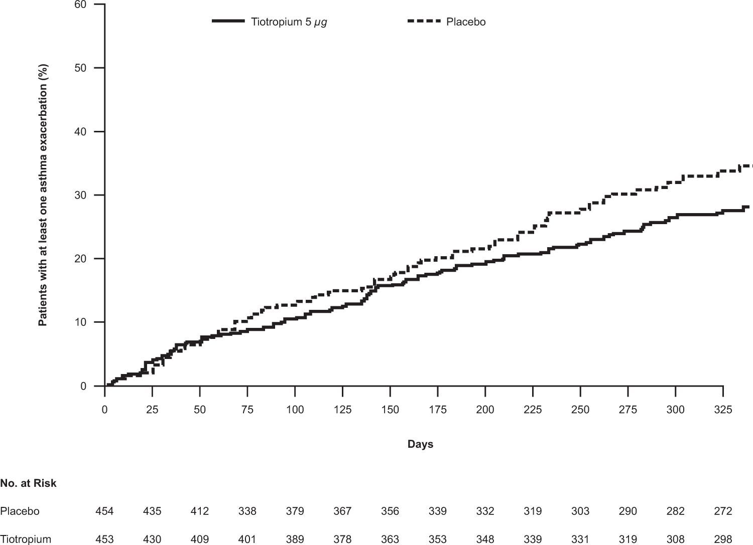
Fig. 2: Time to first asthma exacerbation (PrimoTinA-asthma)19.
From: Asthma exacerbations and worsenings in patients aged 1–75 years with add-on tiotropium treatment

A Kaplan–Meier curve of adults with symptomatic severe asthma receiving either tiotropium 5 µg once daily or placebo who reported at least one asthma exacerbation over the 48-week trial period. From ref. Kerstjens et al.19. Copyright © 2012 Massachusetts Medical Society. Reprinted with permission.