Abstract
Schizophrenia spectrum disorders (SCZspect) are associated with altered function in the auditory cortex (AC), indicated by lower N100 amplitude of the auditory evoked potential (AEP). Although the neural substrate behind lower N100 amplitude remains elusive, myelination in the AC may play a role. This study compared N100 amplitude and magnetic resonance imaging (MRI) T1 weighted and T2 weighted ratio (T1w/T2w-ratio), as a proxy of myelination, in the primary AC (AC1) and secondary AC (AC2) between SCZspect (n = 33, 48% women) and healthy controls (HC, n = 144, 49% women). We also examined the associations between N100 amplitude and T1w/T2w-ratios across groups. We finally explored N100 amplitude and T1w/T2w-ratios and the N100-T1w/T2w-ratio associations between male and female SCZspect and HC. N100 amplitude was significantly lower in male SCZspect compared to male HC (p = 0.01) and nominally lower in SCZspect compared to HC (p = 0.03). However, T1w/T2w-ratios in AC1/AC2 did not differ between groups, and no association was found between N100 amplitude and T1w/T2w-ratio in either group. These findings suggest that sex-specific effects should be considered in SCZspect neurophysiology research. Our results do not support the hypothesis of an association between lower N100 amplitude and lower T1w/T2w-ratio in the AC1/AC2 in SCZspect. More precise assessments of intracortical myelin are needed to understand the relationship between N100 amplitude and cortical myelination in the AC in SCZspect and in healthy controls.
Similar content being viewed by others
Introduction
Schizophrenia spectrum disorders (SCZspect) are severe mental disorders affecting ~1.0% of the general population1. Although the precise neural substrates of SCZspect remain elusive, structural magnetic resonance imaging (MRI) studies suggest the involvement of the auditory cortex (AC)2,3. At the functional level, electroencephalography (EEG) studies have consistently demonstrated lower amplitude4,5,6,7 and delayed latency8 of the N100 component of the auditory evoked potential (AEP) in SCZspect. The N100 amplitude is believed to reflect how pyramidal cells in the AC respond to auditory stimuli9,10. Despite extensive research demonstrating lower N100 amplitude in SCZspect4,5,6,7,10,11,12,13, the neurostructural substrates underlying these functional abnormalities remain poorly understood. Specifically, the relationship between N100 amplitude and microstructure in the AC, like myelination, has not been directly studied in either healthy individuals or in SCZspect. Altered myelination in the AC may explain the lower N100 amplitude, given that myelin is essential for fast and synchronized communication between neurons14. Altered myelination in the AC in SCZspect15,16 may also partly explain the high prevalence of auditory hallucinations in SCZspect15,17,18,19. Further, myelination directly impacts on key features of brain dynamics in the millisecond range as measured by EEG20,21,22, and previous studies have shown associations between myelin indices and event-related potentials (ERPs)23,24 in healthy individuals. Further, individuals with multiple sclerosis (MS), a demyelination brain disorder, have lower amplitude and delayed latency of the P100 component of the visual evoked potential25,26. In healthy individuals, there is evidence for links between auditory function and myelination in the AC27, and age-related demyelination has been associated with decline in auditory function28. While the relationship between the amplitude of the N100 component of the AEP and myelination in the AC in healthy individual remains elusive, here we examined the hypothesis that altered myelination in the AC may be correlated with lower N100 amplitude in SCZspect.
Altered cortical myelination is associated with a vulnerability towards SCZspect29,30,31,32,33. MRI studies using gray matter/white matter contrast or diffusion tensor imaging (DTI), suggest altered myelination in auditory regions in SCZspect33,34. Auditory hallucinations affect 60–80% of individuals with SCZspect35,36 and connectivity in auditory fiber bundles is associated with this symptom in SCZspect37,38,39,40.
The ratio between T1- (T1w) and T2- (T2w) weighted MRI (i.e., the T1w/T2w-ratio) has been used as a proxy for cortical myelin microstructure41,42,43 and has a close spatial correlation with myelin-based histology44,45,46. Further, patients with MS have lower T1w/T2w-ratio47,48 that is associated with tissue damage49,50. While several studies indicate a spatial correlation between the T1w/T2w-ratio and cortical myelination51, to what degree the T1w/T2w-ratio can be used as a direct proxy for intracortical myelination remains debated52.
While one study found globally lower T1w/T2w-ratio in SCZspect53, another study demonstrated lower T1w/T2w-ratio in specific brain areas only54. However, none of these studies included intensity normalization, which has been shown to improve test-retest reliability of the T1w/T2w-ratio41. While several lines of evidence suggest altered myelination in the pathogenesis of SCZspect37,55, whether there is a direct link between function and myelination in the AC in SCZspect, remains unknown. To the best of our knowledge, no T1w/T2w-ratio abnormalities in the AC have been reported in SCZspect. Moreover, while evidence suggests sex differences in both auditory function56, and AC structure in healthy individuals57,58,59,60, the potential influence of biological sex on the relationship between AC function and structure in both healthy individuals and in SCZspect, has yet to be investigated61,62. Understanding the influence of biological sex on AC function and structure in SCZspect may provide insight into the neural substrate behind the well-established sex differences in the pathophysiology and treatment response in SCZspect63,64. Studies have demonstrated significant sex differences in auditory function57, including reduced activity in the AC in healthy males when exposed to external noise compared to females65. While previous studies report sex differences in the ERP-P300 component66 and in the mismatch negativity67 in SCZspect, studies investigating sex difference in the N100 amplitude are sparse56,68,69. While previous studies have reported sex difference in brain structure in SCZspect64, with equivocal findings in the AC70, to our knowledge, no study has investigated sex difference in T1w/T2w-ratio in the AC in SCZspect.
Here, we aimed to provide new insight into the biological and structural correlates of N100 amplitude in SCZspect and healthy controls by combining EEG and MRI, two non-invasive neuroimaging methods to study brain function and structure, respectively. To accomplish this, we examined the relationship between the N100 amplitude and the T1w/T2w-ratio in the primary auditory cortex and in the secondary auditory cortex. These relationships are especially intriguing since lower N100 amplitude is among one of the most consistently observed EEG changes in SCZspect4,5,6,7,10,11,12,13. Given reports of important sex differences in SCZspect pathophysiology64,71,72,73,74, we also aimed to assess whether sex has an impact on these relationships.
