Abstract
This review explores the effect of tiotropium Respimat® add-on therapy on asthma exacerbations and worsenings, adverse events (AEs) related to exacerbations and symptoms and any effects on seasonality across the 10 UniTinA-asthma® clinical trials comprising over 6000 patients. When added on to inhaled corticosteroids ± additional therapies, tiotropium significantly reduced the risk of exacerbations and worsenings in adults with symptomatic severe asthma and provided a non-significant improvement in worsenings in adults with symptomatic moderate and mild asthma, which was significant for patients with moderate asthma receiving tiotropium 2.5 µg once daily vs. placebo. Trials in paediatric patients were not powered to assess exacerbations or worsenings, but when AEs related to asthma exacerbations and symptoms were grouped into a composite endpoint and pooled, tiotropium improved outcomes vs. placebo (rate ratio 0.76; 95% confidence interval 0.63, 0.93). The reduction in exacerbations with tiotropium is apparent across all patients during the observed seasonal peaks of these events.
Similar content being viewed by others
Introduction
Despite established treatment guidelines for asthma, and reports suggesting that it is possible for most patients to achieve control of their illness, many patients remain symptomatic and have poor disease control1,2. Poorly controlled asthma is associated with functional limitations, pulmonary function loss, reduced quality of life and increased risk of exacerbations1. Asthma exacerbations represent an acute change in a patient’s usual symptoms and lung function, and are caused by multiple triggers3. Symptoms include shortness of breath, coughing, wheezing and chest tightness, each of which can be a frightening experience for the patient4,5. The prevention of exacerbations and worsenings, or preventing the future risk of exacerbations and worsenings, is one of the main treatment goals of current asthma guidelines3,6. Powering a trial to assess asthma exacerbations requires a sufficient study duration and adequate patient numbers—in particular, those who are unstable and at risk of experiencing exacerbations. Assuming that asthma worsenings are an indicator of asthma exacerbation risk, then asthma worsenings could be used as an alternative study endpoint which has clinical relevance. This could allow for studies of shorter duration and smaller sample sizes7,8,9.
Defining asthma exacerbations and worsenings
Although definitions have been proposed by groups including the Global Initiative for Asthma (GINA) and the American Thoracic Society/European Respiratory Society (Table 1), there is no clear consensus definition for asthma ‘exacerbations’10,11. It is also noted that there is no consensus definition of worsenings, with literature definitions generally including increased use of short-acting β2-agonists (SABAs), peak expiratory flow (PEF) changes and increased day- and night-time symptoms9. Patients themselves may not understand or be aware of the terms ‘exacerbation’ or ‘worsening’. There has therefore been a suggestion that despite having variable meanings, the use of the terms ‘attack’, ‘episode’ or ‘flare-up’ may facilitate patient and care provider recognition of a deterioration of asthma control and the need to seek additional controller options3,12.
The lack of a single definition for either asthma exacerbations or worsenings makes it difficult to compare outcomes across multiple clinical trials10,13. However, this is possible with the UniTinA-asthma® clinical trial database of ten randomised, double-blind, placebo-controlled, parallel-group trials lasting between 12 weeks and 1 year in duration, which all used the same definitions. This allows us to review the effect of tiotropium Respimat® add-on therapy on episodes of asthma exacerbations and worsenings, as well as adverse events (AEs) related to exacerbations and symptoms, over a large patient population.
Tiotropium Respimat® has been shown to be an efficacious and well-tolerated add-on treatment to inhaled corticosteroid (ICS) therapy with or without additional controllers, with comparable safety and efficacy to long-acting β2-agonists (LABAs)14,15,16,17,18,19,20,21,22. A systematic review and meta-analysis comparing the efficacy and safety of tiotropium with that of LABAs as add-on to ICS in patients with uncontrolled persistent asthma aged 12 years and older reported comparable improvements in clinical outcomes22. Similarly, in paediatric patients aged 4–17 years with asthma, a recent literature review of LABAs, leukotriene receptor antagonists (LTRAs) and tiotropium reported that tiotropium and LABAs have similar efficacy and provide greater improvements in lung function than LTRAs as add-on to ICS. All three add-on therapies had comparable safety profiles23.
Here, we collate and review the published literature on the effect of add-on tiotropium treatment on asthma exacerbations and worsenings in patients aged 1–75 years. We also look at any effect of tiotropium on seasonality of asthma exacerbations and worsenings14,15,16,17,18,19,20,21 (Supplementary Figure 1).
