Abstract
Two-dimensional (2D) antiferromagnets have garnered considerable research interest due to their robustness against external magnetic perturbation, ultrafast dynamics, and magneto-transport effects. However, the lack of spin-splitting in antiferromagnetic (AFM) materials severely limits their potential in spintronics applications. Inspired by inherent out-of-plane potential gradient of Janus structure, we predict three stable AFM Janus Mn2ClXH (X = O, S, and Se) monolayers with spontaneous spin-splitting based on first-principles calculations. Notably, Janus Mn2ClSeH exhibits a high Néel temperature of up to 510 K, robust perpendicular magnetocrystalline anisotropy, outstanding out-of-plane piezoelectricity of 0.454 × 10−10 C/m, and sizeable spontaneous valley polarization of 17.2 meV. Moreover, the spin-splitting can be significantly enhanced through appropriate synergistic regulation of biaxial strain and external electric field. These results demonstrate that the Janus Mn2ClSeH monolayer is a very potential candidate for designing intriguing antiferromagnet-based devices with fantastic piezoelectric and valleytronic characteristics.
Similar content being viewed by others
Introduction
Spintronics, utilizing spin degree of freedom of electrons for information coding, has attracted great interest1,2,3. Spin-polarized current is one of the the prerequisites of spintronics and thus conventional spintronic devices are usually constructed by ferromagnetic (FM) materials with spontaneous spin-splitting. It is known that the spin properties of the FM materials are easily subject to the stray magnetic field, which will affect the stability of data storage in FM-based spintronic devices4. In contrast, compensated two-dimensional (2D) antiferromagnetic (AFM) materials usually possess robustness against external magnetic perturbation, absence of stray field production, high storage density, ultrafast dynamics properties, lower-energy consumption, and abundance in nature4,5,6. However, achieving spin-polarized currents in collinear AFM materials has been challenging due to the missing spin-splitting in the band structures.
Recently, altermagnetism has been proposed to realize spin-splitting in a collinear symmetry-compensated AFM systems7, which have been actively explored for spintronic device applications8,9,10,11,12. Altermagnets consist of a variety of materials with specific space groups or spin point group7, however, only several 2D monolayer altermagnets have been predicted so far10,11,12. In addition, numerous ways have been suggested to induce spin-splitting in conventional AFM materials13,14,15,16,17,18,19,20,21,22,23,24,25. Among them, the manipulation of electronic structures by constructing Janus materials has garnered increasing interest21,22,23,24,25. 2D Janus materials exhibit broken out-of-plane symmetry and intact in-plane symmetry, enabling significant out-of-plane piezoelectricity while retaining the original in-plane properties. A conventional method for constructing 2D Janus materials is to replace anions with the same group elements, which can induce many novel chemical and physical properties. For example, strain-free Janus WSSe monolayer and anisotropic Janus SiP2 monolayer have been identified as promising hydrogen evolution reaction catalyst and photocatalyst for water splitting20,21, respectively. Janus VSSe, Cr2I3Cl3, and FeClBr monolayers exhibited enhanced Curie temperature compared with their counterparts22,23,24. A very large Dzyaloshinskii-Moriya interactions and giant enhancements of magnetic anisotropy and spin wave gap could be found in MnPS1.5Se1.5 and NiPS1.5Se1.5 monolayers25. Recently, AFM Mn2Cl2 monolayer, which originally required an external electric field to induce spin polarization18, has been reported to achieve spontaneous spin-splitting through Janus structural engineering19. However, the low magnetocrystalline anisotropy energy and small spin-splitting value of the obtained Mn2ClF limit its practical application19.
In this work, three stable Janus AFM Mn2ClXH (X = O, S, and Se) monolayers have been proposed to exhibit robust spin-splitting based on first-principles calculations. Wherein, Mn2ClSeH monolayer stands out for its high Néel temperature, strong perpendicular magnetocrystalline anisotropy, and large out-of-plane piezoelectricity. Moreover, the spontaneous spin-splitting can be effectively modulated by in-plane biaxial strain and external electric field. Due to the broken time-reversal and spatial-inversion joint symmetry, the Mn2ClSeH monolayer also possesses a sizable spontaneous valley polarization. Our findings provide a platform to integrate spin, piezoelectricity, and valley in a single material, which is useful for multi-functional device applications.
Results and discussion
Structure and stability
Mn2Cl2 monolayer consists of two hexagonal Mn layers sandwiched by two hexagonal halogen layers in the stacking order of Cl-Mn-Mn-Cl18. Substituting Cl at the bottom layer of Mn2Cl2 with hydrogenated chalcogen (X) creates the Janus Mn2ClXH monolayer, as depicted in Fig. 1a. Note that surface hydrogenation is used to neutralize the doping of charge caused by chalcogen anion substitutions. Compared to the Mn2Cl2 monolayer (space group number 164, P-3m1), Janus Mn2ClXH monolayer (space group number 156, P3m1) exhibits lower symmetry due to broken out-of-plane mirror symmetry although retaining hexagonal structure and in-plane C3V symmetry. The calculated structural parameters including lattice constants, bond lengths, bond angles, and vertical distance between two anionic layers for both Mn2Cl2 and Mn2ClXH (X = O, S, Se, and Te) monolayers are listed in Supplementary Table 1. The length of the Mn1-Cl bond is different from those of Mn2-X bonds, and the bond angles of ∠Mn1-Cl-Mn1 and ∠Mn2-X-Mn2 are also different. The anisotropic bonding shears the structure and reduces its symmetry. Figure 1b and Supplementary Fig. 1 show the calculated phonon spectra for Mn2ClXH monolayers and no obvious imaginary phonon mode is observed except for Mn2ClTeH monolayer, indicating their dynamic stability. Hereafter, the Mn2ClTeH monolayer will not be discussed in this work. Their thermal stability was verified by ab initio molecular dynamics with only slight energy fluctuations during the simulations (Supplementary Fig. 2). The elastic constants (Supplementary Table 2) satisfied the Born criteria26: C11 > 0 and C11 − C12 > 0, which confirms the mechanical stability of Mn2ClXH monolayers. Considering the intrinsic stability of Janus Mn2ClXH monolayers verified above together with the remarkable progress in experimental preparation and synthesis of Janus materials27,28,29,30,31,32,33, Mn2ClXH monolayers are expected to be synthesized experimentally (e.g., similar to the synthesis of AFM FeOCl monolayer together with half-hydrogenation).
a Schematic diagram of the element substitution from Mn2Cl2 monolayer to Janus Mn2ClXH monolayer. b Phonon dispersion of Mn2ClSeH monolayer. c Simulated Néel temperatures of Mn2ClXH (X = O, S, and Se) monolayers.
