Abstract
In the photothermal synergistic catalytic conversion of CO2 and H2O, the catalyst harnesses solar energy to accumulate heat, thereby elevating the reaction system’s temperature. The influence of this temperature effect on surface chemical reactions remains an underexplored area. Here the impact of temperature on the surface-level thermodynamic reactions and conversion of CO2 with H2O on oxide semiconductors at the atomic scale was investigated using first-principle calculations. 13 different metal oxides and 5 transition metal clusters were used to introduce surface functional sites on the TiO2 supporting catalyst. The potential metal oxide cocatalysts that could be most beneficial to the following conversion of CO2 by H2O were initially screened by calculating the degrees of promotion of CO2 adsorption and activation of surface H to provide protons. The proton donation and hydrogen evolution difficulty from H2O were further analyzed, identifying transition metal cocatalysts that promote direct CO2 hydrogenation. Upon introducing bifunctional sites to facilitate adsorption and reduction, the production of CH3OH and CH4 could be further enhanced through the facilitation of the proton donation process of H2O. The results of Gibbs free-energy calculations revealed that increasing temperature enhances the reaction thermodynamics for each C1 product formation at different surface sites to varying degrees. These findings offer valuable theoretical insights for designing and regulating active sites on oxide semiconductor surfaces for efficient photothermal catalytic CO2 reduction by H2O.
Similar content being viewed by others
Introduction
Increasing apprehensions concerning global energy demand and greenhouse impacts have fueled the advancement of clean and renewable energy systems. The utilization of solar energy for instigating chemical reactions to convert CO2 into solar fuels is considered a potential solution, which can simultaneously mitigate the greenhouse effect and ameliorate the energy crisis1,2. Photothermal synergistic catalytic conversion of CO2 with H2O, when viewed from a catalytic pathway perspective, amalgamates the benefits of photogenerated carrier-driven photocatalysis and temperature-driven traditional thermal catalysis, and enables the coupling of non-thermal and thermal effects of solar radiation3. In terms of the feedstock, the abundance and environmental friendliness of hydrogen as a source make this approach exceptionally promising, and the development in this field is rapidly advancing4,5. In the process of advancing studies on CO2 photothermal conversion, it is imperative to understand the separate roles of light and heat and, subsequently, grasp the synergistic mechanism. Directly elucidating photothermal synergy and systematically assessing the combined effects of light and heat excitation on catalytic conversion has always been a challenging and complex issue6.
Several recent reviews have presented varying definitions for the terminology concerning the impacts of light and heat7,8,9,10,11,12, signifying a growing trend in research that seeks to elucidate these effects from a fundamental mechanistic standpoint. The photothermal process is jointly contributed by photochemistry and thermochemical mechanistic pathways. Accordingly, Mateo et al.7 categorized it as “hot-carrier” and “thermal” effects, while Song et al.8 referred to it as “light” and “thermal” effects. The more general term, “light” and “heat”, are commonly encountered in current research literature9,10. Ozin introduced the concepts of “photochemical” and “photophysical” effects6, and highlighted the ongoing challenge of determining the relative contributions of these two effects to reaction rate and selectivity. Becker et al.11 adopted a simplified model for evaluating the “photochemical” and “thermochemical” effects in the context of exothermic reactions involving solid catalysts exposed to irradiation. Fang et al.’s review focused on the synergistic effects of “thermal and photo energies” in catalysis12. Chen et al.13 have unveiled the synergistic mechanism involving the coupling of “photo” and “photothermal” effects with specific catalysts like Ru@Ni2V2O7. It should be noted that the temperature effects mentioned here collectively refer to the increase in system temperature after the accumulation of thermal energy caused by thermal effects, which may be attributed to the non-radiative relaxation of semiconductors, localized heating induced by plasma, and thermal vibration of molecules14. This is relative to the non-thermal effects involving the generation and utilization of high-energy carriers15. The elevation in reaction temperature will significantly influence the entire reaction system, encompassing reaction thermodynamics and kinetics, product selectivity and yield, thermal active sites, and catalyst structure9,12. Some recent studies have identified the temperature effects including enhancements in diffusion rates, adsorption-desorption processes, charge carrier migration, and chemical reactions16,17,18. Temperature also facilitates the surmounting of activation energy barriers19, activation of thermally active sites20, and adjustments to the redox potential of half-reactions21,22, along with alterations in catalyst band gaps23. Nevertheless, there remains a lack of atomic-level understanding of the intricate surface chemistry and the thermodynamic reaction path mechanism affected by temperature in the CO2 catalytic reduction process24,25.
While trying to break through research on the mechanisms underlying both non-thermal and thermal effects, scholars turn their eyes toward the target reaction of CO2 conversion with H2O, a pivotal and fundamental reaction in the field of solar energy conversion. It is well-known that the chemical properties of CO2 and H2O are notably stable, necessitating materials characterized by favorable non-thermal effects to surmount the stringent reaction conditions required for the activation of reactant molecules. Numerous conventional metal oxide semiconductors, including TiO2, have been utilized for photothermal CO2 reduction in the presence of pure H2O. However, the majority of the reported systems thus far have demonstrated relatively low CO2 conversion rates, typically in the magnitude of μmol·g-1·h-1 26,27. Based on the basic principles and processes of photothermal catalytic CO2 reduction by H2O, ongoing research efforts on improving CO2 conversion performance mainly focus on strengthening the following three key steps: 1. Photon absorption; 2. Photogenerated carrier separation; 3. Surface catalytic reactions involving CO2 and H2O (including adsorption of reactants, and desorption and reduction of intermediates, etc.)28. For the third step, multiple active sites need to be designed on the catalyst surface to simultaneously achieve CO2 reduction and H2O dissociation, which still remains tremendously challenging29. In the photothermal catalytic reaction system where CO2 and H2O coexist, either H2O or H2 might become proton sources. There are three situations in which CO2 reduction occurs. One is that H2O first undergoes photooxidation (assisted by photogenerated holes) to produce protons, the second is that H2O directly provides protons, and the third is that photogenerated holes also assist H2 dissociation producing protons. Then protons reduce CO2 with photogenerated electrons. While the process of H2O splitting for hydrogen evolution can supply H+ to reduce CO2, it simultaneously competes with conduction band electrons for CO2 reduction, diminishing the effective reduction of CO2 by photoexcited electrons30. Additionally, H2O tends to have a higher propensity for surface adsorption on photocatalysts due to its high polarity. In contrast, initial adsorption and activation of CO2 usually require a huge potential barrier. These result in low CO2 reduction efficiency and poor hydrocarbon product selectivity31,32. Surface defect engineering33 and co-catalyst engineering34 have important applications in photothermal catalytic CO2 reduction reactions35. In addition to bringing about alterations in the band gap and electronic structure, thereby changing the radiation absorption and conversion performance of the material, the introduction of oxygen vacancies can also function as reaction active sites for the adsorption and activation of surface species during the catalytic process36,37. Similarly, the incorporation of metal oxides and the loading of nanometal particles can further create tailored functional sites on the material surface, enhancing the selective adsorption and activation of reactants and facilitating the subsequent reduction of key intermediates38,39. Both approaches have been proven to be powerful means to improve the performance of CO2 reduction by pure H2O on the surface of oxide semiconductors40. Alkaline-earth metal oxides including MgO, CaO, SrO, BaO41,42, as well as rare-earth metal oxides such as La2O3, CeO2, Pr6O1143,44,45 have been widely used as adsorption cocatalysts to introduce basic active sites on the surface of support oxides. Other metal oxides like Al2O346, Ga2O347, ZrO248, Ta2O549, HfO250, and WO351 have also been experimentally explored for their potential in photocatalytic reduction of CO2 and H2O, which show promise as promoters to enhance catalytic activity by enriching surface-active sites or modifying the electronic structure. Additionally, Mn, Fe, Co, Ni, and Cu are relatively low-cost representative transition metals capable of activating CO2 and H252,53,54.