Treatment for asthma exacerbations and worsenings
GINA recommends that controller medication is adjusted in a stepwise approach—stepped up if control is not achieved and stepped down once good asthma control has been achieved for at least 3 months—in order to find the lowest appropriate treatment for the patient that controls both symptoms and exacerbations (Fig. 1)3,24.
GINA treatment recommendations for stepping up or stepping down of asthma controller and reliever therapy for the management of asthma for patients aged (a) ≥12 years, (b) 6–11 years and (c) ≤5 years. © 2020, Global Initiative for Asthma, reproduced with permission. FEV1 forced expiratory volume in 1s, GINA Global Initiative for Asthma, HDM house dust mite, ICS inhaled corticosteroid, Ig immunoglobulin, IL interleukin, LABA long-acting β2-agonist, LTRA leukotriene receptor antagonist, OCS oral corticosteroids, SABA short-acting β2-agonist, SLIT sublingual immunotherapy.
The long-acting muscarinic antagonist tiotropium Respimat® is indicated in the EU as add-on maintenance bronchodilator treatment in patients aged 6 years and older with severe asthma who experienced one or more severe asthma exacerbation in the preceding year25. In the United States, it is indicated for the long-term, once-daily maintenance treatment of asthma in patients aged 6 years and older26. It has been evaluated as add-on to at least ICS therapy in >6000 patients aged 6–75 years with symptomatic asthma, and aged 1–5 years with persistent asthmatic symptoms, in the comprehensive Phase II and III UniTinA-asthma® clinical trial programme. Within the individual trials, it has been shown to be an efficacious and well-tolerated add-on treatment to ICS therapy with or without additional controllers14,15,16,17,18,19,20,21.
Exacerbations as an endpoint in paediatric studies
Paediatric patients are a vulnerable population, with exacerbations being a particular concern. However, powering a placebo-controlled trial to assess asthma exacerbations as a primary endpoint in paediatric patients can present ethical considerations27. If exacerbations are anticipated, not providing the best proven standard of care exposes paediatric patients to unnecessary risk27,28. The trial length required to gather sufficient exacerbations data is also problematic for children, especially for those receiving a placebo. Paediatric patients receiving a placebo may be more likely to withdraw from a trial than those receiving the active treatment due to experiencing exacerbations28. Furthermore, for many patients, the effect of a medication on exacerbations may be a lower priority than its impact on more frequently reported outcomes, such as asthma symptoms or lung function. Subsequently, alternative endpoints may be preferable when assessing the efficacy of asthma treatments in terms of exacerbation risk reduction. Szefler et al.29 previously demonstrated that using AEs related to exacerbations and symptoms as endpoints was aligned to using exacerbations as an endpoint, and that it was possible to detect treatment differences with AE reporting when exacerbation data were not available.
Seasonality of asthma exacerbations and worsenings
Although asthma exacerbations and worsenings may present sporadically, they are often determined by seasons30,31. Peaks may mirror patterns of allergen exposure and prevalence of respiratory viral infections30,31.
As in adults, AEs related to asthma exacerbations and symptoms in paediatric patients also display seasonal patterns. However, these patterns differ from those seen in adults, with paediatric patients more likely to experience exacerbations or worsenings in the spring and autumn months32,33. The autumn peak of exacerbations in children and adolescents is largely attributed to an increased frequency of rhinovirus infections among children returning to school following the summer break34,35.
Studies included within review
Tiotropium Respimat® has been evaluated as add-on to at least ICS therapy in patients aged 6–75 years with symptomatic asthma and 1–5 years with persistent asthmatic symptoms in the comprehensive Phase II and III UniTinA-asthma clinical trial programme that included >6000 patients (Table 2). We collated previously published data from the ten UniTinA-asthma clinical trials, to assess and discuss the effect of tiotropium Respimat® add-on therapy on asthma exacerbations and worsenings, as well as AEs related to exacerbations and symptoms, in patients aged 1–75 years. The clinical trial programme included two replicate trials in adults with symptomatic severe asthma (PrimoTinA-asthma [NCT00772538/NCT00776984])19, two replicate trials in adults with symptomatic moderate asthma (MezzoTinA-asthma [NCT01172808/NCT01172821])20 and one trial in adults with symptomatic mild asthma (GraziaTinA-asthma [NCT01316380])21. In adolescents (aged 12–17 years), there were two trials: one in patients with symptomatic severe (PensieTinA-asthma [NCT01277523])15 and one in patients with symptomatic moderate asthma (RubaTinA-asthma [NCT01257230])14. Similarly, there were two trials in children (aged 6–11 years): one in patients with symptomatic severe (VivaTinA-asthma [NCT01634152])18 and one in patients with symptomatic moderate asthma (CanoTinA-asthma [NCT01634139])17. In children aged 1–5 years, there was one trial in patients with persistent asthmatic symptoms (NinoTinA-asthma [NCT01634113])16.