Electronic and magnetic properties
The Mn2ClXH primitive cell contains two Mn atoms with different atomic local environments. Specifically, the Mn1 atom is sandwiched by Cl and Mn2 layers while Mn2 atom is sandwiched by X and Mn1 layers, and then electric polarizations occur. Supplementary Fig. 3 presents plane-average electrostatic potential along z-direction, where the potential differences ΔΦ can respectively be determined as 4.88, 2.22, and 1.67 eV for Mn2ClOH, Mn2ClSH, and Mn2ClSeH, which corresponds to the reduced dipole moments (1.16, 0.84, and 0.71 Debye)34. Moreover, it implies that an out-of-plane built-in electric field is established for these Janus structures. To study whether the electric polarization alters the magnetic ground state, the total energies of four kinds of magnetic configurations of Mn2ClXH supercell (Supplementary Fig. 4) are calculated and the results are summarized in Supplementary Table 3. It can be concluded that the A-type AFM (A-AFM) configuration is the most stable, confirming the intrinsic antiferromagnetism akin to the Mn2Cl2 monolayer. To identify the easy magnetization axis of these Janus structures, magnetocrystalline anisotropy energy (MAE), defined as the energy difference of the magnetization orientation along the (100) and (001) cases within spin-orbit coupling (SOC), is calculated. The calculated MAE values are −22, −18, 31, and 240 μeV/unit cell, indicating that the magnetic easy axes of Mn2ClSH, and Mn2ClSeH monolayer are out of plane while those of Mn2Cl2 and Mn2ClOH are in plane noted that our calculated MAE of Mn2Cl2 is close to the reported value18. It is obvious that the MAE value of Mn2ClSeH monolayer is significantly larger than those of Mn2ClF monolayer and many typical magnetic metals (such as Fe, Co, and Ni)19,35, and is sufficient to stabilize AFM order against the thermal fluctuation.
Néel temperature TN is also an important physical quantity to evaluate whether the magnetism of the AFM materials can be stable in a real environment. We consider the Heisenberg spin model to determine the exchange interactions between the Mn ions. Based on the calculated magnetic moments of Mn atoms as shown in Supplementary Table 3, the valence state of both Mn1 and Mn2 ions should be Mn2+. Thus, 3 d orbital states of Mn2+ would be nearly half-filled and S = 5/2. Through mapping the above-mentioned total energies of FM, A-AFM, and stripy-type AFM (S-AFM) configurations, the nearest and next-nearest neighbor exchange coupling constants J1 and J2 are calculated and listed in Supplementary Table 3. J1 is robustly AFM with a negative value due to the dominant nearest exchange interaction between Mn1 and Mn2 atoms. Note that the bond angles of ∠Mn1-Cl-Mn1 and ∠Mn2-X-Mn2 are close to 90° as illustrated in Supplementary Table 1, determining a FM super-exchange interaction J2 according to the Goodenough-Kanamori-Anderson theory36,37,38. However, compared with the nearest exchange interaction, the superexchange interaction plays a less prominent role due to the large electron excitation energy in a half-filled-d-shell configuration. Then, Monte Carlo simulations were performed to estimate the Néel temperatures of Mn2ClXH monolayers. As illustrated in Fig. 1c, the TN can be determined by extracting the peak of the specific heat capacity to be approximately 440, 660, and 510 K for Mn2ClOH, Mn2ClSH, and Mn2ClSeH monolayers, respectively. Compared with the calculated 590 K of Mn2Cl2, enhancement of the TN by Janus structural engineering only occurs in Mn2ClSH monolayer. As shown in Supplementary Table 4, our predicted TN values are significantly higher than those of previously reported AFM semiconductors such as FePS3, FePSe3, NiPS3, MnPSe3, MnPS3, and Mn2P2S3Se339,40,41,42,43,44 while smaller than those of Mn2C, Cr2BN, Fe2CF2, Fe2CCl2, and Fe2CFCl45,46,47. The high TN suggests that Janus AFM Mn2ClXH monolayers could be promising spintronics materials working above room temperature.
The band structures without SOC of Mn2ClSeH, Mn2ClSH, and Mn2ClOH monolayers are depicted in Fig. 2a–c by the GGA + U scheme where on-site Coulomb energy U = 4 eV is applied to consider the strongly correlated correction through comparing with hybrid functional HSE0648 results (Supplementary Fig. 5). It can be found that the valence band maximum (VBM) and conduction band minimum (CBM) of Mn2ClSeH and Mn2ClSH monolayers are located at K± and M points, respectively, similar to Mn2Cl2 monolayer. Note that the VBM of both monolayers are dominantly composed of the spin-up subbands, while the CBM of Mn2ClSH and Mn2ClSeH monolayers consist of the spin-down and spin-up subbands, respectively. The atom-projected density of states (DOS) shows that the CBM and VBM are mainly contributed by Mn1 and Mn2 atoms (Supplementary Fig. 6a). Moreover, Mn2ClXH (X = S and Se) monolayers show decreasing indirect band gaps of 1.20 and 0.86 eV in comparison with the value 1.38 eV of Mn2Cl2 monolayer18, owing to the increasing metallic nature of Cl, S, and Se atoms. For Mn2ClOH monolayer, the VBM is still located at K± points while its CBM is located at Γ point rather than M point, resulting in an indirect band gap of only 0.43 eV, much smaller than the band gaps of Mn2ClSeH, Mn2ClSH, and Mn2Cl2 monolayer. Notably, different from conventional AFM materials, the band structures in Fig. 2a–c exhibit spontaneous spin-splitting ΔEss (defined as ΔEss = Eup-Edown with Eup and Edown being the energies of spin-up and spin-down levels), which are 61.5, 64.8, and 89.2 meV for the VBM at K± point, respectively. The observed nonrelativistic spin-splitting arises from their Janus structure, which simultaneously violates θI and RT symmetry to lift the spin degeneracy where θ, I, R, and T denote time reversal, spatial inversion, spinor reversal, and spatial translation, respectively11.
