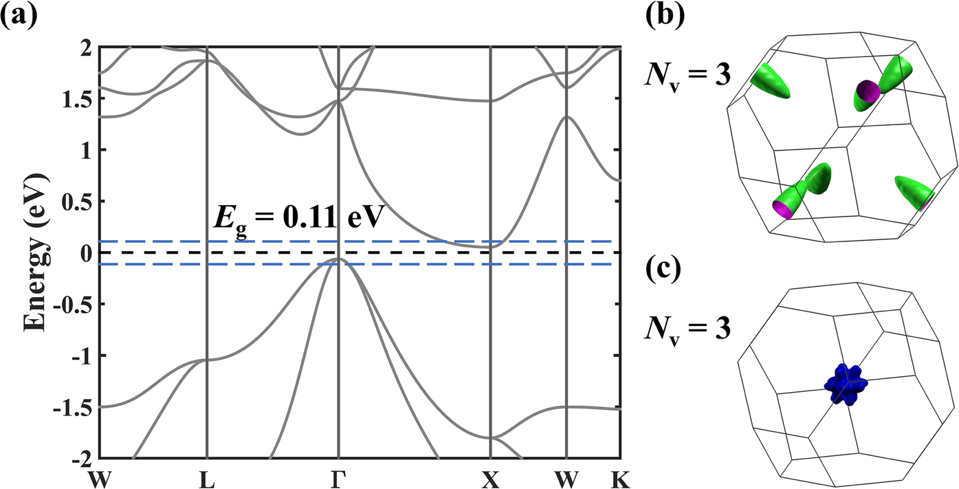
Fig. 6: Calculated band structure and iso-energy surfaces of ScNiSb, respectively.
From: Unsupervised machine learning for discovery of promising half-Heusler thermoelectric materials

a Band structure and iso-energy surfaces of b n-type and c p-type ScNiSb at the Fermi level 0.1 eV above conduction band minimum and below valence band maximum, respectively.