The two replicate PrimoTinA-asthma trials in adults with symptomatic severe asthma, when pooled by the study investigators, were the only trials powered to assess exacerbations, with a primary predefined efficacy endpoint of time to first asthma exacerbation19. Rates of asthma exacerbations were secondary endpoints in the MezzoTinA-, GraziaTinA-, PensieTinA-, RubaTinA-, VivaTinA- and CanoTinA-asthma trials in adults, adolescents and children aged 6–11 years with symptomatic asthma. As such, the individual trials were not powered to assess asthma exacerbations, given the anticipated and ultimately small proportion of patients who experienced exacerbations14,17,18,36,37,38.
Defining asthma exacerbations and worsenings
Across the five trials in adults with symptomatic asthma and four trials in paediatric patients aged 6–17 years, ‘asthma worsening’ was defined as an episode of progressive increase in ≥1 asthma symptom(s) (as compared with usual day-to-day asthma symptoms), or a decline of ≥30% in morning PEF (PEFa.m.) for ≥2 consecutive days14,17,18,36,37,38. ‘Asthma exacerbation’ was defined as an episode of asthma worsening requiring systemic corticosteroids for ≥3 days (Table 1)14,17,18,36,37,38. The number of patients with asthma worsenings includes all patients who had asthma exacerbations.
AEs related to exacerbations and symptoms were used as an alternative endpoint in the four clinical trials in paediatric patients aged 6–17 years and the one trial in patients aged 1–5 years (NinoTinA-asthma). AEs were recorded among safety assessments in the UniTinA-asthma clinical trials and assigned to specific MedDRA 18.1 preferred terms39,40. These preferred terms have previously been described41. Those related to asthma exacerbations and asthma-related symptoms were grouped into an alternative efficacy endpoint, thus giving an indication of worsening of disease or exacerbations36,37,39,40,42,43,44,45,46,47. Szefler et al.29 previously demonstrated that using AEs related to exacerbations and symptoms as endpoints was aligned to using exacerbations as an endpoint, and that it was possible to detect treatment differences with AE reporting when exacerbation data were not available.
Exacerbations in adults with symptomatic severe asthma
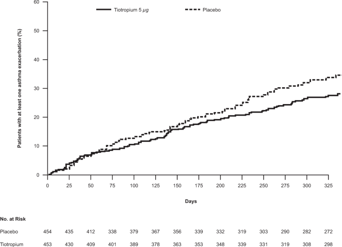
Tiotropium was shown to significantly reduce the risk of experiencing at least one asthma exacerbation in adults with symptomatic severe asthma compared with placebo (hazard ratio [HR] 0.79; 95% confidence interval [CI] 0.62, 1.00; P = 0.0343) (Fig. 2)19,42.
A Kaplan–Meier curve of adults with symptomatic severe asthma receiving either tiotropium 5 µg once daily or placebo who reported at least one asthma exacerbation over the 48-week trial period. From ref. Kerstjens et al.19. Copyright © 2012 Massachusetts Medical Society. Reprinted with permission.