Methods
Participants
Participants with a DSM-IV diagnosis within the SCZspect and healthy controls (HC) were included from the ongoing Thematically Organized Psychosis research study, and partly overlap with the participants included in our previous study75. HC were randomly drawn from the national population register within the same catchment area and asked to participate in the study. The study was approved by the Regional Committees for Medical and Health Research Ethics of South-Eastern Norway and conducted in accordance with the Helsinki declaration. Participants provided written informed consent. Participants with a history of head trauma resulting in loss of consciousness, an IQ < 70, or somatic or neurological disorders believed to influence brain function were excluded from the study. In addition, HC with a history of mental disorders and/or severe mental disorders in first-degree relatives or with a history of substance abuse/dependence were excluded. In total, MRI and EEG data were available for 442 participants (50 SCZspect and 392 HC). We excluded participants (7 SCZspect and 20 HC) with clinically relevant incidental findings on their MRI scan (cysts >1 × 1 cm, empty sella turcica, greater pituitary gland abnormalities, arterial-venous malformations, MS changes, brain tumors or infarctions), with poor AEP on visual inspection (10 SCZspect and 61 HC) and with a time interval between MRI scanning and EEG recording of more than 12 months (1 HC). Since the HC group was significantly older than the SCZspect group, we selected HC that were similar in age with the SCZspect group and excluded all participants that were older than 54 years. This resulted in the exclusion of 133 HC. The final sample consisted of 177 participants, including 33 SCZspect (schizophrenia [n = 21], schizophreniform [n = 1] and psychosis not otherwise specified [n = 11]) and 144 HC. In this sample, MRI, EEG and clinical investigations were performed between 2015 and 2019 with a median time interval between MRI and EEG examinations of 12 days (0–337 days; interquartile range = 32 days).
Clinical assessment
Diagnosis, age of onset, duration of illness, psychosocial functioning, current symptoms and the use of antipsychotic medication(s) was assessed as described previously75. Trained clinical psychologists or physicians diagnosed individuals with SCZspect according to DSM-IV criteria using the Structural clinical interview for DSM-IV (SCID-I)76. We defined age of onset as age at first positive psychotic symptoms (verified by SCID-I) and the duration of illness as years from age of onset to age at MRI examination. To assess psychosocial functioning we used the split version of the Global assessment of function (GAF-S and GAF-F) scale77. Current symptoms were evaluated using the Positive and negative syndrome scale (PANSS) interview78. For each individual with SCZspect, the current dosage of antipsychotic medication(s) (APs) was converted into a “Defined Daily Dose”, an assumed average maintenance dose per day for a drug used for its main indication in adults (www.whocc.no/atc_ddd_index/). In total, 21 SCZspect were using APs, 7 SCZspect were not using APs. Information about APs use was missing for 5 SCZspect.
MRI processing
MRI data was processed in the recon-all stream of FreeSurfer version 6.0.0 (https://surfer.nmr.mgh.harvard.edu)79. Briefly, this processing stream includes removal of non-brain tissue, Talairach transformation and intensity non-uniformity correction. Intensity information was used to reconstruct the inner (i.e., the gray/white matter boundary) and outer (i.e., the gray matter/cerebrospinal fluid boundary) surfaces of the cerebral cortex. Quality control and editing were conducted by trained research assistants following standard FreeSurfer procedures. At this stage, no participants were excluded. The T1w/T2w-ratio was computed using an approach previously found to have high test-retest reliability41. Briefly, this approach performs post hoc corrections for field inhomogeneities, partial voluming, and the presence of surface outliers, and intensity normalization using WhiteStripe80, which uses intensity values in normal-appearing white matter to harmonize T1w/T2w-ratio values. The mean T1w/T2w-ratios were extracted in three bilateral regions of interest in the Destrieux atlas81: The anterior transverse temporal Heschl’s gyrus, the transverse temporal sulcus, and the temporal plane of the superior temporal gyrus. Cortical labels were visually inspected to ensure correct placement. No subjects were excluded due to poor cortical labeling. For the main analysis, we defined two main regions of interest; the Heschl’s gyrus, referred to as the primary auditory cortex (AC1) in the manuscript, and the combined transverse temporal sulcus and superior temporal gyrus, referred to as secondary auditory cortex (AC2) in the manuscript. The T1w/T2w-ratio was calculated as an area-weighted mean across hemispheres and sub-regions. See Supplementary Note 1 for a discussion around parcellation of the AC and Supplementary Note 2 for details on how T1w/T2w-ratio was calculated. Supplementary Figs. 1 and 2 show the AC1 (Heschl’s gyrus) and AC2 (transverse temporal sulcus - superior temporal gyrus) regions of interest. Figure 1 shows example T1- and T2-weighted volumes and the T1w/T2w-ratio volumes.
In the left column, T1-weighted volumes are shown (upper: coronal view, lower: sagittal view). In the middle column, T2-weighted volumes are shown. In the right column, T1w/T2w-ratio volumes are shown. The cortical surfaces based on FreeSurfer reconstruction are shown in red lines representing the outer cortical surface (i.e., the pial surface) and yellow lines represent the inner cortical surface (i.e., white matter surface).
Auditory evoked potentials obtained from the PPI paradigm
AEPs were elicited during a prepulse-inhibition (PPI) task, and EEG data was acquired and processed as described previously75. Supplementary Fig. 3 shows the timeline of the entire EEG session, where the PPI-paradigm was presented together with other tasks. During the PPI paradigm, the participants focused on a red dot in the middle of a computer-screen while exposed to a constant background noise at 70 decibel (dB) for 3-min (to allow for habituation) followed by the main PPI experiment. The PPI paradigm consisted of five main conditions, with 12 presentations each: (1) Startle-stimuli presented alone (40 milliseconds (ms) white noise with near instantaneous rise/fall times presented at 115; dB 2; startle stimuli preceded 30 ms earlier by weaker prepulse stimuli (20 ms white noise with near instantaneous rise/fall times presented at 85 dB); 3; startle stimuli preceded 60 ms earlier by the weaker prepulse stimuli; 4: startle stimuli preceded 120 ms earlier by the weaker prepulse; and 5: the weaker prepulse stimuli presented alone. The current paper focuses on AEPs elicited by the prepulse stimulus alone (presented at 85 dB), since this typically does not elicit a muscular startle response. While we computed ERPs from relatively few trials, the long average interstimulus interval (~9 s), in combination with the relatively strong stimulus intensity (85 dB), nonetheless elicited robust AEPs82. Prior to the EEG examination, hearing was assessed at 20 dB and 40 dB. All participants that were included in the current study were able to hear the auditory stimuli at <40 dB. Figure 2 illustrates individual AEP from 12 randomly selected SCZspect. Figure 3 illustrates individual AEP from 24 randomly selected HC. Supplementary Fig. 4A, B illustrates mean AEPs from all SCZspect and HC.
Figure 2 shows example of auditory evoked potentials (AEPs) from 12 randomly drawn SCZspect., schizophrenia spectrum disorders.
Auditory evoked potentials (AEPs) from 24 randomly drawn HC, healthy controls.
