buffer layers such as SrTiO3, that can partially relax the strain, in the case of BaTiO3/Si for instance.11 Other parameters, such as defects, or thermal expansion mismatch may relax part of the strain induced by the sole lattice mismatch (as considered in this work). Domain engineering, understanding the impact of the inhomogeneity of strain, applied electric fields, and dielectric losses near phase transitions are also necessary steps towards the design of efficient EO devices.
The two paths mentioned in this discussion section, as well as their elucidated mechanisms, can nonetheless serve as guiding principles to experimentally or computationally (via, e.g., machine learning techniques) discover various materials exhibiting large EO responses.
Methods
We used the ABINIT16 plane-wave code with norm-conserved pseudo-potentials containing 14, 12, and 6 valence electrons for Pb, Ti, and O, respectively. We employed the nonspin-polarized local density approximation and a 50 Ha plane-wave cut-off. The structural relaxation was performed with a 4 × 4 × 3 k-mesh in the 20-atom supercell, and is achieved when the force on any ion is smaller than 5 × 10−5 Ha Bohr−1. The electronic density was considered converged when forces between two self-consistent fields iterations are smaller than 10−6 Ha Bohr−1. DFPT calculations of the EO constants are based on the linear variation of the electronic dielectric tensor when the system is perturbed by a low-frequency/static applied electric field.9,15 As such, the calculated EO constants are dispersionless, and are valid in the limit when the wavelength of the incoming light is much larger than the absorption edge. The bandgap of lead titanate being around 3.4–3.9 eV,32,33 this holds for most visible and Infrared wavelengths. For DFPT calculations of the EO constants, the same plane-wave cut-off was used, but the k-mesh was densified to 7 × 7 × 5.
Data availability
Correspondence and request for material should be addressed to paillard@uark.edu.
Change history
24 October 2019
An amendment to this paper has been published and can be accessed via a link at the top of the paper.
References
Uchino, K. Electro-optic ceramics and their display applications. Ceram. Int. 21, 309–315 (1995).
Uchino, K. Ferroelectric Devices (CRC Press, Boca Raton, USA 2009).
Xu, Q., Schmidt, B., Pradhan, S. & Lipson, M. Micrometre-scale silicon electro-optic modulator. Nature 435, 325–327 (2005).
Guarino, A., Poberaj, G., Rezzonico, D., Degl’Innocenti, R. & Günter, P. Electro-optically tunable microring resonators in lithium niobate. Nat. Photonics 1, 407–410 (2007).
Sando, D., Yang, Y., Paillard, C., Dkhil, B., Bellaiche, L. & Nagarajan, V. Epitaxial ferroelectric oxide thin films for optical applications. Applied Physics Reviews 5, 041108 (2018).
Saleh, B. E. A. & Teich, M. C. Fundamentals of Photonics. (Wiley, New-York, 1991).
Kerr, J. XL A new relation between electricity and light: dielectrified media birefringent. Philos. Mag. J. Sci. 50, 337–348 (1875).
Kerr, J. LIV A new relation between electricity and light: dielectrified media birefringent. Philos. Mag. J. Sci. 50, 446–458 (1875).
Veithen, M., Gonze, X. & Ghosez, P. First-principles study of the electro-optic effect in ferroelectric oxides. Phys. Rev. Lett. 93, 187401 (2004).
Tinte, S., Rabe, K. M. & Vanderbilt, D. Anomalous enhancement of tetragonality in PbTiO3 induced by negative pressure. Phys. Rev. B 68, 144105 (2003).
Abel, S. et al. A strong electro-optically active lead-free ferroelectric integrated on silicon. Nat. Commun. 4, 1671 (2013).
Kormondy, K. et al. Microelec. Eng. 147, 215–218 (2015).
Yi, G., Wu, Z. & Sayer, M. Preparation of Pb(Zr,Ti)O3 thin films by sol gel processing: electrical, optical, and electro-optic properties. J. Appl. Phys. 64, 2717–2724 (1988).
Takeda, K., Hoshina, T., Takeda, H. & Tsurumi, T. Electro-optic effect and photoelastic effect of ferroelectric relaxors. Jpn. J. Appl. Phys. 55, 10TB05 (2016).
Veithen, M., Gonze, X. & Ghosez, P. Nonlinear optical susceptibilities, Raman efficiencies, and electro-optic tensors from first-principles density functional perturbation theory. Phys. Rev. B 71, 125107 (2005).
Gonze, X. et al. ABINIT: first-principles approach to material and nanosystem properties. Comput. Phys. Commun. 180, 2582–2615 (2009).
Chen, L. et al. Large elasto-optic effect in epitaxial PbTiO3. Phys. Rev. Lett. 115, 267602 (2015).