Worsenings in adults with asthma across severities
When pooled, the PrimoTinA-asthma studies were sufficiently powered to assess the secondary endpoint of time to first asthma worsening. Tiotropium 5 µg per day was shown to significantly increase the time to first episode of asthma worsening compared with placebo (HR 0.69; 95% CI 0.58, 0.82; P < 0.001) (Figs 3, 4)19. The time to first episode of asthma worsening was also a secondary endpoint in the two pooled MezzoTinA-asthma trials and the GraziaTinA-asthma trial (Fig. 4). Tiotropium 5 µg showed no significant reduction in the risk of asthma worsenings in patients with symptomatic moderate or mild asthma compared with placebo (HR 0.87; 95% CI 0.69, 1.09 and HR 0.58; 95% CI 0.29, 1.16, respectively). Tiotropium 2.5 µg per day, however, provided a significant reduction in the risk of asthma worsenings in patients with symptomatic moderate asthma in the MezzoTinA-asthma trials (HR 0.66; 95% CI 0.52, 0.84), but no significant reduction in patients with symptomatic mild asthma in the GraziaTinA-asthma trial (HR 0.96; 95% CI 0.53, 1.75) compared with placebo20,36. The MezzoTinA-asthma study authors did not elaborate on potential explanations for why tiotropium 2.5 µg provided a reduction in the risk of asthma worsenings, but not tiotropium 5 µg. It is worth noting that for the MezzoTinA- and GraziaTinA-asthma trials, investigators were unable to calculate the time to first asthma worsening, as <50% of patients in each treatment group had one or more incidence of asthma worsening. Therefore, there is a need for larger trials of longer duration to fully assess the potential effects of tiotropium on asthma worsenings.
A Kaplan–Meier curve of adults with symptomatic severe asthma receiving either tiotropium 5 µg once daily or placebo who reported at least one episode of asthma worsening over the 48-week trial period. From ref. 19. Copyright © 2012 Massachusetts Medical Society. Reprinted with permission.
Comparison of number of adults with asthma receiving either tiotropium (5 or 2.5 µg) or placebo once-daily reporting at least one episode of asthma worsening. The vertical axis represents an equal risk of experiencing an episode of asthma worsening when receiving either placebo or tiotropium. HR values <1 demonstrate that tiotropium provides a reduction in risk compared with placebo. An upper CI of <1 demonstrates that the reduction in risk is statistically significant. CI confidence interval, HR hazard ratio.
In a systematic review and meta-analysis, Sobieraj et al.22 compared the effect of tiotropium add-on therapy in reducing risk of asthma worsenings with that of LABA add-on therapy. The authors pooled data from the adult and adolescent trials in severe asthma (PrimoTinA and PensieTinA-asthma) and moderate and mild asthma (MezzoTinA-, GraziaTinA- and RubaTinA-asthma). When pooled, the data suggest that tiotropium significantly reduces the risk of asthma worsenings when added to ICS alone (MezzoTinA-, GraziaTinA-, and RubaTinA-asthma: risk ratio, 0.81, 95% CI 0.68, 0.97) and when added to ICS and additional controller therapies (PrimoTinA- and PensieTinA-asthma: risk ratio 0.78, 95% CI 0.72, 0.86). The reduction in risk was reported to be comparable to that provided by LABA as add-on to ICS.
Seasonality of asthma exacerbations and worsenings in adults
Data from the placebo group of the two PrimoTinA-asthma trials have provided further evidence of the autumn and winter peaks of asthma worsenings in adults with symptomatic severe asthma. Although the exact cause of the peaks was not specified (e.g. if they were attributable to allergens or viral infections), the PrimoTinA-asthma trials have demonstrated that, when episodes were plotted by month, tiotropium 5 µg add-on treatment reduced the number of episodes of asthma worsenings in adults with symptomatic severe asthma compared with placebo across all seasons, but especially during the autumn peak (Fig. 5)48. Patients were recruited and commenced the 48-week treatment period across all months of the year, so this observation was not attributable to duration of treatment19.
Number of adult patients with symptomatic severe asthma reporting at least one episode of asthma worsening receiving either tiotropium 5 µg once daily or placebo plotted by month. Data from the Southern Hemisphere were shifted by 6 months (July = Month 1, January = Month 7) to align the seasonal time periods based on meteorological definitions. Patients were recruited and commenced the 48-week treatment period across all months of the year. From ref. 48. Copyright © 2020. Reprinted with permission.