Energy band structures of Mn2ClSeH, Mn2ClSH, and Mn2ClOH monolayers without SOC (a–c) and with SOC (d–f). In (a–c), the spin-up and spin-down channels are depicted in red and black, respectively. In (d-e), the partially enlarged views are around the valence band edges at K ± points.
The calculated band structures of Mn2ClSeH and Mn2ClSH monolayers show 100% spin polarization in the VBM and the CBM with opposite spin channels (Fig. 2a and b). Namely, Mn2ClSeH and Mn2ClSH monolayers are bipolar magnetic semiconductors with AFM coupling (BMSAFM). Note that the BMS has been proposed as a new class of materials for spintronics, where the spin-polarization direction can be controlled simply by applying a gate voltage. To gain insight into their BMSAFM properties, the partial density of states (PDOS) is discussed. As shown in Supplementary Fig. 5(b, c), the VBM and CBM states of Mn2ClSeH monolayer are mainly derived from mixed \({d}_{{xz}}\), \({d}_{{yz}}\), \({d}_{{xy}}\), and \({d}_{{x}^{2}-{y}^{2}}\) orbitals of Mn1 and Mn2 atoms. The d states of Mn ions reflect the crystal field splitting (ΔEcf) and the exchange splitting (ΔEex) due to the crystal field interactions and the on-site Coulomb interactions, respectively. For instance, the crystal field and exchange splittings of Mn1-d states respectively are 1.90 and 4.19 eV, while they are 1.78 and 6.15 eV for Mn2-d states, respectively. The differences in the crystal and exchange field splittings on Mn1 and Mn2 ions (due to the differences in the chemical environment of these ions) result in the mismatch of d states, which further induces the spin-polarized effect in Mn2ClSeH monolayer.
To get a better estimation of the band gap, the HSE06-calculations have also been performed. As shown in Supplementary Fig. 7, the HSE06 scheme reveals similar electronic band structures to those obtained by the PBE + U computations apart from large band gaps. Concretely, the indirect band gaps of Mn2ClSeH, Mn2ClSH, and Mn2ClOH monolayers increase from the PBE-calculated 0.86, 1.20, and 0.43 eV to 1.51, 1.79, and 1.45 eV, which implies that all three Mn2ClXH monolayers might be applicable for solar cell applications. On the contrary, the spin-splitting values of these three monolayers decrease from the PBE-calculated 61.5, 64.8, and 89.2 meV to 36.8, 48.1, and 88.4 meV for the VBM at K± point.
It is known that electronic correlation may have an essential influence on the electronic structure and magnetic properties in some 2D materials. Taking Mn2ClSeH monolayer as an example, we systemically investigated the effect of different U values on its structural, magnetic, and electronic properties. Supplementary Fig. 8a indicates that the lattice constant increases with increasing U values. Supplementary Fig. 8b and c show that Mn2ClSeH monolayer is always in the A-AFM magnetic ground state and out-of-plane magnetic anisotropy is maintained within the considered U range. Moreover, the spin-splitting for the VBM at K± point monotonically increases while the band gap firstly increases and then decreases with the increase of U values (Supplementary Fig. 8d). As for exchange parameters, J1 decreases monotonically with the increasing U values (Supplementary Fig. 8e), while J2 shows a trend of change similar to the band gap although the inflection point locates at 4 eV (Supplementary Fig. 8f) rather than 2 eV (Supplementary Fig. 8d).
When the SOC is included, the band structures of Mn2ClSeH, Mn2ClSH, and Mn2ClOH monolayers exhibit slightly changed indirect band gap values of 0.84, 1.18, and 0.49 eV as shown in Fig. 2d–f. Moreover, the orbital degeneracy at the Γ point is lifted and the spin-splitting of Mn2ClSeH reaches 260 meV, which is larger than those of Mn2P2S3Se3, Mn2P2S3Te3, and SMnSe while smaller than those of SeMnTe and SMnTe (Supplementary Table 5)41,49,50. Due to the above-mentioned θI symmetry breaking, the intervalley degeneracy is also lifted and the spontaneous valley polarization occurs. In detail, the K+ valley of Mn2ClSeH monolayer shifts 17.2 meV below the K- valley in the VBM, while the K+ valley of Mn2ClSH monolayer shifts 0.5 meV above the K- valley in the VBM. Such a valley polarization of 17.2 meV is comparable to that of AFM Mn2P2S3Se3 monolayer41 and larger than that of AFM Mn2ClF monolayer19, indicating that Mn2ClSeH monolayer is an AFM ferrovalley material with concurrent spontaneous spin and valley polarizations51. Although the Fermi level can be tuned through carriers doping or substrate effect52,53, compared with these systems, Mn2ClSeH monolayer, whose valleys are located around the Fermi level, is more promising for practical applications. It should be mentioned that the obtained spin- and valley-splitting values may be small for robust spintronic or valleytronic applications at room temperature and it is necessary to find effective ways to enhance their spin- and/or valley-splittings.