Pertsev, N. A., Zembilgotov, A. G. & Tagantsev, A. K. Equilibrium states and phase transitions in epitaxial ferroelectric thin films. Ferroelectrics 223, 79–90 (1999).
Kaminow, I. P. & Johnston, W. D. Jr Quantitative determination of sources of the electro-optic effect in LiNbO3. Phys. Rev. 160, 519–522 (1967).
Turner, E. H. High-frequency electro-optic coefficients of lithium niobate. Appl. Phys. Lett. 8, 303–304 (1966).
García, A. & Vanderbilt, D. First-principles study of stability and vibrational properties of tetragonal PbTiO3. Phys. Rev. B 54, 3817–3824 (1996).
Zgonik, M. et al. Dielectric, elastic, piezoelectric, electro-optic, and elasto-optic tensors of BaTiO3. Phys. Rev. B 50, 5941–5949 (1994).
Evarestov, R. A. & Bandura, A. V. First-principles calculations on the four phases of BaTiO3. J. Comput. Chem. 33, 1123–1130 (2012).
Tang, P., Towner, D. J., Hamano, T., Meier, A. L. & Wessels, B. W. Electrooptic modulation up to 40 GHz in a barium titanate thin film waveguide modulator. Opt. Express 12, 5962–5967 (2004).
Carpenter, R. O. ’B. The electro-optic effect in uniaxial crystals of the dihydrogen phosphate type III. Measurement of coefficients. J. Opt. Soc. Am. 40, 225–229 (1950)..
Bernasconi, P., Zgonik, M. & Günter, P. Temperature dependence and dispersion of electro-optic and elasto–optic effect in perovskite crystals. J. Appl. Phys. 78, 2651–2658 (1995).
DiDomenico, M. & Wemple, S. H. Oxygen–octahedra ferroelectrics. I. Theory of electro–optical and nonlinear optical effects. J. Appl. Phys. 40, 720–734 (1969).
Veithen, M. & Ghosez, P. Temperature dependence of the electro-optic tensor and refractive indices of BaTiO3. Phys. Rev. B 71, 132101 (2005).
Kvasov, A. et al. Piezoelectric enhancement under negative pressure. Nat. Commun. 7, 12136 (2016).
Shirane, G., Pepinsky, R. & Frazer, B. C. X-ray and neutron diffraction study of ferroelectric PbTiO3. Acta Crystallogr. 9, 131–140 (1956).
Materials Handbook: A Concise Desktop Reference (Springer International Publishing, Cham, Switzerland 2018).
Schafranek, R. et al. PbTiO3/SrTiO3 interface: energy band alignment and its relation to the limits of Fermi level variation. Phys. Rev. B 84, 045317 (2011).
Železný, V. et al. The variation of PbTiO3 bandgap at ferroelectric phase transition. J. Phys. Condens. Matter 28, 025501 (2016).
Acknowledgments
We thank Dr. A. Urbas for useful discussions. C.P. thanks the AHPCC for use of computing ressources. C.P. and L.B. thank the ARO grant W911NF-16-1-0227. S.P. and L.B. acknowledge DARPA grant HR0011-15-2-0038 (MATRIX program).
Author information
Authors and Affiliations
Contributions
L. B. suggested and oversaw the study. C. P. and S. P. ran simulations. C. P. and L. B. analyzed the data and discussed them with S. P.; C. P., S. P., and L. B. wrote the manuscript.
Corresponding author
Ethics declarations
Competing interests
The authors declare no competing interests.
Additional information
Publisher’s note Springer Nature remains neutral with regard to jurisdictional claims in published maps and institutional affiliations.
Supplementary information
Rights and permissions
Open Access This article is licensed under a Creative Commons Attribution 4.0 International License, which permits use, sharing, adaptation, distribution and reproduction in any medium or format, as long as you give appropriate credit to the original author(s) and the source, provide a link to the Creative Commons license, and indicate if changes were made. The images or other third party material in this article are included in the article’s Creative Commons license, unless indicated otherwise in a credit line to the material. If material is not included in the article’s Creative Commons license and your intended use is not permitted by statutory regulation or exceeds the permitted use, you will need to obtain permission directly from the copyright holder. To view a copy of this license, visit http://creativecommons.org/licenses/by/4.0/.
About this article
Cite this article
Paillard, C., Prokhorenko, S. & Bellaiche, L. Strain engineering of electro-optic constants in ferroelectric materials. npj Comput Mater 5, 6 (2019). https://doi.org/10.1038/s41524-018-0141-4
Received:
Accepted:
Published:
Version of record:
DOI: https://doi.org/10.1038/s41524-018-0141-4
This article is cited by
-
Flexoelectric effect via piezoresponse force microscopy of domain switching in epitaxial PbTiO3 thin films
Journal of the Korean Ceramic Society (2024)
-
Design rules for strong electro-optic materials
npj Computational Materials (2020)