Worsenings in paediatric patients aged 6–17 years
Tiotropium 5 µg per day generally reduced the risk of asthma worsening in paediatric patients aged 6–17 years with symptomatic moderate or mild asthma (HRs 0.60–0.82), although changes were not statistically significant (Fig. 6a)29. Tiotropium 2.5 µg per day also provided numerical reductions in the risk of asthma worsenings in patients aged 6–17 years in the PensieTinA- and CanoTinA-asthma trials, and statistically significant improvements in the VivaTinA-asthma trial29. As with the trials in adults with symptomatic moderate and mild asthma, <50% of patients in each treatment group had one or more incidence of asthma worsening29, therefore suggesting the need for larger trials of longer durations. These results are in line with those reported by Vogelberg et al.23 in a recent literature review of three add-on therapies including tiotropium, where the authors reported significant variability in the design of LABA and LTRA studies in paediatric patients aged 4–17 years, and noted no difference in the risk of exacerbations requiring oral corticosteroids (OCS) between LABAs and LTRA plus ICS compared with ICS alone. The authors reported that tiotropium provided improvements in time to first exacerbation requiring OCS when added to ICS vs. placebo.
Comparison of number of patients aged 1–17 years with asthma or persistent asthmatic symptoms receiving either tiotropium (5 or 2.5µg) or placebo once daily reporting (a) asthma worsenings or (b) AEs related to asthma exacerbations or symptoms. The vertical axis represents an equal risk of experiencing an AE related to asthma exacerbations or symptoms when receiving either placebo or tiotropium. HR/RR values <1 demonstrate that tiotropium provides a reduction in risk compared with placebo. An upper CI of <1 demonstrates that the reduction in risk is statistically significant. AE adverse event, CI confidence interval, HR hazard ratio, RR rate ratio. Figure b is from ref. 29. Copyright © 2018. Reprinted with permission.
AEs related to paediatric asthma exacerbations and symptoms
Using a composite endpoint in the five UniTinA-asthma clinical trials in paediatric patients aged 1–17 years, which has been demonstrated to be aligned to using exacerbations as an endpoint29, there was a reduction in the number of paediatric patients reporting AEs related to asthma exacerbations and symptoms following treatment with tiotropium 5 µg compared with placebo. This reduction was significant when data were pooled (rate ratio 0.76; 95% CI 0.63, 0.93) (Fig. 6b)29. Although pooling of the data allows for a greater number of patients to be analysed, thereby providing greater power, it should be noted that the pooled analysis includes children of different age groups and asthma severities, and therefore not all data may have been comparable. When making clinical decisions, data from the appropriate age group and asthma severity should also be considered.
Seasonality in paediatric patients with asthma
Pooled data from the placebo groups of the PensieTinA-, RubaTinA-, VivaTinA-, CanoTinA- and NinoTinA-asthma trials demonstrate seasonal peaks in AEs related to exacerbations and symptoms during the spring and autumn months. As with the PrimoTinA-asthma trials, the causes of these peaks are not specified, but data from the tiotropium add-on therapy groups demonstrate that both tiotropium 5 and 2.5 µg reduced these peaks in paediatric patients and could, therefore, represent an additional intervention for the prevention of seasonal and predictable peaks in AEs relating to asthma exacerbations and symptoms (Fig. 7)40,41.
Number of patients aged 1–17 years with asthma or persistent asthmatic symptoms receiving either tiotropium (5 or 2.5 µg) or placebo once daily reporting AEs related to asthma exacerbations and symptoms plotted by month. Data from the Southern Hemisphere were shifted by 6 months (July = Month 1, January = Month 7) to align the seasonal time periods based on meteorological definitions. Patients were recruited and commenced the trial treatment periods across all months of the year. AE adverse event. From ref. 41. Copyright © 2019. Reprinted with permission.
Conclusions
The definitions of asthma exacerbations and asthma worsenings often vary across different trials, making the comparison of outcomes across multiple clinical trials and studies difficult. By using common definitions throughout the UniTinA-asthma clinical trial programme, it was demonstrated that tiotropium 5 µg is effective in reducing asthma exacerbations and worsenings in adult patients with symptomatic severe asthma. In adults with mild to moderate-severe asthma, tiotropium 5 µg provided a non-significant improvement in the time to first episode of asthma worsening compared with placebo, and in symptomatic moderate asthma, tiotropium 2.5 µg provided a significant improvement. In the five UniTinA-asthma trials in paediatric patients, which analysed exacerbations as a safety endpoint, tiotropium provided significant reductions in the number of patients aged 1–5 years with persistent asthmatic symptoms reporting AEs relating to asthma exacerbations and symptoms compared with placebo. Evidence was limited for the clinical benefit of tiotropium on asthma worsenings or improvements in the number of patients aged 6–17 years reporting AEs relating to asthma exacerbations and symptoms compared with placebo. The reduction in exacerbations with tiotropium was apparent across all patients during the observed seasonal peaks of these events.
