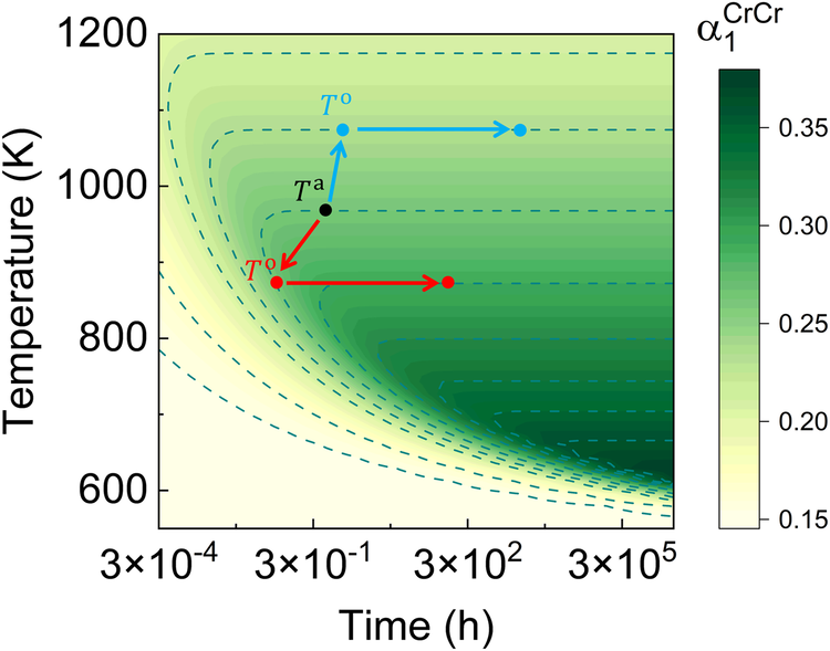
Fig. 8: Schematic diagram of the relationship between chemical ordering degree \({\alpha }_{1}^{{\rm{CrCr}}}\) and annealing temperature \({T}^{{\rm{a}}}\) and operating temperature \({T}^{{\rm{o}}}\).

One C-shaped curve stands for the same chemical ordering degree. The longer the annealing time or the lower the annealing temperature, the higher the chemical ordering degree.