Piezoelectric properties
The centrosymmetric Mn2Cl2 monolayer lacks piezoelectricity, while the Janus structure does not have an inversion center and thus it is interesting to examine its piezoelectricity. In general, the piezoelectric response can be described by a third-rank piezoelectric stress tensor eijk and strain tensor dijk (i, j, and k denote the x, y, and z Cartesian directions)54. In the 2D limit, the z direction is stress/strain-free and only the in-plane stress/strain is allowed. The relaxed-ion piezoelectric stress tensor eij can be expressed as the sum of the ionic and electric contributions. For a 2D hexagonal system with C3v symmetry, there are only two independent piezoelectric components (e11 and e31). Based on the density functional perturbation theory (DFPT) method, the values of e11 and e31 in Mn2ClXH (X = O, S, and Se) monolayers are determined and listed in Supplementary Table 2. Interestingly, both e11 and e31 of Mn2ClSeH and Mn2ClSH monolayers comprise opposite ionic and electric contributions, and the ionic and electronic parts dominate e11 and e31, respectively. As for the Mn2ClOH monolayer, e11 is also composed of opposite ionic and electric contributions, with the former dominating; while its electronic and ionic contributions have the same signs and almost equal numerical values in e31. As shown in Supplementary Table 6, the values of e31 = 0.454 × 10–10 C/m and d31 = 0.883 pm/V in Mn2ClSeH monolayer represent significantly enhanced out-of-plane piezoelectricity compared to Janus materials like WSSe, WSTe, WSeTe, MoSSe, MoSTe, MoSeTe, Mn2P2S3Se3, NbOClBr, NbOClI, NbOBrI, In2SSe, Te2Se, Mn2ClF, and V2SeTeO monolayers11,19,41,55,56,57 and comparable with CrBr1.5I1.5, Cr2SO, and Cr2SeO monolayers11,58. It should be mentioned that NbOClI monolayer exhibits a sizeable d32 = 0.55 pm/V and an exceedingly large d11 = 35.05 pm/V57, although its d32 is very small. Moreover, Young’s Modulus Y of Mn2ClSeH monolayer is only 26.4 N/m according to the equation of \(Y=\,\left({C}_{11}^{2}-{C}_{12}^{2}\right)/{C}_{11}\)59, which is more flexible than other 2D materials such as graphene (345 N/m), h-BN (271 N/m)60, and MoS2 (130 N/m)61. The large values of e31 and d31 together with small Young’s modulus make Mn2ClSeH monolayer a promising material to be used in flexible piezoelectric devices and increase the compatibility with current microelectronic technologies which consist of vertically stacked functional layers.
Strain-engineered physical properties
Since 2D materials are usually transferred onto the substrate, their intrinsic physical properties would be influenced by the substrate due to the lattice-mismatch-induced strain. The above-mentioned small Young’s modulus also facilitates effective strain shift from the substrate to the deposited Mn2ClXH monolayers. When a biaxial in-plane strain is imposed, only e31 appears and an out-of-plane electric field would be induced, which can be used to tune the spin-splitting. Given the excellent performance of the Mn2ClSeH monolayer mentioned above, we will focus on the effect of biaxial strain on the electronic and magnetic properties of Mn2ClSeH monolayer where biaxial strain ε is defined as ε = (a − a0)/a0 with a and a0 being the lattice constants of strained and unstrained systems, respectively. Supplementary Fig. 9a–e shows the evolution of the band structure as a function of the biaxial strain. It is obvious that Mn2ClSeH monolayer is always indirect semiconductor. As displayed in Supplementary Fig. 9f, the band gap monotonically reduces when the biaxial strain is decreased from 6% to −6%, where a sudden reduction in the band gap at a strain of −6% is because the sharp increase in energy at Γ point causes the VBM to be located at Γ point rather than the original K± points (Supplementary Fig. 9a–e). Moreover, its spin-splitting values almost increase linearly with the increasing biaxial strain as illustrated in Supplementary Fig. 3a. When the strain reaches 6%, the spin-splitting can be increased to 115.4 meV at K± points of the VBM, almost twice the spin-splitting value of pristine monolayer.
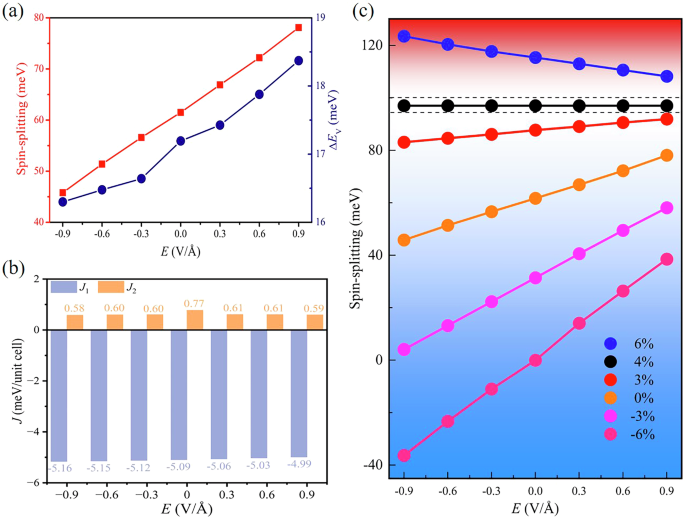
To achieve the spin-splitting in Mn2ClXH monolayers, the A-AFM magnetic configuration as the magnetic ground state is a crucial prerequisite. The energy difference between FM/S-AFM/G-AFM and A-AFM orders of Mn2ClSeH monolayer at different strains are calculated and shown in Supplementary Fig. 10. It demonstrates the robustness of A-AFM magnetic ground state of the Mn2ClSeH monolayer against biaxial strain. Note that the energy difference between FM and A-AFM orders changes very little (smaller than 2.5%) within the considered strain range, which makes J1 almost unaffected by strain as illustrated in Fig. 3b. The energy difference between S-AFM and A-AFM orders is also modulated slightly by the tensile strain (within 12 meV) while the difference is decreased quickly with increasing compressive strain. Due to almost unchanged energy difference between FM and A-AFM orders, J2 exhibits the same response to biaxial strain as the energy difference between S-AFM and A-AFM orders. Using the above-obtained exchange interactions at different strains, the corresponding Néel temperatures are also estimated through Monte Carlo simulations (Fig. 3c), where TN increases with increasing biaxial strain. Even under a strain of −6%, TN of Mn2ClSeH monolayer is 270 K, indicating its robust AFM order under biaxial strain. Since the MAE is an important index for 2D magnetic materials, the MAE as a function of biaxial strain is also determined and plotted in Fig. 3d. It is found that the MAE decreases with the increasing biaxial strain. Even under 6% tensile strain, the MAE still has 205 μeV/unit cell, indicating that the perpendicular magnetocrystalline anisotropy is maintained within the considered strain range. When the SOC is turned on, the valley polarization of the Mn2ClSeH monolayer is found to almost increase linearly with the increasing biaxial strain as illustrated in Fig. 3d.
a Spin-splitting, b exchange coupling constants J1 and J2, c simulated Néel temperature, and d magnetocrystalline anisotropy energy and valley polarization of the Mn2ClSeH monolayer as functions of the biaxial strain.