This work aims to reveal the effect of temperature on the surface reaction path mechanism coupling CO2 reduction and H2O decomposition involving multiple surface intermediates and hydrodeoxygenation steps. Anatase TiO2 (aTiO2) served as the supporting catalyst, and successive modifications were made on its surface using 13 different metal oxides (La2O3, Al2O3, Ga2O3, CaO, MgO, SrO, CeO2, HfO2, ZrO2, BaO, Ta2O5, Pr6O11, WO3) and 5 transition metal (Mn, Fe, Co, Ni, and Cu) clusters. Subsequently, the adsorption and conversion processes of CO2 and H2O at the distinct surface adsorption and reduction sites correspondingly introduced through these modifications were studied. It was found that pure Ti-O-M sites can promote CO2 adsorption, but do not necessarily facilitate subsequent reduction reactions. The metal oxide cocatalysts that may be most beneficial to the following conversion of CO2 were initially screened as La2O3, Al2O3, and Ga2O3, which can not only promote CO2 adsorption but also activate surface H to provide protons. Subsequent loading of Co4 and Ni4 transition metal clusters further promoted the proton-donating process of H2O splitting while inhibiting hydrogen evolution, and are expected to improve the CH3OH and CH4 selectivity by further promoting the direct hydrogenation of CO2. In addition, the results of Gibbs free-energy calculations indicate that increasing temperature enhances the thermodynamics of C1 product formation on the surface at different sites to varying degrees.
Results and discussion
The CO2 photoreduction with H2O on the surface of metal oxide semiconductor involves sophisticated multi-reaction paths, accompanied by multiple proton-coupled electrons transfer55, and protonation, deoxygenation, and hydroxylation steps. It results in a variety of intermediate species and a complex reaction process. The elaborated thermodynamic reaction network of CO2 conversion with H2O on aTiO2(101)-based surface has been reported in our previous work56. To observe its temperature-dependent characteristics, here the reaction paths of CO2 with H2O to C1 products (mainly CO, CH3OH and CH4) on pure aTiO2(101) surface at 100~400 °C were calculated, and the energy barriers comparison of all intermediate steps were shown in Supplementary Fig. 3a. During the process of photothermal catalytic CO2 conversion with H2O, both H2O and H2 might provide proton sources and reduce CO2 together with photogenerated electrons. Here we focused on the forward protonation steps of CO2 conversion (as shown in Fig. 1). It was found that, on pure aTiO2(101) surface, the energy barriers of certain intermediate steps exhibited an increase as temperature ascends, while others displayed a decrease. However, the fundamental trajectory of the reaction remained unaffected by changes in temperature. The rate-determining step (RDS) of producing CO, CH3OH, and CH4 was always the CO2 adsorption step but with its energy barrier increased from 0.41 eV to 1.04 eV (as shown in Supplementary Fig. 3b), which might be attributed to the fact that the adsorption is exothermic commonly while the increasing temperature would inhibit the reactants adsorption. Therefore, it means that reactant adsorption under high-temperature conditions plays a critical role in the whole reaction. Optimizing surface adsorption sites will be considered first. Furthermore, the subsequent conversion of reactants on the catalyst also exhibited a strong correlation with the presence of active sites on the surface. Basically, introducing adsorption sites and reduction sites on the support semiconductors has been regarded as an effective approach to enhance the performance of photothermal catalytic CO2 reduction57. In this context, the discussion revolves around elucidating the mechanism that governed the influence of temperature on the thermodynamic reaction process path (including the adsorption and conversion of reactants and intermediates) and product selectivity during the photothermal catalysis of CO2 conversion with H2O on semiconductor surfaces featuring functional active sites.
During the photothermal catalytic CO2 conversion with H2O, light irradiates H2O molecules to split and provide protons and electrons to reduce CO2. It takes two protons and two electrons to generate CO, six protons and two electrons to generate CH3OH, and eight protons and two electrons to generate CH4.
Adsorption and activation of CO2, H2O, and H atom
The pure aTiO2(101) surface owns relatively simple reaction sites for reactant adsorption and activation. For the purpose of designing and providing selective sites for the adsorption of CO2, H2O, and H, 13 types of MxOy (La2O3, Al2O3, Ga2O3, CaO, MgO, SrO, CeO2, HfO2, ZrO2, BaO, Ta2O5, Pr6O11, WO3) were decorated on the pure aTiO2(101) surface. As demonstrated in Fig. 2a, the energy barriers for adsorption and activation of CO2 and H2O molecule, H atom on surface Ti-O (VO)-M sites were calculated. It can be concluded that both photoinduced VO and doped MxOy promoted CO2 adsorption to varying extents. Compared with this, H2O adsorption was slightly affected, which emphasized the favorable effects of surface oxygen defects and basic sites on promoting the initial activation and selective adsorption of CO2. Regarding the adsorption of H atoms, La2O3, Al2O3, and Ga2O3 doping exerted the most significant influence among all modified metal oxides. On the Ti-O-M (M=La, Al, Ga) site, the adsorption energy of H attained a notably diminished value. The charge density difference analysis was conducted for H adsorption on MxOy-decorated surfaces. As depicted in Supplementary Fig. 4, the electron gains and losses between the H atom and the surface were notably pronounced on surfaces doped with La2O3, Al2O3, and Ga2O3, with an increased charge transfer observed. A higher level of activation of H on the surface could potentially enhance the favorability of CO2 hydrogenation. It should be noted that the difficulty in creating oxygen vacancies on the surface post-doping with distinct oxides exhibited differing degrees, and the calculated oxygen vacancy formation energy was presented in Fig. 2b for reference. Broadly speaking, when the valence state of the doped oxide’s metal cations M2y/x+ increased, detaching surface oxygen became more difficult, which might be attributed to the more pronounced charge compensation effect stemming from low-valent metal cations58. On surfaces doped with CaO, MgO, SrO, and BaO, the formation energy of VO experienced a significant reduction, leading to the ease of forming Ti-Vo-M sites. This made reactant molecules and atoms exhibit a propensity for adsorption and activation directly on the defective surface. Comparatively, the presence of photoinduced VO and the introduction of La2O3, Al2O3, and Ga2O3 on the aTiO2 surface demonstrated a relatively potent promotional effect on CO2 activation. Additionally, during photothermal catalysis reactions, light irradiation triggered the generation of oxygen vacancies on the material’s surface. Under these circumstances, the adsorption energy of CO2 on the surface of La2O3, Al2O3, and Ga2O3-doped TiO2 was indicated in Supplementary Table 1. Notably, the adsorption energy of CO2 evolved from −1.20 eV, −0.77 eV, and −0.76 eV (in the absence of surface defects) to −0.61 eV, −0.52 eV, and −0.52 eV respectively, signifying an increase yet maintaining a promotional effect. The enhancement of the basic sites introduced via doping for subsequent CO2 conversion reactions relied on the availability of protons and electrons. The collaborative presence of synergistic surface oxygen defects and basic sites worked in tandem to amplify the reaction’s thermodynamics, facilitating the multi-electron conversion of CO2 to yield C1 products56. Based on the efficacy of La2O3, Al2O3, and Ga2O3 in augmenting the adsorption and activation of CO2 molecules and H atoms, comprehensive calculations of the entire thermodynamic reaction paths for photothermal catalytic CO2 conversion to C1 products (CO, CH3OH, and CH4) at varying temperatures were performed on the respective defective surfaces doped with these compounds.