EEG acquisition and processing
We recorded EEG data at 2048 Hertz (Hz) from 64 Ag-AgCl scalp electrodes arranged according to the international 10–5 system using a BioSemi ActiveTwo amplifier. In addition, four external electrodes recorded lateral and vertical eye movements, and two recorded the heart rhythm (electrocardiography). The Biosemi system uses a common mode sense with a driven right leg electrode to minimize common mode voltages. All offline EEG processing was conducted using the MATLAB-based EEGLAB toolbox83. After down-sampling to 512 Hz, we removed noisy channels using the PREP Pipeline algorithms with default setting84. We referenced remaining channels to the average of all good channels before we interpolated removed channels from surrounding channel potentials. Next, we re-referenced all channels to the new common average obtained after interpolation of bad channels. After average referencing, we removed the mean offset from all channels and applied a high pass filter of 1 Hz. The Trimoutlier eeglab plugin (https://sccn.ucsd.edu/wiki/TrimOutlier) was used to remove sections of bad data (defined as ±500 ms around any datapoint exceeding 500 microvolts (µV) across the 64 scalp channels) in the continuous EEG files. Next, independent component analysis and automated detection of eye-blink artifacts85 were used to automatically identify EEG artifacts such as eye blinks, line noise, muscle movements, heart noise, and channel noise. All independent components were also visually inspected, before rejection of components with <50% chance of originating from brain activity (assigned by independent component label). Cleaned EEG data was next low-pass filtered to 40 Hz and separate epochs were extracted for each stimulus event with the time window of −200 ms to 700 ms. Finally, epoched data was baseline-corrected from −100 to 0 ms. Prior to extraction of ERP voltages, the ERPs were re-referenced to linked mastoids to capture both the negative (on centro-frontal electrodes) and positive (on inferior temporal and posterior electrodes) polarity of the auditory ERP (which inverts over the Sylvian fissure). Trials containing amplitudes exceeding ±100 microvolts (µV) were excluded prior to averaging. All 12 prepulse-alone trials were included. Peak latency and amplitude for the N100 component were defined as the minimal amplitude within a time window from 50 to 200 ms after stimulus onset and extracted from channel Cz. In our main analyzes, we focused on the N100 amplitude from the Cz electrode. However, we also examined N100 latency (Supplementary analysis 3). AEPs of individual participants were visually inspected in EEGLAB to ensure that the time windows used in the scripts were correct and that they accurately identified peaks and latencies (between 50 and 200 ms). After visual inspection of individual AEPs, we concluded that for the majority of subjects, 12 prepulse alone trials were indeed sufficient for eliciting robust AEPs. Further, after visual inspection of individual AEPs, we excluded 74 participants with peak N100 amplitudes (the most negative peak) outside of the latency range of 50–200 ms. N100 amplitudes that are generated at 85 dB and with longer interstimulus intervals will elicit higher amplitudes than N100 amplitudes generated at lower dB and shorter interstimulus intervals86. Visual inspection revealed that N100 amplitudes were negative for all participants (from: −3.18 µV to −43.62 µV). To ease interpretation on the direction of correlation, we multiplied all negative values with −1, giving N100 amplitudes of 3.18–43.62 µV, so that a higher number reflects a more prominent N100.
Statistical analyses
Statistical analyses were conducted using R version 3.6 (https://www.r-project.org; R Core Team, 2014). Group differences in demographics and clinical variables, as provided in Table 1, were calculated using the t-test for continuous variables and the chi-squared test for categorical variables.
First, to calculate mean N100 amplitude, T1w/T2w-ratio in AC1 and in AC2 in SCZspect (n = 33) and HC (n = 144), we performed separate analysis of covariance, where N100 amplitude, T1w/T2w-ratio in AC1 or in AC2 was set as outcome variable, diagnostic group (SCZspect or HC) and sex (female or male) as factors, and age as a covariate. To compare the N100 amplitude and the T1w/T2w-ratio in AC1 and AC2 between SCZspect and controls, we used linear models where N100 amplitude or the T1w/T2w-ratio in AC1 or in AC2 were dependent variables and diagnostic group was the independent variable of interest. The models were adjusted for age and sex. Cohen’s d and Hedge´s g for group comparisons were calculated from differences in predicted means87. For the linear regression analyses a p-value < 0.017 was considered significant (Bonferroni correction for three comparisons, i.e., differences in N100 amplitude, in T1w/T2w in AC1 and in T1w/T2w in AC2).
To test for associations between N100 amplitude and T1w/T2w-ratio in AC1 and in AC2, we ran separate linear models in SCZspect and HC, where the N100 amplitude was the dependent variable and T1w/T2w-ratio in AC1 or in AC2 as well as age and sex were independent variables. Thereafter, to examine whether the associations between N100 and T1w/T2w-ratio in AC1 and in AC2 differed between diagnostic groups (SCZspect and HC), we ran linear models in the combined sample (n = 177) of SCZspect and HC with N100 amplitude as dependent variable and diagnosis, T1w/T2w-ratio in AC1 or in AC2 and the interaction term (diagnosis* T1w/T2w-ratio) as independent variables. For these analyses a p-value < 0.025 was considered significant (Bonferroni correction for two comparisons, i.e., associations between N100 amplitude and T1w/T2w-ratio in AC1/AC2).
We performed sex stratified analysis of covariance, where N100 amplitude, T1w/T2w-ratio in AC1 or in AC2 were set as outcome variables, diagnostic group as factor and age as a covariate. We ran this analysis in females and males separately. To compare the N100 amplitude and the T1w/T2w-ratio in AC1 and AC2 between female SCZspect and female HC and between male SCZspect and male HC, we used linear models where N100 amplitude, the T1w/T2w-ratio in AC1 or in AC2 were dependent variables and diagnostic group (SCZspect or HC) was the independent variable of interest. The models were adjusted for age. We ran this model in females (n = 76) and males (n = 91) separately. Cohen’s d and Hedge´s g for group comparisons were calculated from differences in predicted means87. For the linear regression analyses a p-value < 0.017 was considered significant.
To test for associations between N100 amplitude and T1w/T2-ratio in AC1 or in AC2 in female and male SCZspect and HC, we ran models in the female SCZspect, female HC, male SCZspect and male HC samples separately. In these models, the N100 amplitude was the dependent variable and T1w/T2w-ratio in AC1 or in AC2, as well as age were independent variables. Thereafter, to examine whether the associations between N100 amplitude and T1w/T2w-ratio in AC1 and in AC2 differed between sex, we ran linear models with N100 amplitude as the dependent variable and sex, T1w/T2w-ratio in AC1/AC2 and the interaction term (sex*T1w/T2w-ratio in AC1/AC2) as well as age and diagnosis (SCZspect or HC), as independent variables. We fitted this model in the combined sample (n = 177) of female and male SCZspect and controls. For these analyses a p-value < 0.025 was considered significant.