Reporting summary
Further information on experimental design is available in the Nature Research Reporting Summary linked to this paper.
References
Pavord, I. D. et al. The impact of poor asthma control among asthma patients treated with inhaled corticosteroids plus long-acting beta2-agonists in the United Kingdom: a cross-sectional analysis. NPJ Prim. Care Respir. Med. 27, 17 (2017).
Papaioannou, A. I. et al. Control of asthma in real life: still a valuable goal? Eur. Respir. Rev. 24, 361–369 (2015).
Global Initiative for Asthma. Global strategy for asthma management and prevention (2020 report). https://ginasthma.org/wp-content/uploads/2020/04/GINA-2020-full-report_-final-_wms.pdf (2020).
Camargo, C. A. Jr., Rachelefsky, G. & Schatz, M. Managing asthma exacerbations in the emergency department: summary of the National Asthma Education and Prevention Program Expert Panel Report 3 guidelines for the management of asthma exacerbations. J. Allergy Clin. Immunol. 124, S5–S14 (2009).
McKeever, T. et al. Quadrupling inhaled glucocorticoid dose to abort asthma exacerbations. N. Engl. J. Med. 378, 902–910 (2018).
Loymans, R. J., Ter Riet, G. & Sterk, P. J. Definitions of asthma exacerbations. Curr. Opin. Allergy Clin. Immunol. 11, 181–186 (2011).
FitzGerald, J. M. & Sadatsafavi, M. Improving precision in the prediction of asthma exacerbations. Lancet Respir. Med. 5, 539–540 (2017).
Fuhlbrigge, A., Bengtsson, T., Peterson, S., Jauhiainen, A. & Fageras, M. CompEx—a novel composite asthma exacerbation endpoint. Eur. Respir. J. 46, OA3258 (2015).
Balter, M. et al. Asthma worsenings: approaches to prevention and management from the Asthma Worsenings Working Group. Can. Respir. J. 15, 1B–19B (2008).
Fuhlbrigge, A. et al. Asthma outcomes: exacerbations. J. Allergy Clin. Immunol. 129, S34–S48 (2012).
Dougherty, R. H. & Fahy, J. V. Acute exacerbations of asthma: epidemiology, biology and the exacerbation-prone phenotype. Clin. Exp. Allergy 39, 193–202 (2009).
FitzGerald, J. M. Targeting lung attacks. Thorax 66, 365–366 (2011).
Virchow, J. C. et al. Defining moderate asthma exacerbations in clinical trials based on ATS/ERS joint statement. Respir. Med. 109, 547–556 (2015).
Hamelmann, E. et al. Tiotropium add-on therapy in adolescents with moderate asthma: a 1-year randomized controlled trial. J. Allergy Clin. Immunol. 138, 441–450.e448 (2016).
Hamelmann, E. et al. A randomised controlled trial of tiotropium in adolescents with severe symptomatic asthma. Eur. Respir. J. 49, 1601100 (2017).
Vrijlandt, E. J. L. E. et al. Safety and efficacy of tiotropium in children aged 1–5 years with persistent asthmatic symptoms: a randomised, double-blind, placebo-controlled trial. Lancet Respir. Med. 6, 127–137 (2018).
Vogelberg, C. et al. Tiotropium add-on therapy improves lung function in children with symptomatic moderate asthma. J. Allergy Clin. Immunol. Pract. 6, 2160–2162.e9 (2018).
Szefler, S. J. et al. A phase III randomized controlled trial of tiotropium add-on therapy in children with severe symptomatic asthma. J. Allergy Clin. Immunol. 140, 1277–1287 (2017).
Kerstjens, H. A. et al. Tiotropium in asthma poorly controlled with standard combination therapy. N. Engl. J. Med. 367, 1198–1207 (2012).
Kerstjens, H. A. et al. Tiotropium or salmeterol as add-on therapy to inhaled corticosteroids for patients with moderate symptomatic asthma: two replicate, double-blind, placebo-controlled, parallel-group, active-comparator, randomised trials. Lancet Respir. Med. 3, 367–376 (2015).
Paggiaro, P. et al. The effect of tiotropium in symptomatic asthma despite low- to medium-dose inhaled corticosteroids: a randomized controlled trial. J. Allergy Clin. Immunol. Pract. 4, 104–113.e2 (2016).