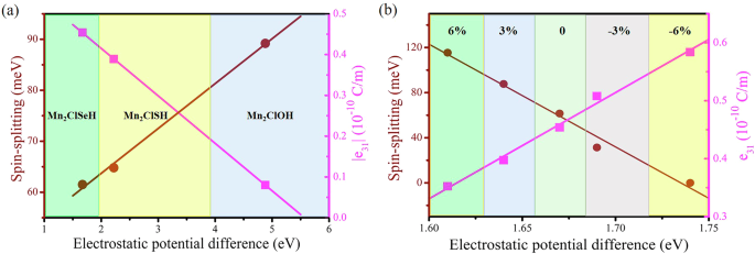
As discussed above, both the nonrelativistic spin-splitting and piezoelectricity of AFM Mn2ClXH monolayers result from their Janus structure. The difference in vacuum energy levels between the upper and lower sides leads to the electrostatic potential difference ΔΦ along the z direction. In Fig. 4a, ΔΦ is closely related to the spin-splitting and out-of-plane piezoelectric coefficient |e31| in Mn2ClXH monolayers. As the atomic number of X element increases, the ΔΦ reduces and then the spin-splitting also decreases while the piezoelectric coefficient |e31| shows the opposite trend of change. Note that biaxial strain can also modulate the electrostatic potential difference of Mn2ClXH monolayers. As shown in Supplementary Fig. 11, the ΔΦ value of Mn2ClSeH monolayer decreases with the increasing biaxial strain. Interestingly, the relationship between the spin-splitting, piezoelectric coefficient, and electrostatic potential difference is completely opposite to the results in Fig. 4a. Namely, the spin-splitting increases while the piezoelectric coefficient e31 reduces with the decreasing ΔΦ value.
a The relationship between the spin-splitting, |e31| and the electrostatic potential difference of Mn2ClXH (X = O, S, and Se) monolayers. b The relationship between the spin-splitting, e31, and the electrostatic potential difference of the Mn2ClSeH monolayer under different biaxial strain.
Electric field-engineered physical properties
Since the intrinsic built-in electric field of Janus structure can produce the spin-splitting in Mn2ClXH monolayers, it is feasible to realize the electrical control of spin-splitting by applying an external electric field perpendicular to Mn2ClXH monolayers. Supplementary Fig. 12 shows the band structures of Mn2ClSeH monolayer at different electric fields. Evidently, the monolayer remains indirect semiconductors and the band gaps slightly reduce with increasing electric field. As shown in Fig. 5a, the spin-splitting increases with the increase of the electric field, akin to its response to biaxial strain. Unlike the significant effect of the electric field on the spin-splitting, the role of the electric field in the energy difference between FM/S-AFM/G-AFM and A-AFM orders of Mn2ClSeH monolayer is much weaker, as depicted in Supplementary Fig. 13. This ensures that the amplitude of J1 variation with the electric field is negligible (smaller than 2.0% as shown in Fig. 5b), which is comparable with its responsiveness to the biaxial strain as shown in Fig. 3b. On the contrary, the responsiveness of J2 to the electric field is significantly lower than its responsiveness to the biaxial strain. Thus, it can be concluded that the effect of the electric field on the Néel temperature of Mn2ClSeH monolayer is negligible. A similar case also occurs for the valley polarization. When the SOC is considered, the valley polarization of the Mn2ClSeH monolayer is found to increase slightly as the electric field increases from −0.9 to 0.9 V/Å where the changing amplitude does not exceed 1% (Fig. 5a).
a The spin-splitting, valley polarization, and (b) exchange coupling constants J1 and J2 of the Mn2ClSeH monolayer against the external electric field. c The synergistic effect of both the biaxial strain and electric field on the spin-splitting of the Mn2ClSeH monolayer.
As shown in Figs. 3a and 5a, both biaxial strain and external electric field can regulate the spin-splitting of Mn2ClSeH monolayers. A natural question arises: what kind of synergistic effect will occur when biaxial strain and electric field are employed simultaneously? Figure. 5c shows that the evolution of spin-splitting in Mn2ClSeH monolayer as a function of both biaxial strain and electric field can be divided into three stages. For stage I with biaxial strain ranging from −6% to 3%, the spin-splitting increases linearly with the increasing electric field while the slopes of these curves reduce significantly with the increase of biaxial strain. Namely, the synergistic effect is positive while it is weakening; In stage II, it is interesting that the spin-splitting is irrespective of the electric field when the biaxial strain reaches a critical value of 4%. In this case, the synergistic effect vanishes; As for stage III where the biaxial strain exceeds this critical value, the spin-splitting decreases with the increase of electric field, and thus the synergistic effect has turned negative. These results indicate that the regulation of spin-splitting by the electric field and biaxial strain is not simply a superposition but rather has inflection point.
In summary, by means of first-principles calculations, we predict three stable AFM Janus Mn2ClXH (X = O, S, and Se) monolayers with high thermal, dynamic, and mechanical stabilities. Surprisingly, the unique Janus structure induces spontaneous spin-splitting and obvious out-of-plane piezoelectric responses, and the out-of-plane piezoelectric coefficient of Mn2ClSeH monolayer is high up to 0.454 × 10−10 C/m. Because of the coexistent broken space- and time-inversion symmetries, the spontaneous valley polarization with a large valley-splitting energy of 17.2 meV can be identified in the VBM of Mn2ClSeH monolayer. Moreover, the spin-splitting, Néel temperature, and valley polarization can be increased while the perpendicular magnetocrystalline anisotropy reduces with the increasing biaxial strain. However, applying an external electric field only has an obvious effect on the spin-splitting. Furthermore, when biaxial strain and external electric field are applied simultaneously, their synergistic effect on the spin-splitting is closely related to biaxial strain value: when the strain is below 4%, the synergistic effect is positive while it will turn negative as the strain exceeds 4%. Our findings not only enrich the excellent properties of the Mn2ClXH monolayer but also indicate a direction for their application in valleytronics and energy conversion devices.