In addition to our main analyses, we ran supplementary analyses assessing T1w/T2w-ratio in AC1 and in AC2 in each hemisphere and its association with N100 amplitude in SCZspect and HC. In addition, we examined N100 latency and its association with T1w/T2w-ratio in AC1 and in AC2 in SCZspect and HC. Further, we examined how much of the variance in N100 amplitude was explained by age and sex and assessed differences in demographics and in our EEG and MRI data between female and male SCZspect and controls. We also examined differences in N100 amplitude and T1w/T2w-ratios in AC1/AC2 in female SCZspect compared to male SCZspect, in female HC compared to male HC and between the combined sample of male SCZspect and male HC and the combined sample of female SCZspect and female HC. Further, we tested for difference in N100 amplitude by diagnoses and sex with interaction analysis. We also examined N100 amplitude and T1w/T2w-ratio in the AC1 and AC2 and the association between N100 amplitude and T1w/T2w ratio in SCZspect with auditory hallucinations (AH+) and without auditory hallucinations (AH-). As two sensitivity analyses, we also examined N100 amplitude and T1w/T2w-ratio in the AC1 and AC2 and the N100-T1w/T2w associations in a sample prior to excluding older controls and in a sample where we performed stricter age matching between SCZspect and HC. We examined the effect of use of antipsychotics and PANSS scores on our EEG and MRI data.
Results
Demographics and clinical data
There were no significant differences in age or sex distribution between SCZspect and HC (Table 1).
Mean N100 amplitude, T1w/T2w-ratio in AC1 and T1w/T2w-ratio in AC2 in SCZspect and HC
Estimated marginal means and differences in means between SCZspect and HC are provided in Table 2. N100 amplitude was nominally (p = 0.03) lower in SCZspect compared to HC, while T1w/T2w-ratio in AC1/AC2 did not differ between SCZspect and HC.
Association between N100 amplitude and T1w/T2 w-ratio in AC1 and in AC2 in SCZspect and HC
We found no significant association between N100 amplitude and T1w/T2w-ratio in AC1 or in AC2 in SCZspect or in HC (Fig. 4). Results from the regression models with interaction terms (diagnosis×T1w/T2w-ratio) indicate that the associations between N100 amplitude and T1w/T2w-ratio in AC1 and in AC2 did not differ between SCZspect and HC (AC1: estimate (est) = 132.26, standard error (se) = 139.63, p-value (p) = 0.34; AC2: est = 144.76, se = 124.74, p = 0.25).
Figure 4 shows associations between N100 amplitude and T1w/Tw2-ratio in the AC1, primary AC, auditory cortex and in AC2, secondary AC in SCZspect., schizophrenia spectrum disorder (A, B) and in HC, healthy controls (C, D); est, estimate; se, standard error; p, p-value; *, significant p-value (p < 0.025) association. N100 amplitude and T1w/Tw2-ratio in AC1/AC2 were set as dependent variables with age and sex as covariates. We found no significant associations between N100 amplitude and T1w/Tw2-ratio in the AC1 or in the AC2 in SCZspect or in HC.
Mean N100 amplitude, T1w/T2w-ratio in AC1 and T1w/T2w-ratio in AC2 in female and male SCZspect and female and male HC
Estimated marginal means and differences in means between female SCZspect and female HC and between male SCZspect and male HC are provided in Table 3. Of interest, N100 amplitude was significantly lower in male SCZspect compared to male HC (est = 4.30, se = 1.63, p = 0.01). T1w/T2w-ratios in AC1/AC2 did not differ between groups.
Association between N100 amplitude and T1w/T2w-ratio in AC1/AC2 in female/male SCZspect and HC
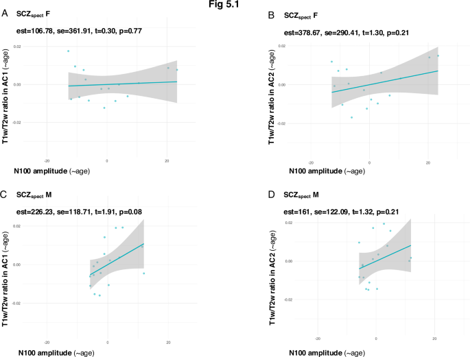
We found no significant association between N100 amplitude and T1w/T2w-ratio in the AC1 or in the AC2 in female or male SCZspect (Fig. 5.1.) or in female or male HC (Fig. 5.2.) The associations between N100 amplitude and T1w/T2w-ratio in AC1/AC2 did not differ between sex (AC1: est = 91.98, se = 96.04, p = 0.34; AC2: est = −59.05, se = 95.87, p = 0.92).
Figure 5.1 shows associations between N100 amplitude and T1w/Tw2-ratio in AC1, primary AC, auditory cortex and in AC2, secondary AC in female SCZspect, schizophrenia spectrum disorder (A, B) and in male SCZspect (C, D); est, estimate; se, standard error; p, p-value; *, significant p-value (p < 0.025) association. N100 amplitude and T1w/Tw2-ratio in AC1/AC2 were set as dependent variables with age as covariates. We found no significant associations between N100 amplitude and T1w/Tw2-ratio in AC1/AC2 in female or male SCZspect. Figure 5.2. shows associations between N100 amplitude and T1w/Tw2-ratio in AC1, primary AC, auditory cortex and in AC2, secondary AC in female HC, healthy controls (A, B) and in male HC (C, D); est, estimate; se, standard error; p, p-value; *, significant p-value (p < 0.025) association. N100 amplitude and T1w/Tw2-ratio in AC1/AC2 were set as dependent variables with age as covariates. We found no significant associations between N100 amplitude and T1w/Tw2-ratio in AC1/AC2 in female or male HC.
In addition to our main results of interest, we found no difference in T1w/T2w-ratios in the left or right AC1 or AC2 between SCZspect and HC (Supplementary analysis 1). N100 amplitude was not associated with T1w/Tw2-ratios in the left or right AC1/AC2 in any groups (Supplementary analysis 2). Further, N100 latency did not differ between SCZspect and HC and was not associated with T1w/T2w-ratio in AC1/AC2 in any groups (Supplementary analysis 3). In the combined sample of SCZspect and HC, sex explained 4.5%, while age explained 2.7% of variance in N100 amplitude. In SCZspect only, sex explained 13.67%, while age explained 9.91% of the variance in N100 amplitude. In HC only, sex explained 3.17% and age explained 1.62% of variance in N100 amplitude (Supplementary analysis 4). Supplementary analysis 5 shows the demographics in female and male SCZspect and HC. Further, N100 amplitude was nominally lower in male SCZspect compared to female SCZspect (p = 0.03), in male HC compared to female HC (p = 0.03), and significantly lower in the combined sample of males (SCZspect and controls) compared to females (SCZspect and controls) (p = 0.004) (Supplementary analysis 6). We found lower T1w/T2w-ratio in the AC2 in female SCZspect compared to male SCZspect (p = 0.01) and lower N100 amplitude in the combined sample of male SCZspect and HC compared to the combined sample of female SCZspect and HC (p = 0.004) (Supplementary analysis 6). The N100 amplitude was significantly lower in males with SCZspect compared to HC males; however, the interaction of diagnosis*sex on N100 amplitude was not significant. Thus, we cannot conclude that the effect of SCZspect on the N100 amplitude is sex specific (Supplementary analysis 7). We did not find any significant difference in N100 amplitude and T1w/T2w-ratio in AC1 or AC2 between AH+ or AH, and the associations did not differ between AH+ and AH- (Supplementary analysis 8). Further, when comparing means between SCZspect and HC prior to excluding older HC from the sample, SCZspect had significantly lower N100 amplitude compared to HC (p = 0.017) (Supplementary analysis 9.1.). When comparing means between SCZspect and HC after stricter age-matching than in our main analysis, we found no significant difference in N100 amplitude or in T1w/T2w-ratio in AC1 or in AC2 between SCZspect and HC (Supplementary analysis 9.3.). There was no significant difference in N100 amplitude or in T1w/T2w-ratio in AC1/AC2 between SCZspect using APs (n = 21) and those not using APs (n = 7) (Supplementary analysis 10). Further, APs use explained 2.25% of variance in N100 amplitude, 6.60% of variance in T1w/T2w-ratio in AC1 and 4.58% of variance in T1w/T2w-ratio in AC2. However, the us of APs did not have any significant effect on N100 amplitude or T1w/T2w-ratio in SCZspect (p > 0.05) (Supplementary analysis 11). Total PANSS score explained 2.7% of variance in N100 amplitude (p = 0.06), 10.12% of variance in T1w/T2w-ratio in AC1 (p = 0.09) and 10.54% of variance in T1w/T2w-ratio in AC2 (p = 0.01). The effect of total PANSS score on N100 amplitude was trend-level significant (p = 0.06), while the effect on T1w/T2w-ratio in the AC2 was significant (p = 0.01). These findings suggest that higher PANSS score (i.e., greater symptom severity) is associated with lower T1w/T2w-ratio (Supplementary analysis 12).