Sobieraj, D. M. et al. Association of inhaled corticosteroids and long-acting muscarinic antagonists with asthma control in patients with uncontrolled, persistent asthma: a systematic review and meta-analysis. JAMA 319, 1473–1484 (2018).
Vogelberg, C. et al. A comparison of tiotropium, long-acting β2-agonists and leukotriene receptor antagonists on lung function and exacerbations in paediatric patients with asthma. Respir. Res. 21, 19 (2020).
Thomas, A., Lemanske, R. F. Jr & Jackson, D. J. Approaches to stepping up and stepping down care in asthmatic patients. J. Allergy Clin. Immunol. 128, 915–924 (2011).
Boehringer Ingelheim Limited. Spiriva Respimat 2.5 microgram, inhalation solution. https://www.medicines.org.uk/emc/product/407/smpc (2018).
Boehringer Ingelheim Pharmaceuticals Inc. SPIRIVA® RESPIMAT® (tiotropium bromide) inhalation spray, for oral inhalation. https://www.accessdata.fda.gov/drugsatfda_docs/label/2017/021936s007lbl.pdf (2019).
Cabana, M. D., Kunselman, S. J., Nyenhuis, S. M. & Wechsler, M. E. Researching asthma across the ages: insights from the National Heart, Lung, and Blood Institute’s Asthma Network. J. Allergy Clin. Immunol. 133, 27–33 (2014).
Coffey, M. J., Wilfond, B. & Ross, L. F. Ethical assessment of clinical asthma trials including children subjects. Pediatrics 113, 87–94 (2004).
Szefler, S. et al. Improvements in reporting of asthma exacerbations in efficacy and safety data with tiotropium add-on therapy in pediatric patients. Pediatr. Pulmonol. 53, S103–S104 (2018).
Staton, T. L. et al. Seasonal variability of severe asthma exacerbations and clinical benefit from lebrikizumab. J. Allergy Clin. Immunol. 139, 1682–1684.e3 (2017).
Johnston, N. W. & Sears, M. R. Asthma exacerbations. 1: Epidemiology. Thorax 61, 722–728 (2006).
DuBuske, L., Newbold, P., Wu, Y. & Trudo, F. Seasonal variability of exacerbations of severe, uncontrolled eosinophilic asthma and clinical benefits of benralizumab. Allergy Asthma Proc. 39, 345–349 (2018).
Sears, M. R. Epidemiology of asthma exacerbations. J. Allergy Clin. Immunol. 122, 662–668 (2008).
Johnston, N. W. The similarities and differences of epidemic cycles of chronic obstructive pulmonary disease and asthma exacerbations. Proc. Am. Thorac. Soc. 4, 591–596 (2007).
Teach, S. J. et al. Seasonal risk factors for asthma exacerbations among inner-city children. J. Allergy Clin. Immunol. 135, 1465–1473.e5 (2015).
ClinicalTrials.gov. Efficacy and safety of 2 doses of tiotropium via Respimat in adult patients with mild persistent asthma. https://clinicaltrials.gov/ct2/show/results/NCT01316380?term=NCT01316380&rank=1 (2011).
ClinicalTrials.gov. Evaluation of tiotropium 2.5 and 5 mcg once daily delivered via the Respimat® inhaler compared to placebo and salmeterol hydrofluoroalkane (HFA) metered dose inhaler (MDI) (50 mcg twice daily) in patient with moderate persistent asthma I. https://clinicaltrials.gov/ct2/show/results/NCT01172808?term=NCT01172808&rank=1 (2010).
Hamelmann, E. et al. Once-daily tiotropium Respimat add-on therapy improves lung function in patients aged 6–17 years with severe symptomatic asthma. Pediatr. Pulmonol. 52, S102 (2017).
International Conference on Harmonisation. Introductory guide for Standardised MedDRA Queries (SMQs) Version 20.0. https://www.meddra.org/sites/default/files/guidance/file/smq_intguide_20_0_english.pdf (2017).
Goldstein, S. et al. P45 effect of tiotropium Respimat® on seasonal asthma worsening in paediatric patients. Thorax 73, A122–A123 (2018).
Vogelberg, C. et al. Tiotropium add-on therapy is safe and reduces seasonal worsening in paediatric asthma patients. Eur. Respir. J. 53, 1801824 (2019).