Methods
Density functional theory calculations
The Vienna ab initio simulation package (VASP) with the projector augmented-wave (PAW) method is used to implement all the spin-polarized first-principles calculations62. Regarding the exchange-correlation function, the generalized gradient approximation in the Perdew-Burke-Ernzerhof (PBE-GGA) was adopted63. To account for the electron correlation of Mn-3d orbitals, a Hubbard correction of U = 4.0 eV is employed. The first Brillouin zone is sampled using a 21 × 21 × 1 k-point grid. For the optimized calculations, the convergence criteria of the total energy and force are 10−6 eV and 10−3 eV/Å with the cutoff energy of 500 eV. To consider the weak van der Waals interactions in the layered structure, we have used the DFT-D3 correction scheme developed by Grimme64. A vacuum of 15 Å is used to avoid adjacent interactions. The phonon spectrum is obtained by using a 4 × 4 × 1 supercell in the PHONOPY code65. The ab initio molecular dynamics simulations were carried out using 5 × 5 × 1 supercell at 300 K for 6 ps with a time step of 1 fs. The elastic constants and piezoelectric coefficients are calculated by the finite difference method and density functional perturbation theory method66.
To determine the U value
We determined the U value in this workflow: 1) Fully optimize the structure using PBE; 2) Do self-consistent calculations using HSE06 functional, and get the atomic magnetic moments MHSE of Mn atoms; 3) Do self-consistent calculations using the PBE + U method with different U values to get the atomic magnetic moment function MU(U) of Mn atoms; 4) Let MU(U) = MHSE, and get the U value. From these calculations, we determined the U value as U ≈ 4.0 eV as shown in Supplementary Fig. 5.
Heisenberg spin model and Monte Carlo simulations
To investigate the stability of magnetic behavior, we analyze the magnetic exchange constant and perform Monte Carlo (MC) simulations to estimate the Néel temperature. The nearest and next-nearest neighbor exchange interactions (J1 and J2) can be extracted by fitting the total energies from density-functional theory (DFT) calculations for ferromagnetic (FM) and two kinds of antiferromagnetic (AFM) state to the spin Hamiltonian:
where Si and Sj are the spins antiparallel to the z direction.
Based on this Hamiltonian, the total energies for FM, A-type AFM (A-AFM), and stripy-type AFM (S-AFM) ordering of Mn2ClXH monolayer can be expressed as:
where E0 is the total energy of systems without magnetic coupling. As a result, J1 and J2 can be determined as:
Through using the DFT-derived magnetic exchange parameters J1 and J2, the Néel temperature TN can be estimated by MC simulation using a 150 × 150 superlattice with periodic boundary conditions. For each temperature studied, the MC simulation involves 106 MC steps per site to attain thermal equilibrium. The TN can be accurately extracted from the peak of thermodynamic-specific heat.
Data availability
The authors declare that the data supporting the findings of this study are available within the article and its supplementary information files or from the corresponding authors on reasonable request.
References
Žutić, I. Z., Fabian, J. & Das Sarma, S. Spintronics: fundamentals and applications. Rev. Mod. Phys. 76, 323–410 (2004).
Awschalom, D. D. & Flatté, M. E. Challenges for semiconductor spintronics. Nat. Phys. 3, 153–159 (2007).
Fert, A. Nobel lecture: origin, development, and future of spintronics. Rev. Mod. Phys. 80, 1517–1530 (2008).
Baltz, V. et al. Antiferromagnetic spintronics. Rev. Mod. Phys. 90, 015005 (2018).
Železný, J., Wadley, P., Olejník, K., Hoffmann, A. & Ohno, H. Spin transport and spin torque in antiferromagnetic devices. Nat. Phys. 14, 220–228 (2018).
Jungwirth, T. et al. The multiple directions of antiferromagnetic spintronics. Nat. Phys. 14, 200–203 (2018).
Šmejkal, L., Sinova, J. & Jungwirth, T. Emerging research landscape of altermagnetism. Phys. Rev. X 12, 040501 (2022).
Ma, H.-Y. et al. Multifunctional antiferromagnetic materials with giant piezomagnetism and noncollinear spin current. Nat. Commun. 12, 2846 (2021).
Peng, R. et al. All-electrical layer-spintronics in altermagnetic bilayer. arXiv:2408.12504 (2024).
Guo, S. D., Guo, X. S., Wang, K. & Ang, Y. S. Piezoelectric altermagnetism and spin-valley polarization in Janus monolayer Cr2SO. Appl. Phys. Lett. 123, 082401 (2023).
Zhu, Y. et al. Multipiezo effect in altermagnetic V2SeTeO monolayer. Nano Lett. 24, 472–478 (2024).
Wu, Y. Z. et al. Valley-related multipiezo effect and noncollinear spin current in an altermagnet Fe2Se2O monolayer. Nano Lett. 24, 10534–10539 (2024).
Akai, H. & Ogura, M. Half-metallic diluted antiferromagnetic semiconductors. Phys. Rev. Lett. 97, 026401 (2006).
Nie, Y. M. & Hu, X. Possible half metallic antiferromagnet in a hole-doped perovskite cuprate predicted by first-principles calculations. Phys. Rev. Lett. 100, 117203 (2008).
Gao, G. Y. & Yao, K.-L. Antiferromagnetic half-metals, gapless half-metals, and spin gapless semiconductors: The D03-type Heusler alloys. Appl. Phys. Lett. 103, 232409 (2013).
Ghimire, M. P., Wu, L.-H. & Hu, X. Possible half-metallic antiferromagnetism in an iridium double-perovskite material. Phys. Rev. B 93, 134421 (2016).
He, R. et al. Nonrelativistic spin-momentum coupling in antiferromagnetic twisted bilayers. Phys. Rev. Lett. 130, 046401 (2023).
