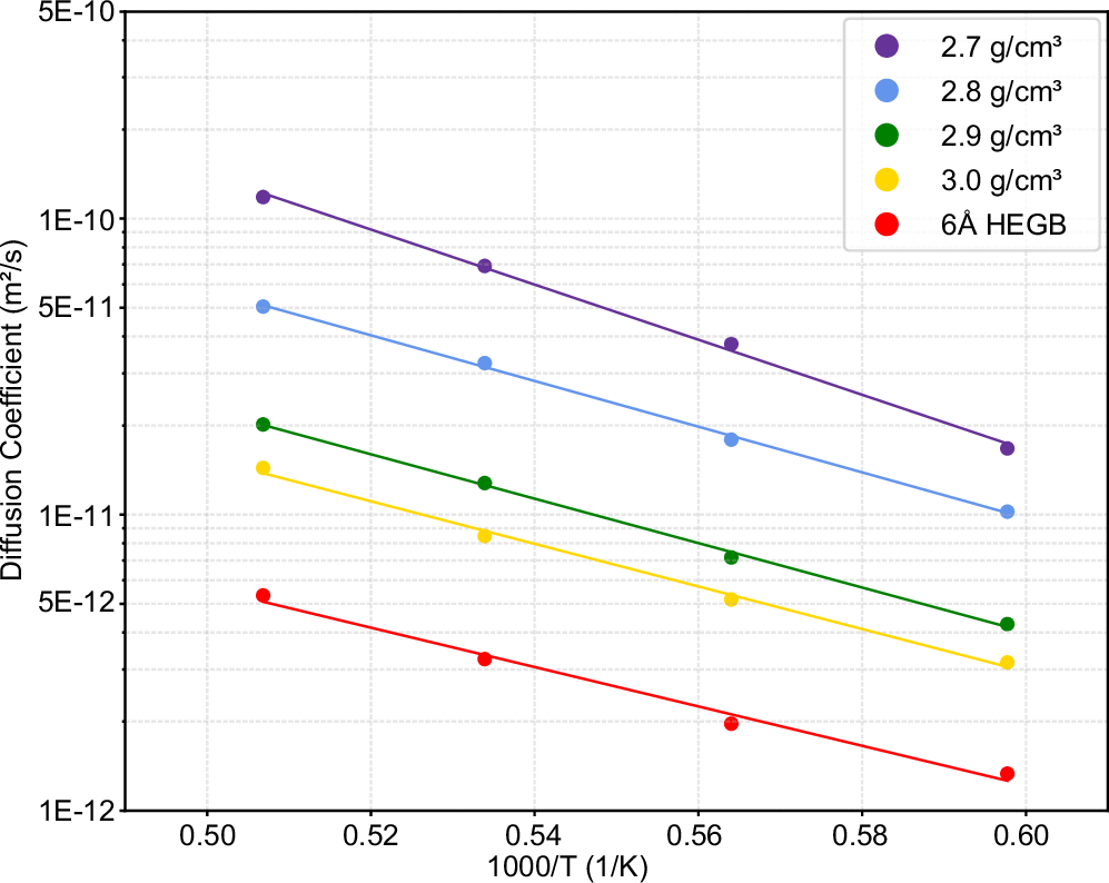
Fig. 4: Cs diffusvities in aSiC and high energy grain boundary (HEGB) models.

Arrhenius plot for the diffusivities of Cs atoms in aSiC with different densities and 6 Å HEGB model.

Arrhenius plot for the diffusivities of Cs atoms in aSiC with different densities and 6 Å HEGB model.