Discussion
The current study yielded three main findings. First, N100 amplitude was significantly lower in male SCZspect compared to male HC and nominally lower in the combined sample of SCZspect compared to the combined sample of HC. Second, T1w/T2w-ratio in AC1/AC2 did not differ between any groups. Finally, we did not find any significant association between N100 amplitude and T1w/T2w-ratio in the AC1 or in AC2.
To our knowledge, this is the first published report showing lower N100 amplitude in male SCZspect compared to male HC56. However, although sex-stratified models revealed a significantly lower in N100 amplitude in males with SCZspect compared to healthy males, and no significant effect of diagnosis in females, the full model including the diagnosis*sex interaction term did not yield a significant interaction (p = 0.15) (Supplementary analysis 7). These results suggest that N100 is lower in males with SCZspect, but that there is insufficient evidence to conclude that this effect is different in women with SCZspect. Nevertheless, we consider neurobiological mechanisms that may underlie the observed trend toward more pronounced N100 reduction in SCZspect males compared to females with SCZspect. While we at this point can only speculate why N100 amplitude was lower in males with SCZspect, but not in females with SCZspect, the neuroprotective abilities of estrogen may play a role88. Of interest, our supplementary analyzes revealed lower N100 amplitude in the combined sample of male SCZspect and controls compared to the combined sample of female SCZspect and controls (Supplementary Table 6). These findings are in accordance with previous reports of sex differences in auditory functioning in healthy individuals. Females have larger auditory brainstem response89,90,91 and larger P300 amplitude, indicating enhanced auditory function, compared to males66. Further, females are more sensitive to high-frequency sounds57 while males have a superior spatial auditory perception58,59,60. In females, the AC1 is more sensitive to noise compared to males65. Together, these findings indicate sex differences in auditory function, and the neuroprotective abilities of estrogen may play a role88. Estrogen is believed to protect the auditory system from noise and age-related damage and to optimize auditory processing62. Sex differences in auditory function are already present in infants92,93, indicating that exposure to sex steroids’ metabolites during prenatal development may lead to fundamental sex differences in auditory function94. Further, auditory function changes during the menstrual cycle95,96,97 and during pregnancy, a period when estrogen (and progesterone) levels rise continuously until giving birth98,99. Peri- and postmenopausal women have diminished auditory function100 and hormone-replacement therapy may reverse this decline101,102. Further, females with Turner´s syndrome, a disorder characterized by estrogen deficiency, have increased rate of hearing decline62 and auditory pathology103. Together, these findings indicate that estrogen has a neuroprotective role in auditory function104. The neuroprotective effect of estrogen is believed to be partly mediated through its interaction with brain-derived neurotrophic factor (BDNF), gamma-aminobutyric acid, norepinephrine62,105 and through enhancing myelination55,106,107. Women with MS have fewer relapses during pregnancy, suggesting a neuroprotective effect of estrogen through promoting myelination108. More research is needed to fully understand the effect of sex steroids and myelination on auditory function in humans62. In addition, the relationship between sex steroids and N100 amplitude remains elusive.
The effect of sex steroids on auditory function in SCZspect remains unknown. However, animal models of SCZspect show that estrogen plays a neuroprotective role in auditory function when interacting with BDNF61. Further, sex differences in dopamine109 and gamma-aminobutyric acid110, neurotransmitters believed to have implications for generating post-synaptic potentials111,112,113 which are important for auditory function, are reported in SCZspect. Thus, sex differences in these neurotransmitters may also be involved in the current findings of lower N100 amplitude in males with SCZspect. Understanding the relationship between sex steroids and N100 amplitude in SCZspect may provide insight into new treatment targets. Animal models of SCZspect show evidence suggesting that estrogen may be protective of the disorder through its interaction with BDNF and thus that estrogen–BDNF interactions may be new treatment targets61. In our study, we did not examine sex steroids; therefore, we cannot draw conclusions regarding the role of estrogen in our findings of lower N100 amplitude among males with SCZspect. We propose that future studies should examine the relationship between sex steroids and EEG measures, including the N100 amplitude.
The N100 amplitude may help us understand basic elemental mechanisms of brain function in SCZspect. In a previous study, we found positive associations between AC thickness and N100 amplitude in SCZspect, suggesting that a common neural substrate may underlie AC thickness and N100 amplitude alterations75. Based on these previous findings, as well as on a growing literature indicating myelination abnormalities in SCZspect114,115,116,117,118,119,120,121, we here aimed to examine whether myelination in AC may play a role in this association. Myelination plays an important role in spike synchrony122. Thus, impaired myelination of pyramidal neurons in the AC could lead to abnormal neural synchrony and altered auditory processing, reflected by lower N100 amplitude in SCZspect15,19. Based on the assumption of altered myelination and altered synchronization of auditory pyramidal neurons in SCZspect, we expected to find lower N100 amplitude and decreased T1w/T2w-ratio in AC in SCZspect and an association between lower N100 amplitude and decreased T1w/T2w-ratio. However, in the current study, N100 amplitude and T1w/T2w-ratio did not differ significantly between SCZspect and controls, and N100 amplitude was not associated with T1w/T2w-ratio in any groups. Thus, our findings did not support the hypothesis that altered myelination in the AC1/AC2, indexed by T1w/T2w-ratio, underlies N100 abnormalities in SCZspect. While the T1w/T2w-ratio has shown a high spatial correlation with cortical myelin51, it is not a direct measure of cortical myelin content. Rather, it is a signal-intensity-based measure where both its biological interpretation and technical aspects of the measure need to be considered. Regarding its biological interpretation, various tissue components, including lipid concentrations123, water content124, and potentially iron levels125 may influence T1- and T2-weighted signal intensity values. Notably, in one combined MRI and post-mortem study of individuals with MS, the T1w/T2w-ratio correlated stronger with dendritic spine density than with cortical myelin density49. Regarding technical aspects, the potential effects of field inhomogeneities, partial voluming, and imprecise co-registration needs to be considered, although in our study we applied a pipeline developed to mitigate potential bias arising from these sources. To conclude, the T1w/T2w-ratio does not represent a direct measure of myelin. Given this, even if our results were not in support of the hypothesized association between the N100 amplitude and the T1w/T2w-ratio, we cannot conclude that the N100 is not linked to cortical myelination. To fully understand how N100 amplitude may relate to myelination in the AC in SCZspect, we need more precise measures of intracortical myelin. In theory, although speculative, another way to investigate this relationship may be combining intracortical EEG examinations with postmortem examination of myelin content in the AC. However, this method is hampered by ethical and technical challenges. Therefore, a combination of EEG and MRI measures acquired in vivo is more feasible.