Niu, Y. J., Lv, H. F., Wu, X. J. & Yang, J. L. Electric-field control of spin polarization above room temperature in single-layer A‑type antiferromagnetic semiconductor. J. Phys. Chem. Lett. 14, 4042–4049 (2023).
Guo, S. D. & Ang, Y. S. Spontaneous spin splitting in electric potential difference antiferromagnetism. Phys. Rev. B 108, L180403 (2023).
Er, D. et al. Prediction of enhanced catalytic activity for hydrogen evolution reaction in Janus transition metal dichalcogenides. Nano Lett. 18, 3943–3949 (2018).
Yu, T., Wang, C., Yan, X., Yang, G. & Schwingenschlögl, U. Anisotropic Janus SiP2 monolayer as a photocatalyst for water splitting. J. Phys. Chem. Lett. 12, 2464–2470 (2021).
Zhang, C., Nie, Y., Sanvito, S. & Du, A. First-principles prediction of a room-temperature ferromagnetic Janus VSSe monolayer with piezoelectricity, ferroelasticity, and large valley polarization. Nano Lett. 19, 1366–1370 (2019).
Zhang, F., Mi, W. & Wang, X. Spin-dependent electronic structure and magnetic anisotropy of 2D ferromagnetic Janus Cr2I3X3 (X = Br, Cl) monolayers. Adv. Electron. Mater. 6, 1900778 (2020).
Li, R., Jiang, J., Shi, X., Mi, W. & Bai, H. Two-dimensional Janus FeXY (X, Y = Cl, Br, and I, X ≠ Y) monolayers: half-metallic ferromagnets with tunable magnetic properties under strain. ACS Appl. Mater. Interfaces 13, 38897–38905 (2021).
Ruiz, A. M., Esteras, D. L., Rybakov, A. & Baldoví, J. J. Tailoring spin waves in 2D transition metal phosphorus trichalcogenides via atomic-layer substitution. Dalton Trans. 51, 16816–16823 (2022).
Mouhat, F. & Coudert, F. X. Necessary and sufficient elastic stability conditions in various crystal systems. Phys. Rev. B 90, 224104 (2014).
Lu, A.-Y. et al. Janus monolayers of transition metal dichalcogenides. Nat. Nanotechnol. 12, 744–749 (2017).
Lin, Y.-C. et al. Low energy implantation into transition-metal dichalcogenide monolayers to form Janus structures. ACS Nano 14, 3896–3906 (2020).
Montes-García, V. & Samorì, P. Janus 2D materials via asymmetric molecular functionalization. Chem. Sci. 13, 315–328 (2022).
Hajra, D. et al. Epitaxial synthesis of highly oriented 2D Janus Rashba semiconductor BiTeCl and BiTeBr layers. ACS Nano 14, 15626–15632 (2020).
Yang, S. Y. et al. High-rate cathode CrSSe based on anion reactions for lithium-ion batteries. J. Mater. Chem. A 8, 25739–25745 (2020).
Moro, F. et al. Revealing 2D magnetism in a bulk CrSBr single crystal by electron spin resonance. Adv. Funct. Mater. 32, 2207044 (2022).
Zeng, Y. et al. 2D FeOCl: a highly in-plane anisotropic antiferromagnetic semiconductor synthesized via temperature-oscillation chemical vapor transport. Adv. Mater. 34, 2108847 (2022).
Ghobadi, N., Rudi, S. G. & Soleimani-Amiri, S. Electronic, spintronic, and piezoelectric properties of new Janus ZnAXY (A = Si, Ge, Sn, and X, Y = S, Se, Te) monolayers. Phys. Rev. B 107, 075443 (2023).
Halilov, S. V., Perlov, A. Y., Oppeneer, P. M., Yaresko, A. N. & Antonov, V. N. Magnetocrystalline anisotropy energy in cubic Fe, Co, and Ni: Applicability of local-spin-density theory reexamined. Phys. Rev. B 57, 9557–9560 (1998).
Goodenough, J. B. Theory of the role of covalence in the perovskite-type manganites [La, M(II)]MnO3. Phys. Rev. 100, 564–573 (1955).
Kanamori, J. Crystal distortion in magnetic compounds. J. Appl. Phys. 31, S14–S23 (1960).
Anderson, P. W. New approach to the theory of superexchange interactions. Phys. Rev. 115, 2–13 (1959).
Lee, J.-U. et al. Ising-type magnetic ordering in atomically thin FePS3. Nano Lett. 16, 7433–7438 (2016).
Basnet, R. et al. Understanding and tuning magnetism in layered Ising-type antiferromagnet FePSe3 for potential 2D magnet. Adv. Electron. Mater. 10, 2300738 (2024).
Jiang, P. et al. Mn2P2S3Se3: a two-dimensional Janus room-temperature antiferromagnetic semiconductor with a large out-of-plane piezoelectricity. J. Mater. Chem. C 11, 2703–2711 (2023).
Kim, K. et al. Suppression of magnetic ordering in XXZ-type antiferromagnetic monolayer NiPS3. Nat. Commun. 10, 345 (2019).
Ni, Z. L. et al. Imaging the Néel vector switching in the monolayer antiferromagnet MnPSe3 with strain-controlled Ising order. Nat. Nanotechnol. 16, 782–787 (2021).
Lim, S. Y., Kim, K., Lee, S., Park, J.-G. & Cheong, H. Thickness dependence of antiferromagnetic phase transition in Heisenberg-type MnPS3. Curr. Appl. Phys. 21, 1–5 (2021).
Hu, L., Wu, X. J. & Yang, J. L. Mn2C monolayer: a 2D antiferromagnetic metal with high Néel temperature and large spin-orbit coupling. Nanoscale 8, 12939–12945 (2016).
Yan, X. et al. Semiconducting Cr2BN monolayer with antiferromagnetic order. Phys. Rev. B 108, 174402 (2023).
Wang, P. et al. Electric field-controlled magneto-optical Kerr effect in A‑type antiferromagnetic Fe2CX2 (X = F, Cl) and its Janus monolayer. ACS Appl. Mater. Interfaces 15, 52767–52775 (2023).