a Energy barriers (Eads) for activating CO2, H2O molecules, and H atoms to CO2*, H2O*, and H*, respectively, on different surface sites. b Formation energy of VO on corresponding surfaces.
Temperature influence on the thermodynamic path of surface CO2 conversion via enhanced adsorption sites
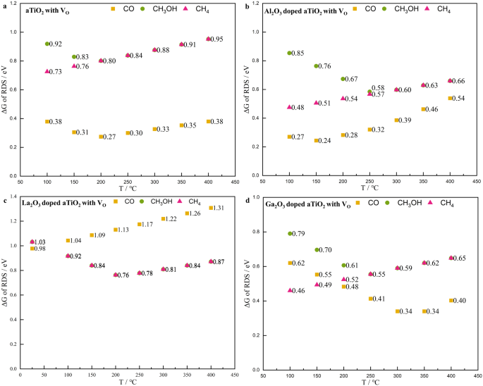
Thermodynamically, adsorption is exothermic, with a typically negative temperature impact. In other words, as the temperature increases, the strength of adsorption decreases. Yet, when examining surface CO2 conversion reactions that encompass various intermediate steps, the interplay between temperature and these reactions becomes notably intricate compared to the simpler phenomenon of adsorption. On the surface-active sites that strengthen the adsorption of reactants, the reaction pathways of CO2 conversion to CO, CH3OH, and CH4 at varying temperatures were illustrated in Figs. 3 and 4. As shown in Figs. 3a and 4a, on the defective aTiO2 surface, the RDS of each product was different from that on the pure aTiO2 surface. In the process of CO generation through ‘CO2→*CO2→*COOH→*CO→CO’, CO2 adsorption was no longer the RDS on the defective surface. Instead, the RDS could involve either CO desorption or protonation of *CO2 to form *COOH. With a temperature increased from 100 °C to 150 °C, CO desorption became the dominant RDS for CO production, resulting in a reduction of the associated energy barrier (from 0.49 eV to 0.31 eV). However, upon further elevation to 200 °C, the RDS transitioned to ‘*CO2 protonation to *COOH’, accompanied by an energy barrier increase (from 0.27 eV to 0.38 eV) as temperature rose. Similarly, the RDS for CH3OH production underwent alterations (from ‘*CH3OH→CH3OH’ to ‘*CHO→*HCOH’), and the energy barrier first decreased and then increased. This suggested the existence of an optimal thermodynamic temperature range for CO and CH3OH generation, specifically between 150 °C and 200 °C. Meanwhile, the energy barrier associated with the RDS (*CHO→*HCOH) for CH4 production showed an upward trend with increasing temperature, eventually being consistent with the energy barrier observed for CH3OH production.
Different reaction pathways and key intermediate steps are experienced on the surfaces of a aTiO2 with VO, b Al2O3-doped aTiO2 with VO, c La2O3-doped aTiO2 with VO, and d Ga2O3-doped aTiO2 with VO that strengthen the adsorption of reactants.
The Gibbs free-energy change of RDS under the temperature range of 100~400 °C on the surface of a aTiO2 with VO, b Al2O3-doped aTiO2 with VO, c La2O3-doped aTiO2 with VO, and d Ga2O3-doped aTiO2 with VO, respectively.
Across defective surfaces featuring various introduced basic sites, the reaction paths of C1 products exhibited discrepancies. Different surfaces tended to favor distinct optimal reaction paths, and engaged diverse reaction intermediates, as presented in Supplementary Fig. 5. When the temperature increased, notable on the Al2O3 doped surface as shown in Figs. 3b and 4b, the RDS for CO production experienced a sequential transformation: transitioning from ‘*COOH→*CO’ to ‘*CO2→*COOH’, and finally culminating in CO2 adsorption. This sequential evolution was accompanied by an initial reduction followed by an eventual increase in the associated energy barrier. Notably, a thermodynamically favorable temperature range for CO production emerged, peaking around 150 °C. Likewise, for CH3OH production, the RDS shifted from ‘*CH3OH→CH3OH’ to ‘*CH3O→*CH3OH’ with increasing temperature, leading to an initial energy barrier decrease followed by an increase. The most thermodynamically favorable temperature for CH3OH production was approximately 250 °C. Conversely, the energy barrier for the RDS of CH4 production (‘*CH3O→*CH3OH’) increased consistently with temperature. On the La2O3 doped surface as shown in Figs. 3c and 4c, the RDS of CO production was always ‘*CO2 protonation to *COOH’ as the temperature rose, but the energy barrier continued to increase (from 0.98 eV at 100 °C to 1.31 eV at 400 °C), which was not conducive to the formation of CO. The RDS for CH3OH and CH4 production decreased first and then increased. In the temperature range from 100 °C to 200 °C, the pivotal step was the conversion of *H2COOH to *HCHO, and the energy barrier declined with rising temperature, reaching its minimum value of 0.76 eV at 200 °C. Subsequently, as the temperature continued to rise, the RDS transitioned to ‘*HCOO→*HCOOH’, suggesting that the most thermodynamically favorable temperature for CH3OH and CH4 production might be approximately 200 °C. In addition, the thermodynamic tendency of the C1 products evolved with increasing temperature, distinct from both undoped and Al2O3-doped surfaces. As shown in Fig. 4c, at lower temperatures (approximately lower than 50 °C), the energy barrier for CO production was the lowest, suggesting a thermodynamic preference for CO generation at this time. While as the temperature rose, the RDS energy barrier for CO production increased until it surpassed that for CH3OH and CH4 production, and remained high thereafter, leading to increased selectivity for CH3OH and CH4. With Ga2O3 doping, as shown in Figs. 3d and 4d, an increase in temperature results in a rising energy barrier for the RDS (‘*CH3O→*CH3OH’) of CH4 production. The RDS for CH3OH production transitioned from CH3OH desorption to ‘*CH3O conversion to *CH3OH’, with its energy barrier displaying an initial decrease followed by an increase. A similar trend was observed for the RDS governing CO production. This transition involved a shift from ‘*COOH→*CO’ to CO2 adsorption as the temperature escalated. Furthermore, at temperatures below about 175 °C, the RDS energy barrier for CH4 production was lower than that for CO and CH3OH. However, as the temperature exceeded 175 °C, the energy barrier for CO production decreased below that for CH3OH and CH4, signifying that this increasing temperature enhanced the thermodynamic inclination toward CO production.
