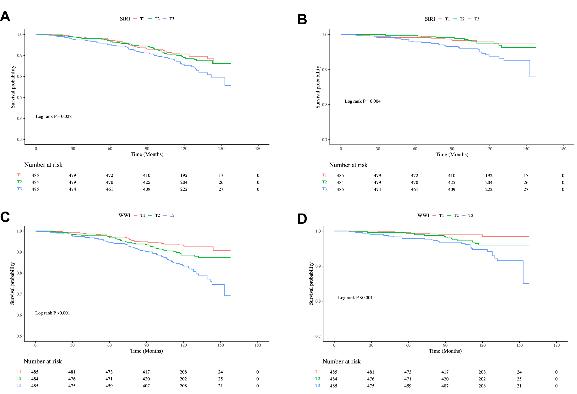
Fig. 2: Kaplan–Meier curves of the survival rate with higher SIRI and WWI values. | npj Primary Care Respiratory Medicine