Heyd, J., Scuseria, G. E. & Ernzerhof, M. Hybrid functionals based on a screened Coulomb potential. J. Chem. Phys. 118, 8207–8215 (2003).
Xu, Y. S., Liu, H. L., Dai, Y., Huang, B. B. & Wei, W. Spin-valley splitting and spontaneous valley polarization in antiferromagnetic Mn2P2X3Y3 monolayers. Appl. Phys. Lett. 122, 242404 (2023).
Sattar, S., Islam, M. F. & Canali, C. M. Monolayer MnX and Janus XMnY (X, Y = S, Se, Te): a family of two-dimensional antiferromagnetic semiconductors. Phys. Rev. B 106, 085410 (2022).
Tong, W. Y., Gong, S. J., Wan, X. & Duan, C. G. Concepts of ferrovalley material and anomalous valley hall effect. Nat. Commun. 7, 13612 (2016).
Jiang, Y. et al. Fermi-level tuning of epitaxial Sb2Te3 thin films on graphene by regulating intrinsic defects and substrate transfer doping. Phys. Rev. Lett. 108, 066809 (2012).
Warren, R. et al. Controlling energy levels and Fermi level en route to fully tailored energetics in organic semiconductors. Nat. Commun. 10, 5538 (2019).
Wu, W. et al. Piezoelectricity of single-atomic-layer MoS2 for energy conversion and piezotronics. Nature 514, 470–474 (2014).
Dong, L., Lou, J. & Shenoy, V. B. Large in-plane and vertical piezoelectricity in Janus transition metal dichalchogenides. ACS Nano 11, 8242–8248 (2017).
Chen, Y., Liu, J., Yu, J., Guo, Y. & Sun, Q. Symmetry-breaking induced large piezoelectricity in Janus tellurene materials. Phys. Chem. Chem. Phys. 21, 1207–1216 (2019).
Guo, S. D., Guo, X. S., Cai, X. X., Mu, W. Q. & Ren, W. C. Intrinsic piezoelectric ferromagnetism with large out-of-plane piezoelectric response in Janus monolayer CrBr1.5I1.5. J. Appl. Phys. 129, 214301 (2021).
Su, T. et al. 2D Janus niobium oxydihalide NbOXY: Multifunctional piezoelectric semiconductor for electronics, photonics, sensing and sustainable energy applications. Mater. Today Phys. 31, 101001 (2023).
Andrew, R. C., Mapasha, R. E., Ukpong, A. M. & Chetty, N. Mechanical properties of graphene and boronitrene. Phys. Rev. B 85, 125428 (2012).
Kudin, K. N., Scuseria, G. E. & Yakobson, B. I. C2F, BN, and C nanoshell elasticity from ab initio computations. Phys. Rev. B 64, 235406 (2001).
Cooper, R. C. et al. Nonlinear elastic behavior of two-dimensional molybdenum disulfide. Phys. Rev. B 87, 035423 (2013).
Kresse, G. & Furthmüller, J. Efficient iterative schemes for ab initio total-energy calculations using a plane-wave basis set. Phys. Rev. B 54, 11169–11186 (1996).
Perdew, J. P., Burke, K. & Ernzerhof, M. Generalized gradient approximation made simple. Phys. Rev. Lett. 77, 3865–3868 (1996).
Grimme, S., Ehrlich, S. & Goerigk, L. Effect of the damping function in dispersion corrected density functional theory. J. Comput. Chem. 32, 1456–1465 (2011).
Togo, A. & Tanaka, I. First principles phonon calculations in materials science. Script. Mater. 108, 1–5 (2015).
Wu, X., Vanderbilt, D. & Hamann, D. R. Systematic treatment of displacements, strains, and electric fields in density-functional perturbation theory. Phys. Rev. B 72, 035105 (2005).
Acknowledgements
This work was supported by the National Natural Science Foundation of China (11774148) and the Natural Science Foundation of Jiangsu Province (BK20242013). We are grateful to the High-Performance Computing Center of Nanjing University for doing the numerical calculations in this paper on its blade cluster system.
Author information
Authors and Affiliations
Contributions
H.M.L. and L.L.Z. conceived the original ideas and supervised the work. S.T.B. performed DFT calculations and analyzed the data. B.C.L. and S.T.S. performed phonon spectrum and Metropolis Monte Carlo simulations. L.L.W. drew all the images. J.Z. joined the data discussions. H.M.L. and S.T.B. wrote the manuscript. All authors discussed the results.
Corresponding authors
Ethics declarations
Competing interests
The authors declare no competing interests.
Additional information
Publisher’s note Springer Nature remains neutral with regard to jurisdictional claims in published maps and institutional affiliations.
Supplementary information
Rights and permissions
Open Access This article is licensed under a Creative Commons Attribution-NonCommercial-NoDerivatives 4.0 International License, which permits any non-commercial use, sharing, distribution and reproduction in any medium or format, as long as you give appropriate credit to the original author(s) and the source, provide a link to the Creative Commons licence, and indicate if you modified the licensed material. You do not have permission under this licence to share adapted material derived from this article or parts of it. The images or other third party material in this article are included in the article’s Creative Commons licence, unless indicated otherwise in a credit line to the material. If material is not included in the article’s Creative Commons licence and your intended use is not permitted by statutory regulation or exceeds the permitted use, you will need to obtain permission directly from the copyright holder. To view a copy of this licence, visit http://creativecommons.org/licenses/by-nc-nd/4.0/.
About this article
Cite this article
Lu, H., Bao, S., Lei, B. et al. Spin-splitting above room-temperature in Janus Mn2ClSeH antiferromagnetic semiconductor with a large out-of-plane piezoelectricity. npj Comput Mater 11, 71 (2025). https://doi.org/10.1038/s41524-025-01566-w
Received:
Accepted:
Published:
Version of record:
DOI: https://doi.org/10.1038/s41524-025-01566-w
This article is cited by
-
High-throughput exfoliation of multiferroic ternary oxide monolayers with high transition temperature and giant spin splitting
npj Computational Materials (2025)