Other factors than altered myelination, indexed by T1w/T2w-ratio, may explain lower N100 amplitude in SCZspect. At this point, we can only speculate what neural substrate may underly lower N100 amplitude and thus altered function of AC pyramidal cells in SCZspect. Altered synaptic pruning126,127 resulting in reduced dendritic spine density on cortical pyramidal neurons128,129, is part of the pathogenesis of SCZspect. Reduced dendritic spine density on AC pyramidal cells (and interneurons) may result in desynchronized firing, a decreased summation of postsynaptic potentials, and thus in reduced N100 amplitude in SCZspect15,130. Of interest to the current study, reduced dendritic spine density has been observed in the AC in post-mortem samples of SCZspect131. The T1w/T2w-ratio may partly reflect dendritic spine density, but in our study, we did not find reduced T1w/T2w-ratio in the AC in SCZspect. Sex differences in dendritic spine density in the AC must also be considered in future studies132. Further, excessive synaptic pruning in the AC in SCZspect may lead to impaired neural communication in cortical areas involved in auditory processing and may result in auditory hallucinations133,134,135. Of note, these two alternative potential mechanisms are consistent with our previous finding of an association between AC cortical thickness and N100 amplitude in SCZspect75.
While the current study focused on cortical structures, deeper subcortical white matter may be associated with N100 amplitude. Given that subcortical structures contain a higher density of myelinated axonal fibers compared to the cortex, investigating the relationship between the N100 amplitude and subcortical white matter tract integrity with DTI may appear relevant. SCZspect have shown widespread alterations in white matter microstructure32. While both cortical and subcortical brain regions exhibit group-level alterations in SCZspect, cortical changes are more prominent and widespread136. Thus, the current focused on the cortical structures. Furthermore, the focus of the present study was guided by prior findings of lower N100 amplitude in SCZspect. The N100 amplitude is believed to primarily reflect cortical pyramidal neurons. Although subcortical structures can influence EEG/ERP signals, it is methodologically challenging to isolate subcortical contributions from scalp-recorded ERPs. Thus, ERPs, including the N100, are generally considered more suitable for examining cortical rather than subcortical function. However, future studies could explore the relationship between N100 amplitude and subcortical myelin content using DTI to assess whether the timing of neural responses to auditory stimuli is influenced by the microstructural integrity of white matter pathways. To our knowledge, no prior study has directly investigated such relationships. However, a previous study found associations between microstructural changes across the brain and the latency of the P100 component of the visual evoked potential component in MS patients, with stronger correlations found for demyelination than for axonal damage137.
In a previous study, we reported a positive correlation between N100 amplitude and thickness in the AC in an overlapping sample of SCZspect75. In the current study, we found no significant correlation between N100 amplitude and the T1w/T2w-ratio in the same region in SCZspect. One potential explanation is that cortical thickness and the T1w/T2w-ratio reflect different aspects of cortical microarchitecture. For example, the N100 amplitude is primarily sensitive to post-synaptic potentials generated by pyramidal cells in the superficial cortical layers (II/III)138, while deep cortical layers (IV/V) are most densely myelinated139. However, it is also possible that different measurement properties could play a role.
Further, we found no difference in N100 amplitude and T1w/T2w-ratio in AC1 or AC2 between AH+ or AH, and the associations did not differ between AH+ and AH- (Supplementary analysis 8). Larger sample sizes are needed to conclude on the association between N100 amplitude and T1w/T2w-ratio in relation to AH in SCZspect.
In addition, our supplementary analyzes indicated that in SCZspect a higher symptom load was associated with a lower T1w/T2w-ratio in the AC2 and at a trend level (p = 0.06) with lower N100 amplitude. These findings may suggest reduced functional and structural integrity in SCZspect exhibiting more severe symptoms. However, larger sample sizes are likely needed to disentangle the association between N100 amplitude and T1w/T2w-ratio in relation to PANSS score in SCZspect.
Few studies have investigated the effect of APs on N100 amplitude with inconclusive findings140,141,142. APs commonly used to treat SCZspect have high affinity to the dopamine D2 receptor and to the 5-hydroxytryptamine 2A receptor143. Thus, APs may influence N100 amplitude either directly by having effect on neural generators of the N100 or indirectly by decreasing symptoms in SCZspect140,144. Studies investigating correlations between the dose of APs and N100 amplitude are inconclusive145,146. Further, one study has shown no effect of APs on the gray/white-matter contrast along the cortical surface33. To conclude, longitudinal studies investigating N100 amplitude and myelination in SCZspect before and after starting on APs are needed to untangle the exact effect of APs on N100 amplitude and myelination.
Some limitations should be considered when interpreting the current findings. As mentioned above, while the T1w/T2w-ratio is spatially correlated with myelination of the cortex, it is not a direct measure of myelin content.
Second, the sample size needs to be considered. In particular, after sex stratification, the groups of individuals with SCZspect were small. Although the study was hypothesis-driven and focused on specific regions of interest, which limits the number of tests performed, we cannot rule out that our finding of no association between the T1w/T2w ratio and the N100 amplitude was due to a lack of statistical power. The small sample size in the stratified groups do limit power and increased the risk of false negative results. Further, the way that we generated AEPs, using a small number of trials instead of what is typically recommended for AEPs is unusual. However, after visual inspection of AEPs, we found that the relatively strong stimulus intensity and the long interstimulus interval did elicit robust and large-amplitude AEPs as described by others82. Strengths of this study include the use of multimodal imaging (EEG and MRI), a sample of clinically well-characterized participants, rigorous quality control, including visual quality control of MRI and EEG data, and assessment of sex differences.
In conclusion, our results are consistent with previous findings of lower N100 amplitude in SCZspect although the finding was restricted to males only. We did not find altered T1w/T2w-ratio within AC in SCZspect compared to HC and found no associations between the N100 amplitude and T1w/T2w-ratio. More precise estimates of intracortical myelin in the AC and larger SCZspect samples are needed to disentangle whether altered myelination explains N100 amplitude reduction in SCZspect.