ClinicalTrials.gov. Evaluation of tiotropium 5 µg/day delivered via the Respimat® inhaler over 48 weeks in patients with severe persistent asthma on top of usual care (study I). https://clinicaltrials.gov/ct2/show/results/NCT00772538?term=NCT00772538&rank=1 (2008).
ClinicalTrials.gov. Efficacy and safety of 2 doses of tiotropium Respimat compared to placebo in adolescents with severe persistent asthma. https://clinicaltrials.gov/ct2/show/results/NCT01277523 (2011).
ClinicalTrials.gov. Efficacy and safety of 2 doses of tiotropium via Respimat compared to placebo in adolescents with moderate persistent asthma. https://clinicaltrials.gov/ct2/show/results/NCT01257230 (2010).
ClinicalTrials.gov. Efficacy and safety of 2 doses of tiotropium Respimat® compared to placebo in children with severe persistent asthma. https://clinicaltrials.gov/ct2/show/NCT01634152?term=nct01634152&rank=1 (2012).
ClinicalTrials.gov. Efficacy and safety of 2 doses of tiotropium Respimat® compared to placebo in children with moderate persistent asthma. https://clinicaltrials.gov/ct2/show/NCT01634139?term=01634139&rank=1 (2012).
ClinicalTrials.gov. Evaluation of tiotropium 2.5 and 5 mcg once daily delivered via the Respimat® inhaler compared to placebo in 1 to 5 year old patients with persistent asthma. https://clinicaltrials.gov/ct2/show/NCT01634113?term=nct01634113&rank=1 (2012).
FitzGerald, J. M. et al. Tiotropium add-on therapy reduces seasonal peaks of asthma worsening in adults with symptomatic severe asthma. Eur. Respir. J. 55, 1900964 (2020).
Acknowledgements
Medical writing assistance, in the form of the preparation and revision of the draft manuscript, was supported financially by Boehringer Ingelheim and provided by Rosie Robson of MediTech Media, under the authors’ conceptual direction and based on feedback from the authors. Boehringer Ingelheim was given the opportunity to review the manuscript for factual accuracy only.
Author information
Authors and Affiliations
Contributions
The authors take full responsibility for the scope, direction, content of and editorial decisions relating to the manuscript, were involved at all stages of development and have approved the submitted manuscript.
Corresponding author
Ethics declarations
Competing interests
J.M.F. reports grants from Boehringer Ingelheim during the conduct of the study; personal fees and grants from Boehringer Ingelheim, AstraZeneca, Novartis, Sanofi-Regeneron, Circassia and Teva; and grants from GlaxoSmithKline outside the submitted work. E.H. has nothing to disclose. H.A.M.K. reports an unrestricted research grant, and fees for participation in advisory boards from Boehringer Ingelheim, Novartis and GlaxoSmithKline. He also reports fees for advisory board participation for AstraZeneca and Chiesi (all paid to his institution). R.B. has received grants and personal fees from Boehringer Ingelheim, GlaxoSmithKline, Novartis and Roche, and personal fees from AstraZeneca, Chiesi, Cipla and Teva.
Additional information
Publisher’s note Springer Nature remains neutral with regard to jurisdictional claims in published maps and institutional affiliations.
Supplementary information
Rights and permissions
Open Access This article is licensed under a Creative Commons Attribution 4.0 International License, which permits use, sharing, adaptation, distribution and reproduction in any medium or format, as long as you give appropriate credit to the original author(s) and the source, provide a link to the Creative Commons license, and indicate if changes were made. The images or other third party material in this article are included in the article’s Creative Commons license, unless indicated otherwise in a credit line to the material. If material is not included in the article’s Creative Commons license and your intended use is not permitted by statutory regulation or exceeds the permitted use, you will need to obtain permission directly from the copyright holder. To view a copy of this license, visit http://creativecommons.org/licenses/by/4.0/.
About this article
Cite this article
Mark FitzGerald, J., Hamelmann, E., Kerstjens, H.A.M. et al. Asthma exacerbations and worsenings in patients aged 1–75 years with add-on tiotropium treatment. npj Prim. Care Respir. Med. 30, 38 (2020). https://doi.org/10.1038/s41533-020-00193-w
Received:
Accepted:
Published:
Version of record:
DOI: https://doi.org/10.1038/s41533-020-00193-w