It can be seen from the above that surface doping with basic metal oxides notably influenced the reaction path for CO2 reduction to C1 products by altering the reaction intermediates and key steps. The energy barriers of the rate-determining steps for the formation of C1 products corresponding to the different adsorption-assisting active sites introduced changed and were affected by temperature. The higher temperature accentuated the thermodynamic favorability of multi-electron conversion of CO2 into C1 products. The temperature variation resulted in shifts in the relative ease of producing CO, CH3OH, and CH4, as shown in Supplementary Fig. 6. To elaborate, at lower temperatures, the RDS energy barrier for CO production was the lowest on Al-VO-Ti site, while the RDS energy barriers for CH3OH and CH4 production were the lowest on pure Ti-O-Ti site, which are lower than those of all defective and doped surfaces. Before 250 °C, it was difficult to produce C1 on La-VO-Ti, with the energy barrier for CO exceeding that of CH3OH and CH4 and higher than that on Ti-O-Ti site. However, as the temperature rose, Ti-VO-Ti site exhibited the lowest RDS energy barrier for CO production, while Ga-Vo-Ti site exhibited the lowest RDS energy barrier for CH3OH and CH4 production, maintaining this status at higher temperatures. The RDS energy barrier for CO production on La-VO-Ti remained high, but CH3OH and CH4 production was enhanced. Although the temperature did not alter the overall reaction path, it did impact the selectivity of each surface C1 product by modifying the rate-determining steps and energy barriers associated with each C1 product. Elevated temperatures might promote CO selectivity (with Ga2O3 doping) and CH3OH/CH4 selectivity (with La2O3 doping).
Temperature influence on CO2 conversion with H2O at bifunctional sites via further loading transition metal clusters
During the photothermal catalytic reaction, the photoinduced oxygen vacancies on the surface of the oxide semiconductor were likely to be occupied in the intermediate steps of CO2 conversion (especially in the deoxygenation step), which encompass the following steps: ‘VO-*CO2→*CO’, ‘VO-*COOH→*COH’, ‘VO-*HCOO→*CHO’, ‘VO-*HCOOH→*HCOH’, ‘VO-*HCOO→*CHO’, ‘VO-*CO→*C’, ‘VO-*CHO→*CH’, ‘VO-*HCHO→*CH2’, and ‘VO-*CH3O→*CH3’. Once the oxygen vacancies were consumed, the doped metal oxide was not conducive to the reduction reaction. As shown in Supplementary Fig. 7, it was calculated that at the M-VO-Ti (M=Al, La, Ga) site, oxygen vacancies were more prone to being occupied by intermediate species *HCOOH, *CO2, and *CO2 respectively to yield *HCOH, *CO, and *CO. Subsequently, *HCOH and *CO underwent protonation. However, the energy barrier for the subsequent steps, specifically from *CH2OH to form *CH3OH or from *CH3 to form *CH4, was exceedingly high. Consequently, the production of CH3OH and CH4 becomes exceptionally challenging at this stage, underscoring the need for further enhancement of the reduction of key intermediates. This also showed that the introduction of adsorption-assisted sites primarily facilitates reactant adsorption, without necessarily guaranteeing the promotion of subsequent reduction reactions.
It was generally believed that transition metal clusters can activate H2 to *H52, or promote the H2O dissociation59, thereby providing *H to facilitate the direct hydrogenation of CO2. But at the same time, they might also catalyze the hydrogen evolution of H2O60,61, which engendered competition with hydrocarbon products during the reduction of CO2 by H2O. Various transition metal clusters were further loaded onto Ga2O3-doped TiO2 surface, to delve deeper into the conversion of CO2 with H2O into hydrocarbon products by introducing dual sites that assist in adsorption and reduction. In metal oxide semiconductor systems, the hydrogen evolution step was often identified as the rate-determining stage in the decomposition of H2O on the surface62,63. It was considered that a higher energy barrier for the hydrogen evolution step signifies effective suppression of competitive hydrogen evolution. The proton-donating process of water splitting was calculated on the surfaces supported by a series of transition metal clusters (Mn, Fe, Co, Ni, and Cu), including key steps such as water-splitting adsorption, H activation, and hydrogen evolution, as shown in Fig. 5. The results revealed that Mn, Fe, and Cu clusters, when loaded, exhibited lower energy barriers for the hydrogen evolution step compared to the pure aTiO2 (101) surface, thereby promoting H2 evolution. Furthermore, Mn and Fe impeded water splitting to yield *H. In contrast, the inclusion of Ni- or Co-facilitated water splitting to produce *H and activates H while discouraging the formation of H2. Therefore, we proceeded to calculate the path for CO2 reduction to produce C1 on the surface of Ga2O3-doped TiO2 loaded with Ni or Co metal clusters. As shown in Fig. 6, it was found that, compared with the unloaded Ga2O3-doped TiO2 surface, the energy barriers for the RDS in CH3OH and CH4 production were significantly lowered when Ni or Co metal clusters were introduced. The impact of Ni was more significant than that of Co. In Comparison with the pure TiO2 surface, Co could promote the formation of CH3OH and CH4 primarily at higher temperatures. In addition, Co loading did not enhance the production of CO, and Ni loading only made the CO’s RDS energy barrier lower when the temperature gradually increased (after 200 °C), with both Ni and Co improving the selectivity of CH3OH and CH4. This substantiated the positive role played by the supported Ni4 or Co4 cluster in facilitating the direct hydrogenation and multi-electron conversion of CO2. The electron transfer by Bader charge analysis has been investigated to further explore the possible mechanism and synergistic effect of Ga2O3 doping combined with Co or Ni loading on the CO2 conversion with the H2O reaction process. The results in Table 1 demonstrated that on Ti-O-Ga··Co4 and Ti-O-Ga··Ni4 sites, there was a decrease in positive charge on H and C atoms, while the negative charge on O atoms of CO2 and those connected to H atoms increased. This alteration suggests an augmented electron transfer between the surface and H or CO2, leading to an accumulation of electrons on H and CO2 species. Consequently, the adsorption of CO2 and H was enhanced, as shown in Supplementary Table 2. Furthermore, the longer CO2 bond lengths signify a reduction in C=O bond energy and the weakening of the C=O bond. Based on the collective computational findings, it can be inferred that Ga2O3 doping combined with Co or Ni loading facilitates CO2 adsorption and the proton-donating process involved in H2O splitting by providing additional electrons, thereby facilitating the CO2 conversion reaction.
