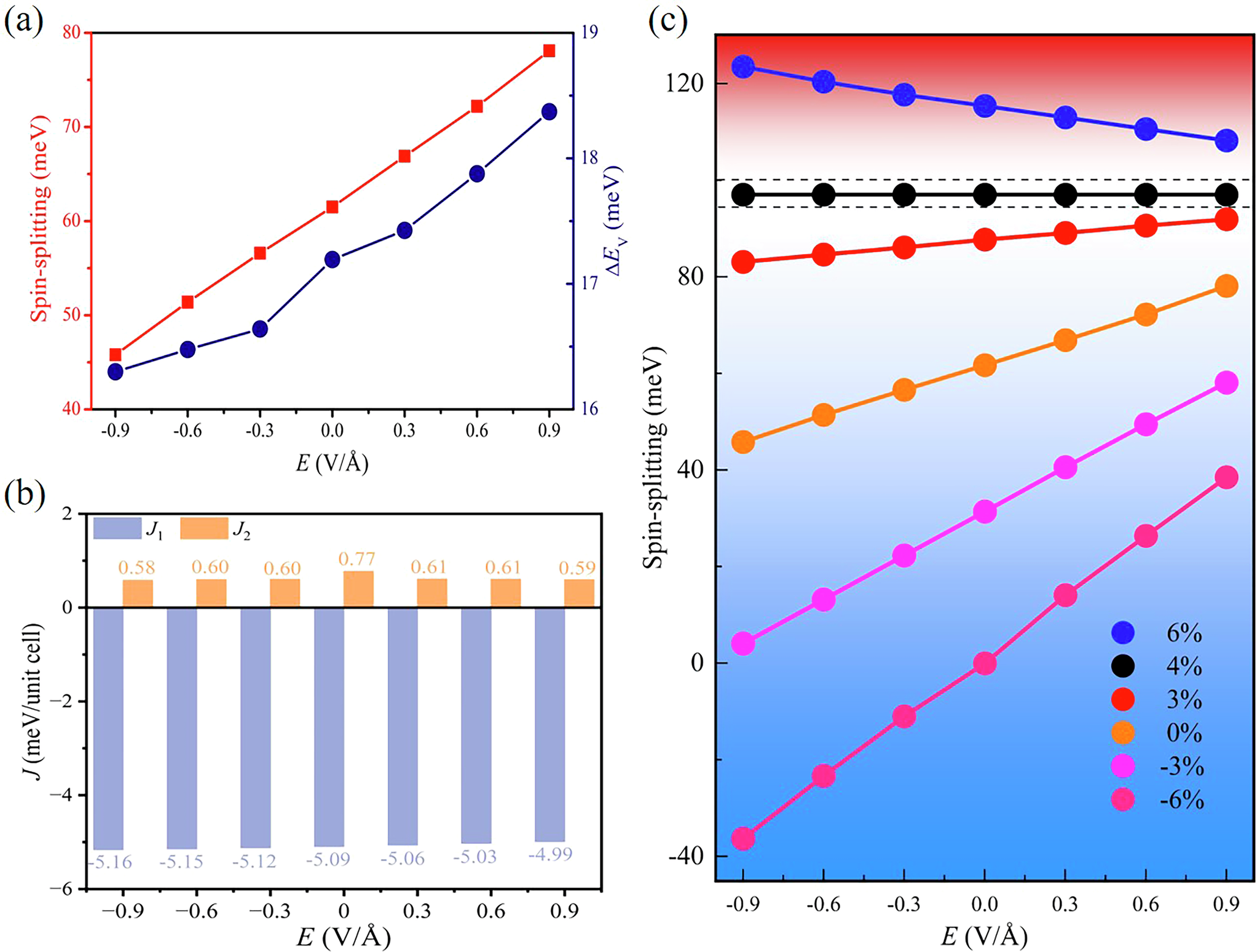
Fig. 5: Physical properties under electric fields.

a The spin-splitting, valley polarization, and (b) exchange coupling constants J1 and J2 of the Mn2ClSeH monolayer against the external electric field. c The synergistic effect of both the biaxial strain and electric field on the spin-splitting of the Mn2ClSeH monolayer.