Data availability
MRI and EEG data used in the following study was collected at our research center, NORMENT, Oslo, Norway, as part of the TOP study. The data was collected between 2015 and 2019. The MRI and EEG data is currently not openly available due to ethical and privacy issues of clinical data.
Code availability
The codes used are currently not openly available due to ethical and privacy issues of clinical data. The study was approved by the Regional Committees for Medical and Health Research Ethics of South–Eastern Norway, and all participants provided written informed consent.
References
Saha, S., Chant, D., Welham, J. & McGrath, J. A systematic review of the prevalence of schizophrenia. PLoS Med. 2, e141 (2005).
Kompus, K. et al. The role of the primary auditory cortex in the neural mechanism of auditory verbal hallucinations. Front. Hum. Neurosci. 7, 144 (2013).
Parker, E. M. & Sweet, R. A. Stereological assessments of neuronal pathology in auditory cortex in schizophrenia. Front. Neuroanat. 11, 131 (2017).
Rosburg, T., Boutros, N. N. & Ford, J. M. Reduced auditory evoked potential component N100 in schizophrenia–a critical review. Psychiatry Res. 161, 259–274 (2008).
Salisbury, D. F., Collins, K. C. & McCarley, R. W. Reductions in the N1 and P2 auditory event-related potentials in first-hospitalized and chronic schizophrenia. Schizophr. Bull. 36, 991–1000 (2010).
Foxe, J. J. et al. The N1 auditory evoked potential component as an endophenotype for schizophrenia: high-density electrical mapping in clinically unaffected first-degree relatives, first-episode, and chronic schizophrenia patients. Eur. Arch. Psychiatry Clin. Neurosci. 261, 331–339 (2011).
Wang, B., Zartaloudi, E., Linden, J. F. & Bramon, E. Neurophysiology in psychosis: the quest for disease biomarkers. Transl. Psychiatry 12, 100 (2022).
Shen, C. L. et al. P50, N100, and P200 auditory sensory gating deficits in schizophrenia patients. Front. Psychiatry 11, 868 (2020).
Pantev, C. et al. Specific tonotopic organizations of different areas of the human auditory cortex revealed by simultaneous magnetic and electric recordings. Electroencephalogr. Clin. Neurophysiol. 94, 26–40 (1995).
Luck, S. J. An Introduction to the Event-related Potential Technique 2nd edn (The MIT Press, 2014).
Brown, K. J., Gonsalvez, C. J., Harris, A. W. F., Williams, L. M. & Gordon, E. Target and non-target ERP disturbances in first episode vs. chronic schizophrenia. Clin. Neurophysiol. 113, 1754–1763 (2002).
Force, R. B., Venables, N. C. & Sponheim, S. R. An auditory processing abnormality specific to liability for schizophrenia. Schizophr. Res. 103, 298–310 (2008).
Spencer, K. M. et al. Abnormal neural synchrony in schizophrenia. J. Neurosci. 23, 7407 (2003).
Haroutunian, V. et al. Myelination, oligodendrocytes, and serious mental illness. Glia 62, 1856–1877 (2014).
Uhlhaas, P. J. & Singer, W. Abnormal neural oscillations and synchrony in schizophrenia. Nat. Rev. Neurosci. 11, 100–113 (2010).
Bartzokis, G. Schizophrenia: breakdown in the well-regulated lifelong process of brain development and maturation. Neuropsychopharmacology 27, 672–683 (2002).
Balz, J. et al. Beta/gamma oscillations and event-related potentials indicate aberrant multisensory processing in schizophrenia. Front. Psychol. 7, https://doi.org/10.3389/fpsyg.2016.01896 (2016).
Haenschel, C. et al. Cortical oscillatory activity is critical for working memory as revealed by deficits in early-onset schizophrenia. J. Neurosci. 29, 9481 (2009).
Whitford, T. J., Ford, J. M., Mathalon, D. H., Kubicki, M. & Shenton, M. E. Schizophrenia, myelination, and delayed corollary discharges: a hypothesis. Schizophr. Bull. 38, 486–494 (2012).
Pajevic, S., Basser, P. J. & Fields, R. D. Role of myelin plasticity in oscillations and synchrony of neuronal activity. Neuroscience 276, 135–147 (2014).
Fries, P. Rhythms for cognition: communication through coherence. Neuron 88, 220–235 (2015).
Mishra, R. K., Kim, S., Guzman, S. J. & Jonas, P. Symmetric spike timing-dependent plasticity at CA3–CA3 synapses optimizes storage and recall in autoassociative networks. Nat. Commun. 7, 11552 (2016) https://www.nature.com/articles/ncomms11552#supplementary-information.
Eggermont, J. J. On the rate of maturation of sensory evoked potentials. Electroencephalogr. Clin. Neurophysiol. 70, 293–305 (1988).
Westlye, L. T., Walhovd, K. B., Bjørnerud, A., Due-Tønnessen, P. & Fjell, A. M. Error-related negativity is mediated by fractional anisotropy in the posterior cingulate gyrus–a study combining diffusion tensor imaging and electrophysiology in healthy adults. Cereb. Cortex 19, 293–304 (2009).
Alshuaib, W. B. Progression of visual evoked potential abnormalities in multiple sclerosis and optic neuritis. Electromyogr. Clin. Neurophysiol. 40, 243–252 (2000).
Kiiski, H. S. M. et al. Delayed P100-like latencies in multiple sclerosis: a preliminary investigation using visual evoked spread spectrum analysis. PLoS ONE 11, e0146084–e0146084 (2016).
Tzourio-Mazoyer, N. et al. Intracortical myelination of Heschl’s Gyrus and the planum temporale varies with Heschl’s duplication pattern and rhyming performance: an investigation of 440 healthy volunteers. Cereb. Cortex 29, 2072–2083 (2019).
Poleg, S. et al. Age-related myelin deficits in the auditory brain stem contribute to cocktail-party deficits. bioRxiv https://doi.org/10.1101/2024.07.29.605710 (2024).
Agartz, I., Andersson, J. L. & Skare, S. Abnormal brain white matter in schizophrenia: a diffusion tensor imaging study. NeuroReport 12, 2251–2254 (2001).
Szeszko, P. R. et al. White matter abnormalities in first-episode schizophrenia or schizoaffective disorder: a diffusion tensor imaging study. Am. J. Psychiatry 162, 602–605 (2005).
Wei, W. et al. Structural covariance of depth-dependent intracortical myelination in the human brain and its application to drug-naïve schizophrenia: a T1w/T2w MRI study. Cereb. Cortex 32, 2373–2384 (2022).
Kelly, S. et al. Widespread white matter microstructural differences in schizophrenia across 4322 individuals: results from the ENIGMA Schizophrenia DTI Working Group. Mol. Psychiatry 23, 1261–1269 (2018).