The upper dotted line of the figure is aligned with the energy barrier of the hydrogen evolution step (*OH+*H→*O+H2) at the pure Ti-O-Ti site, and the dotted line below is aligned with the energy barrier of the water-splitting adsorption step (*H2O→*OH+*H) at the pure Ti-O-Ti site. The surface site where the pink rectangular area is located represents which has the potential to promote water splitting to generate *H and activate H while inhibiting the formation of H2.
Each graph shows the RDS energy barriers of surface sites (Ti-O-Ti, Ti-O-Ga, Ti-O-Ga··Co4, and Ti-O-Ga··Ni4) at one specific reaction temperature: a 100 °C, b 150 °C, c 200 °C, d 250 °C, e 300 °C, f 350 °C, and g 400 °C.
As the temperature rose from 100 °C to 400 °C, combined with Supplementary Fig. 8, it was observed that the reaction path on Ti-O-Ga-MT4 site for yielding C1 product remained constant, while the rate-determining steps underwent modifications. On the Co-loaded surface, the RDS for CO production consistently involved CO desorption, with the energy barrier decreasing as temperature increased, but was still higher compared to other surfaces. The RDS for CH3OH production transitioned from CH3OH desorption to ‘*HCHO→*CH2OH’, and the energy barrier decreased with increasing temperature. For CH4 production, the RDS shifted from ‘*CH2OH→*CH2’ to ‘*HCHO→*CH2OH’. Initially, the energy barrier decreased with rising temperature, but it subsequently began to increase at significantly high temperatures (350 °C). On the Ni-loaded surface, the RDS for CO production changed from ‘*COOH→*CO’ to CO2 adsorption, and the energy barrier diminished as temperature increased. In contrast, the RDS for CH3OH and CH4 production shifted from CH3OH desorption to ‘*HCOO→*HCOOH’ and then to CO2 adsorption, resulting in a larger energy barrier with increasing temperature. Irrespective of temperature, the RDS energy barrier for CH3OH and CH4 production on the Ni-loaded surface was always lower than any other surface. The coexistence of dual sites on the surface resulted in CH3OH and CH4 dominating the product selectivity even at very high temperatures. In contrast to surfaces solely doped with M2O3, wherein only adsorption-assisted sites were introduced, on these surfaces, as temperature increased, the energy barrier for the RDS in CO production remained persistently high, like the production of CH3OH and CH4. Alternatively, it gradually decreased until it governed C1 product selectivity. The dual-site configuration, combining adsorption and reduction sites, not only accelerated the multi-electron conversion of CO2 to generate CH3OH and CH4 but also reduced temperature sensitivity, that is, CH3OH and CH4 selectivity was still very high even at very high temperatures.
In this study, how temperature affects the complex intermediate process of photothermal catalytic CO2/H2O reaction and C1 product selectivity was investigated by employing periodic density functional theory methods. The surface reaction path and mechanism before and after regulating the active site were analyzed from the atomic-level perspective. It was revealed that on the pure TiO2 semiconductor surface, the adsorption of reactants consistently emerged as the rate-determining step for C1 production at high temperatures and that high temperatures did not favor the exothermic adsorption process. After adsorption activation, the subsequent conversion of CO2 and H2O on the semiconductor surface involved multiple surface intermediates and multiple hydrodeoxygenation steps, resulting in the formation of a complex reaction network and potential energy surface. To establish a more universally applicable conclusion regarding the impact of temperature on the thermodynamics of surface reactions, we introduced diverse adsorption sites by incorporating a range of metal oxides onto the TiO2 surface. Our investigations unveiled that during the photothermal conversion of CO2, Ti-O-M sites could always enhance CO2 adsorption, but did not invariably promote subsequent reduction reactions. Temperature variations did not alter the overall direction of the reaction path but brought about alterations in the rate-determining step and the corresponding energy barrier for each C1 product, thereby changing the selectivity of each C1 product on the surface which followed the adjustment of active sites. Elevating the temperature might lead to an increased CO selectivity at the Ti-O-Ga site and a higher propensity for CH4 and CH3OH selectivity at the Ti-O-La site. Upon introducing bifunctional sites (Ga-O-Ti··MT4) to facilitate adsorption and reduction, the production of CH3OH and CH4 could be further enhanced through the facilitation of the proton donation process of H2O. However, it was noteworthy that as the temperature increases, it might become less favorable at the Ga-O-Ti··Ni4 site and might favor an increased selectivity for CO. While higher temperatures could directly augment hydrocarbon product generation at the Ga-O-Ti··Co4 site, there might be an inflection point where the rate-determining step’s energy barrier started to rise. From a thermodynamic perspective, an increase in temperature did promote the reaction within a certain range, yet there might exist an optimal reaction temperature. The temperature elevation enhanced the reaction thermodynamics of C1 product formation to varying degrees at different surface sites.
Understanding the surface thermodynamic reaction mechanism affected by temperature and the roles it plays in the adsorption and desorption of reactants, intermediates, and products should be addressed. Here, the present first-principles computational work is complementary to experimentally elucidate the processes promoted by solar-induced temperature, and might provide valuable theoretical insights to guide active site regulation and further experimental design of photothermal catalysts dedicated to the conversion of CO2 and H2O into hydrocarbons.
Methods
Computational methods
All calculations have been conducted in the framework of DFT64,65 using the Perdew–Burke–Ernzerhof (PBE) functional of the generalized gradient approximation (GGA)66 as implemented in the Vienna Ab-initio Simulation Package (VASP)67,68. The core-valence electron interaction was described by the project-augmented wave (PAW) pseudopotential. The empirical correction in the DFT-D3 method with Becke–Jonson damping69 was used for long-range dispersion corrections. To balance computational accuracy and cost, the energy cutoff of 400 eV was set in the calculations, along with the convergence threshold for the self-consistent-field iteration set to 10-6 eV. Geometry optimizations converged when the force components were less than 0.01 eV/Å. The integration in the Brillouin zone was done on a 3 × 3 × 1 k-point grid sampled by the Gamma-centered scheme70.
The adsorption energy of CO2, H2O, and H, labeled as Eads-\({\text{CO}}_{2}\), Eads-\({\text{H}}_{2}\text{O}\), and Eads-H were calculated as Eads = E(total) − E(slab) − E(adsorbed substance). To study how temperature influences CO2 conversion with H2O from a thermodynamic point of view, the Gibbs free energy (ΔG) of all intermediates during the reaction were calculated based on statistical thermodynamics71,72,73 by adding the importance of entropic contribution (S) and zero-point energy (ZPE) corrections as:
Where ΔE is the reaction energy acquired from DFT calculations of the optimized structure of reactants and products at each intermediate step, calculated as ΔE = E(products) − E(reactants). ΔZPE is the difference in zero-point energy due to the reaction. ΔU and ΔS are the change in internal energy and entropy, contributed by the translation, rotation, and vibration, respectively, which could be given by:
Where T is temperature, vi are vibrational frequencies that could be calculated by DFT calculations. Then ΔZPE, ΔU, and ΔS are determined from vi associated with the normal modes of the adsorbed species calculated in the harmonic oscillator approximation, which can be calculated using VASPKIT74 after vibration frequency calculation. The temperature (T = 298.15, 373.15, 423.15, 473.15, 523.15, 573.15, 623.15, 673.15 K) dependence of entropic and vibrational contributions to the Gibbs free energy has been explicitly taken into account. It is worth mentioning that this computational strategy for analyzing the influence of temperature effects on surface reaction mechanisms from the thermodynamics perspective has been applied to some reported research in recent years62,75,76.
Computational models
The modified metal oxide semiconductor systems were constructed based on our previous theoretical and experimental studies56,77,78. Typically, TiO2-based catalysts can maintain a stable crystal form of anatase at temperatures below approximately 450 °C. Furthermore, it has been observed that a temperature increase within this range results in a slight decrease in the band gap of TiO2 due to the expansion of atomic spacing, though this influence is almost negligible23. In the meantime, taking the temperature range employed in our photothermal catalysis experiments into account, the temperature range of this study is set as 298.15~673.15 K. Consequently, the supporting catalyst, that is, the pure anatase TiO2, whose most stable surface - (101) surface was directly introduced into the calculation. The aTiO2(101) surface slab was optimized with three layers in a 4 × 4 supercell (144 atoms), keeping fixed the bottom layer to the bulk atomic positions and the top two layers allowed to relax. A vacuum space of 15 Å along the surface normal direction is applied to minimize unphysical interaction between periodic images and simulate the exposed surface. One bridge O atom was removed to represent the defective surface with oxygen vacancy (VO). Furthermore, according to the reported literature, for the metal oxides (MxOy) decorating surface, the model of MxOy doped TiO2 catalysts was built by incorporating one metal atom to replace one five-coordination Ti atom79,80,81. And as the previously extensively accepted 4-atom cluster model catalyst73,82,83,84, the MT4 cluster consists of four MT atoms that were put onto the supporting catalyst surface, to signify the transition metal (MT) loaded surface. The most stable adsorption configurations of all reaction intermediates at the surface reaction sites, were identified by the lowest calculated energy values among all possible configurations. The catalysts’ models and the optimized reaction intermediate structures on corresponding surface-active sites can be seen in Supplementary Figs. 1 and 2, respectively.
Data availability
The authors declare that the data supporting the findings of this study are available within the article and its supplementary information files or from the corresponding authors on reasonable request.
Code availability
The VASP calculation inputs and outputs will be shared with the community upon reasonable request.
References
Le, Q. V. et al. Light-driven reduction of carbon dioxide: altering the reaction pathways and designing photocatalysts toward value-added and renewable fuels. Chem. Eng. Sci. 237, 116547 (2021).
Lin, H. et al. Toward solar-driven carbon recycling. Joule 6, 294–314 (2022).
Hong, J. et al. Photothermal chemistry based on solar energy: from synergistic effects to practical applications. Adv. Sci. 9, 2103926 (2021).
Li, Y. et al. Recent advances in photothermal COx conversion. Sol. RRL 6, 2200493 (2022).
Wang, X. et al. Carbon nanotubes @Cu/Ni loaded BFO for photothermal catalytic conversion of CO2 by H2O. Mater. Chem. Phys. 309, 128417 (2023).
Ozin, G. Accelerated optochemical engineering solutions to CO2 photocatalysis for a sustainable future. Matter 5, 2594–2614 (2022).
Mateo, D. et al. Fundamentals and applications of photo-thermal catalysis. Chem. Soc. Rev. 50, 2173–2210 (2021).
Song, C. et al. Principles and applications of photothermal catalysis. Chem. Catal. 2, 52–83 (2022).
Wang, Z. et al. A state-of-the-art review on action mechanism of photothermal catalytic reduction of CO2 in full solar spectrum. Chem. Eng. J. 429, 132322 (2022).
Fan, W. K. & Tahir, M. Recent developments in photothermal reactors with understanding on the role of light/heat for CO2 hydrogenation to fuels: a review. Chem. Eng. J. 427, 131617 (2022).
Becker, H., Ziegenbalg, D. & Güttel, R. Discriminating photochemical and photothermal effects in heterogeneous photocatalysis. Catal. Sci. Technol. 13, 645–664 (2023).
Fang, S. & Hu, Y. H. Thermo-photo catalysis: a whole greater than the sum of its parts. Chem. Soc. Rev. 51, 3609–3647 (2022).
Chen, Y. et al. Cooperative catalysis coupling photo-/photothermal effect to drive Sabatier reaction with unprecedented conversion and selectivity. Joule 5, 3235–3251 (2021).
Kashyap, V. & Ghasemi, H. Solar heat localization: concept and emerging applications. J. Mater. Chem. A 8, 7035–7065 (2020).
Rao, Z. et al. Insights into the nonthermal effects of light in dry reforming of methane to enhance the H2/CO ratio near unity over Ni/Ga2O3. ACS Catal. 11, 4730–4738 (2021).
Ning, S. et al. Microstructure induced thermodynamic and kinetic modulation to enhance CO2 photothermal reduction: a case of atomic-scale dispersed Co-N species anchored Co@C Hybrid. ACS Catal. 10, 4726–4736 (2020).
Liu, D. et al. Photothermally assisted photocatalytic conversion of CO2-H2O into fuels over a WN-WO3 Z-scheme heterostructure. J. Mater. Chem. A 8, 1077–1083 (2020).
Guo, R.-T. et al. Recent progress of photothermal effect on photocatalytic reduction of CO2. Fuel Process. Technol. 241, 107617 (2023).
Ghoussoub, M. et al. Principles of photothermal gas-phase heterogeneous CO2 catalysis. Energy Environ. Sci. 12, 1122–1142 (2019).
Zheng, D. et al. LaNixFe1-xO3 (0≤x≤1) as photothermal catalysts for hydrocarbon fuels production from CO2 and H2O. J. Photochem. Photobiol. A 377, 182–189 (2019).
Han, B. et al. Efficient visible light photocatalytic CO2 reforming of CH4. ACS Catal. 6, 494–497 (2016).
Ma, Z. et al. Temperature effects on redox potentials and implications to semiconductor photocatalysis. Fuel 286, 119490 (2021).
Han, B. et al. A thermo-photo hybrid process for steam reforming of methane: highly efficient visible light photocatalysis. ChemComm 55, 7816–7819 (2019).
Maarisetty, D. et al. The role of material defects in the photocatalytic CO2 reduction: interfacial properties, thermodynamics, kinetics and mechanism. J. CO2 Util. 64, 102175 (2022).
Tian, J. et al. Direct conversion of CO2 into hydrocarbon solar fuels by a synergistic photothermal catalysis. Catalysts 12, 612 (2022).
Sun, F. et al. Concentrated full-spectrum solar-driven CO2 reduction with H2O to solar fuels by Au nanoparticle-decorated TiO2. Energy Fuels 36, 6433–6444 (2022).
Wang, K. et al. Unravelling the CC coupling in CO2 photocatalytic reduction with H2O on Au/TiO2-x: combination of plasmonic excitation and oxygen vacancy. Appl. Catal. B 292, 120147 (2021).
He, B. et al. Design and application of g-C3N4-based materials for fuels photosynthesis from CO2 or H2O based on reaction pathway insights. J. Colloid Interf. Sci. 629, 825–846 (2023).
Duan, Y. et al. Simultaneous CO2 and H2O activation via integrated Cu single atom and N vacancy dual-site for enhanced CO photo-production. Adv. Funct. Mater. 33, 2301729 (2023).
Fresno, F., Iglesias-Juez, A. & Coronado, J. M. Photothermal catalytic CO2 conversion: beyond catalysis and photocatalysis. Top. Curr. Chem. 381, 21 (2023).
Akhter, P. et al. Novel nanostructured-TiO2 materials for the photocatalytic reduction of CO2 greenhouse gas to hydrocarbons and syngas. Fuel 149, 55–65 (2015).
Fu, J. et al. Product selectivity of photocatalytic CO2 reduction reactions. Mater. Today 32, 222–243 (2020).
Qi, Y. et al. Photoinduced defect engineering: enhanced photothermal catalytic performance of 2D black In2O3-x nanosheets with bifunctional oxygen vacancies. Adv. Mater. 32, 1903915 (2020).
Li, X. et al. Cocatalysts for selective photoreduction of CO2 into solar fuels. Chem. Rev. 119, 3962–4179 (2019).
Zhang, F. et al. Photothermal catalytic CO2 reduction over nanomaterials. Chem. Catal. 1, 272–297 (2021).
Zhao, H., Pan, F. & Li, Y. A review on the effects of TiO2 surface point defects on CO2 photoreduction with H2O. J. Materiomics 3, 17–32 (2017).
Xu, C. & Luo, J.-L. Understanding the light-induced oxygen vacancy in the photochemical conversion. J. Phys. Energy 5, 011001 (2023).
Zhang, Y. et al. Atomic-level reactive sites for semiconductor-based photocatalytic CO2 reduction. Adv. Energy Mater. 10, 1903879 (2020).
Nguyen, T. P. et al. Recent advances in TiO2-based photocatalysts for reduction of CO2 to fuels. Nanomaterials 10, 337 (2020).
Bian, J. et al. Strategies and reaction systems for solar-driven CO2 reduction by water. Carbon Neutr. 1, 5 (2022).
Torres, J. A. et al. Enhancing TiO2 activity for CO2 photoreduction through MgO decoration. J. CO2 Util. 35, 106–114 (2020).
Kwon, S. et al. Alkaline-earth metal-oxide overlayers on TiO2: application toward CO2 photoreduction. Catal. Sci. Technol. 6, 7885–7895 (2016).
Ullah, S. et al. Photoenhanced CO2 methanation over La2O3 promoted Co/TiO2 catalysts. Appl. Catal. B 294, 120248 (2021).
Liu, H. et al. Effect of CeO2 addition on Ni/Al2O3 catalysts for methanation of carbon dioxide with hydrogen. J. Nat. Gas. Chem. 21, 703–707 (2012).
Huang, Z. et al. CO2 capture, storage, and conversion using a praseodymium-modified Ga2O3 photocatalyst. J. Mater. Chem. A 5, 19351–19357 (2017).
Bansode, A. & Urakawa, A. Towards full one-pass conversion of carbon dioxide to methanol and methanol-derived products. J. Catal. 309, 66–70 (2014).
Akatsuka, M. et al. Preparation of Ga2O3 photocatalyst highly active for CO2 reduction with water without cocatalyst. Appl. Catal. B 262, 118247 (2020).
Dang, S. et al. Role of zirconium in direct CO2 hydrogenation to lower olefins on oxide/zeolite bifunctional catalysts. J. Catal. 364, 382–393 (2018).
Wei, S. et al. Improved photocatalytic CO2 conversion efficiency on Ag loaded porous Ta2O5. Appl. Surf. Sci. 563, 150273 (2021).
Li, X. et al. Enhanced electroreduction of CO2 to C2+ products on heterostructured Cu/oxide electrodes. Chem 8, 2148–2162 (2022).
Deng, Y. et al. Solar-energy-driven photothermal catalytic C-C coupling from CO2 reduction over WO3-x. Chin. J. Catal. 43, 1230–1237 (2022).
Lee, J. H. et al. Cost-effective and dynamic carbon dioxide conversion into methane using a CaTiO3@Ni-Pt catalyst in a photo-thermal hybrid system. J. Photochem. Photobiol. A 364, 219–232 (2018).
Meng, X. et al. Photothermal conversion of CO2 into CH4 with H2 over Group VIII nanocatalysts: an alternative approach for solar fuel production. Angew. Chem. Int. Ed. 53, 11478–11482 (2014).
He, Z.-H. et al. Photothermal CO2 hydrogenation to hydrocarbons over trimetallic Co-Cu-Mn catalysts. Green Chem. 23, 5775–5785 (2021).
Pannwitz, A. & Wenger, O. S. Proton-coupled multi-electron transfer and its relevance for artificial photosynthesis and photoredox catalysis. ChemComm 55, 4004–4014 (2019).
Zhang, L. et al. Elaborated reaction pathway of photothermal catalytic CO2 conversion with H2O on gallium oxide-decorated and -defective surfaces. Chem. Eur. J. 28, e202104490 (2022).
Vu, N.-N., Kaliaguine, S. & Do, T.-O. Critical aspects and recent advances in structural engineering of photocatalysts for sunlight-driven photocatalytic reduction of CO2 into fuels. Adv. Funct. Mater. 29, 1901825 (2019).
Wang, F., Di Valentin, C. & Pacchioni, G. Doping of WO3 for photocatalytic water splitting: hints from density functional theory. J. Phys. Chem. C 116, 8901–8909 (2012).
Li, Z. et al. Photo-driven hydrogen production from methanol and water using plasmonic Cu nanoparticles derived from layered double hydroxides. Adv. Funct. Mater. 33, 2213672 (2023).
Yang, S. et al. Mechanism of transition metal cluster catalysts for hydrogen evolution reaction. Int. J. Hydrog. Energy 46, 3484–3492 (2021).
Zhao, J. et al. Plasmonic Cu nanoparticles for the low-temperature photo-driven water-gas shift reaction. Angew. Chem. Int. Ed. 62, e202219299 (2023).
Zhang, X. et al. Photothermal catalytic water splitting at diverse two-phase interfaces based on Cu-TiO2. ACS Appl. Energy Mater. 5, 4564–4576 (2022).
Zhang, L. et al. Synergistic modulation between non-thermal and thermal effects in photothermal catalysis based on modified In2O3. ACS Appl. Mater. Interfaces 15, 39304–39318 (2023).
Hohenberg, P. & Kohn, W. Inhomogeneous electron gas. Phys. Rev. 136, B864–B871 (1964).
Kohn, W. & Sham, L. J. Self-consistent equations including exchange and correlation effects. Phys. Rev. 140, A1133–A1138 (1965).
Perdew, J. P., Burke, K. & Ernzerhof, M. Generalized gradient approximation made simple. Phys. Rev. Lett. 77, 3865–3868 (1996).
Kresse, G. & Furthmüller, J. Efficiency of ab-initio total energy calculations for metals and semiconductors using a plane-wave basis set. Comput. Mater. Sci. 6, 15–50 (1996).
Kresse, G. & Furthmüller, J. Efficient iterative schemes for ab initio total-energy calculations using a plane-wave basis set. Phys. Rev. B 54, 11169–11186 (1996).
Grimme, S. et al. A consistent and accurate ab initio parametrization of density functional dispersion correction (DFT-D) for the 94 elements H-Pu. J. Chem. Phys. 132, 154104 (2010).
Setyawan, W. & Curtarolo, S. High-throughput electronic band structure calculations: challenges and tools. Comput. Mater. Sci. 49, 299–312 (2010).
Xu, Y. & Shelton, W. O2 reduction by lithium on Au(111) and Pt(111). J. Chem. Phys. 133, 024703 (2010).
Psofogiannakis, G., St-Amant, A. & Ternan, M. Methane oxidation mechanism on Pt(111): a cluster model DFT study. J. Phys. Chem. B 110, 24593–24605 (2006).
Shen, C. et al. Synergistic effect of the metal-support interaction and interfacial oxygen vacancy for CO2 hydrogenation to methanol over Ni/In2O3 catalyst: a theoretical study. J. Energy Chem. 65, 623–629 (2022).
Wang, V. et al. VASPKIT: a user-friendly interface facilitating high-throughput computing and analysis using VASP code. Comput. Phys. Commun. 267, 108033 (2021).
Guo, S. et al. Boosting photocatalytic hydrogen production from water by photothermally induced biphase systems. Nat. Commun. 12, 1343 (2021).
Zhu, X. et al. Boosting solar photothermal synergy for efficient overall water splitting based on Mg, Al codoped and Rh/Cr2O3/CoOOH coloaded SrTiO3. Chem. Eng. J. 479, 147636 (2024).
Xu, C. et al. Photothermal coupling factor achieving CO2 reduction based on palladium-nanoparticle-loaded TiO2. ACS Catal. 8, 6582–6593 (2018).
Xu, C. et al. Guiding effective nanostructure design for photo-thermochemical CO2 conversion: from DFT calculations to experimental verifications. Nano Energy 41, 308–319 (2017).
Dou, M. et al. Mechanistic insight into the modification of the surface stability of In2O3 catalyst through metal oxide doping. Catal. Lett. 148, 3723–3731 (2018).
Zhang, M., Dou, M. & Yu, Y. Theoretical study of the promotional effect of ZrO2 on In2O3 catalyzed methanol synthesis from CO2 hydrogenation. Appl. Surf. Sci. 433, 780–789 (2018).
Jiang, X. et al. A combined experimental and DFT study of H2O effect on In2O3/ZrO2 catalyst for CO2 hydrogenation to methanol. J. Catal. 383, 283–296 (2020).
Li, M.-R., Lu, Z. & Wang, G.-C. The effect of potassium on steam-methane reforming on the Ni4/Al2O3 surface: a DFT study. Catal. Sci. Technol. 7, 3613–3625 (2017).
Sihag, A. et al. DFT insights into comparative hydrogen adsorption and hydrogen spillover mechanisms of Pt4/Graphene and Pt4/Anatase (101) surfaces. J. Phys. Chem. C 123, 25618–25627 (2019).
Li, Y. et al. Photo-assisted CO/CO2 methanation over Ni/TiO2 catalyst: experiment and density functional theory calculation. ChemCatChem 14, e202200182 (2022).
Acknowledgements
This work was financially supported by the National Natural Science Foundation of China (52341602), Zhejiang Provincial Natural Science Foundation of China under Grant No. LDT23E06014E06, Zhejiang Provincial Natural Science Foundation of China under Grant No. LQ24E060001, National Key Research and Development Project (2023YFC3710800), Fundamental Research Funds for the Central Universities (2022ZFJH004), and funded by the China Scholarship Council.
Author information
Authors and Affiliations
Contributions
L.Z.: Conceptualization; methodology; validation; formal analysis; investigation; writing original draft; visualization. C.-Q. L.: Methodology; investigation. Y.L.: Formal analysis; investigation. C.-Y. X.: Revision; feedback; editing. Y.-W. Z.: Resources; project administration; funding acquisition. All authors have given approval to the final version of the manuscript.
Corresponding authors
Ethics declarations
Competing interests
The authors declare no competing interests.
Additional information
Publisher’s note Springer Nature remains neutral with regard to jurisdictional claims in published maps and institutional affiliations.
Supplementary information
Rights and permissions
Open Access This article is licensed under a Creative Commons Attribution 4.0 International License, which permits use, sharing, adaptation, distribution and reproduction in any medium or format, as long as you give appropriate credit to the original author(s) and the source, provide a link to the Creative Commons licence, and indicate if changes were made. The images or other third party material in this article are included in the article’s Creative Commons licence, unless indicated otherwise in a credit line to the material. If material is not included in the article’s Creative Commons licence and your intended use is not permitted by statutory regulation or exceeds the permitted use, you will need to obtain permission directly from the copyright holder. To view a copy of this licence, visit http://creativecommons.org/licenses/by/4.0/.
About this article
Cite this article
Zhang, L., Li, C., Liu, Y. et al. Unraveling active sites regulation and temperature-dependent thermodynamic mechanism in photothermocatalytic CO2 conversion with H2O. npj Comput Mater 10, 132 (2024). https://doi.org/10.1038/s41524-024-01325-3
Received:
Accepted:
Published:
Version of record:
DOI: https://doi.org/10.1038/s41524-024-01325-3