Jorgensen, K. N. et al. Increased MRI-based cortical grey/white-matter contrast in sensory and motor regions in schizophrenia and bipolar disorder. Psychol. Med. 46, 1971–1985 (2016).
Leitman, D. I. et al. The neural substrates of impaired prosodic detection in schizophrenia and its sensorial antecedents. Am. J. Psychiatry 164, 474–482 (2007).
McCarthy-Jones, S. et al. Occurrence and co-occurrence of hallucinations by modality in schizophrenia-spectrum disorders. Psychiatry Res. 252, 154–160 (2017).
Lim, A. et al. Prevalence and classification of hallucinations in multiple sensory modalities in schizophrenia spectrum disorders. Schizophr. Res. 176, 493–499 (2016).
Hubl, D. et al. Pathways that make voices: white matter changes in auditory hallucinations. Arch. Gen. Psychiatry 61, 658–668 (2004).
Knöchel, C. et al. Interhemispheric hypoconnectivity in schizophrenia: fiber integrity and volume differences of the corpus callosum in patients and unaffected relatives. NeuroImage 59, 926–934 (2012).
Mulert, C. et al. Hearing voices: a role of interhemispheric auditory connectivity?. World J. Biol. Psychiatry 13, 153–158 (2012).
Wigand, M. et al. Auditory verbal hallucinations and the interhemispheric auditory pathway in chronic schizophrenia. World J. Biol. Psychiatry 16, 31–44 (2015).
Nerland, S. et al. Multisite reproducibility and test-retest reliability of the T1w/T2w-ratio: a comparison of processing methods. NeuroImage 245, 118709. https://doi.org/10.1016/j.neuroimage.2021.118709 (2021).
Uddin, M. N., Figley, T. D., Solar, K. G., Shatil, A. S. & Figley, C. R. Comparisons between multi-component myelin water fraction, T1w/T2w ratio, and diffusion tensor imaging measures in healthy human brain structures. Sci. Rep. 9, 2500 (2019).
Shams, Z., Norris, D. G. & Marques, J. P. A comparison of in vivo MRI based cortical myelin mapping using T1w/T2w and R1 mapping at 3T. PLoS ONE 14, e0218089 (2019).
Glasser, M. F. & Van Essen, D. C. Mapping human cortical areas In Vivo based on myelin content as revealed by T1- and T2-weighted MRI. J. Neurosci. 31, 11597 (2011).
Nieuwenhuys, R. & Broere, C. A map of the human neocortex showing the estimated overall myelin content of the individual architectonic areas based on the studies of Adolf Hopf. Brain Struct. Funct. 222, https://doi.org/10.1007/s00429-016-1228-7 (2017).
Eickhoff, S. et al. High-resolution MRI reflects myeloarchitecture and cytoarchitecture of human cerebral cortex. Hum. Brain Mapp. 24, 206–215 (2005).
Beer, A. et al. Tissue damage within normal appearing white matter in early multiple sclerosis: assessment by the ratio of T1- and T2-weighted MR image intensity. J. Neurol. 263, 1495–1502 (2016).
Cooper, G. et al. Standardization of T1w/T2w ratio improves detection of tissue damage in multiple sclerosis. Front Neurol. 10, 334 (2019).
Righart, R. et al. Cortical pathology in multiple sclerosis detected by the T1/T2-weighted ratio from routine magnetic resonance imaging. Ann. Neurol. 82, 519–529 (2017).
Nakamura, K., Chen, J. T., Ontaneda, D., Fox, R. J. & Trapp, B. D. T1-/T2-weighted ratio differs in demyelinated cortex in multiple sclerosis. Ann. Neurol. 82, 635–639 (2017).
Glasser, M. F., Goyal, M. S., Preuss, T. M., Raichle, M. E. & Van Essen, D. C. Trends and properties of human cerebral cortex: correlations with cortical myelin content. NeuroImage 93, 165–175 (2014).
Norbom, L. B. et al. Maturation of cortical microstructure and cognitive development in childhood and adolescence: a T1w/T2w ratio MRI study. Hum. Brain Mapp. 41, 4676–4690 (2020).
Iwatani, J. et al. Use of T1-weighted/T2-weighted magnetic resonance ratio images to elucidate changes in the schizophrenic brain. Brain Behav. 5, e00399. https://doi.org/10.1002/brb3.399 (2015).
Wei, W. et al. Depth-dependent abnormal cortical myelination in first-episode treatment-naïve schizophrenia. Hum. Brain Mapp. 41, 2782–2793 (2020).
Long, P., Wan, G., Roberts, M. T. & Corfas, G. Myelin development, plasticity, and pathology in the auditory system. Dev. Neurobiol. 78, 80–92 (2018).
Riel, H., Lee, J. B., Fisher, D. J. & Tibbo, P. G. Sex differences in event-related potential (ERP) waveforms of primary psychotic disorders: a systematic review. Int. J. Psychophysiol. 145, 119–124 (2019).
Snihur, A. W. K. & Hampson, E. Sex and ear differences in spontaneous and click-evoked otoacoustic emissions in young adults. Brain Cogn. 77, 40–47 (2011).
Neuhoff, J. G., Planisek, R. & Seifritz, E. Adaptive sex differences in auditory motion perception: looming sounds are special. J. Exp. Psychol. Hum. Percept. Perform. 35, 225–234 (2009).
Lewald, J. Gender-specific hemispheric asymmetry in auditory space perception. Cogn. Brain Res. 19, 92–99 (2004).
Clint, E. K., Sober, E., Garland, T. & Rhodes, J. S. Male superiority in spatial navigation: adaptation or side effect?. Q. Rev. Biol. 87, 289–313 (2012).
Wu, Y. C., Hill, R. A., Gogos, A. & van den Buuse, M. Sex differences and the role of estrogen in animal models of schizophrenia: interaction with BDNF. Neuroscience 239, 67–83 (2013).
Caras, M. L. Estrogenic modulation of auditory processing: a vertebrate comparison. Front. Neuroendocrinol. 34, 285–299 (2013).
Riecher-Rössler, A., Butler, S. & Kulkarni, J. Sex and gender differences in schizophrenic psychoses-a critical review. Arch. Women’s. Ment. Health 21, 627–648 (2018).
Abel, K. M., Drake, R. & Goldstein, J. M. Sex differences in schizophrenia. Int. Rev. Psychiatry 22, 417–428 (2010).
Ruytjens, L. et al. Functional sex differences in human primary auditory cortex. Eur. J. Nucl. Med. Mol. Imaging 34, 2073–2081 (2007).
Melynyte, S., Wang, G. Y. & Griskova-Bulanova, I. Gender effects on auditory P300: a systematic review. Int. J. Psychophysiol. 133, 55–65 (2018).
Pentz, A. B. et al. Mismatch negativity in schizophrenia spectrum and bipolar disorders: group and sex differences and associations with symptom severity. Schizophr. Res. 261, 80–93 (2023).
Higashima, M. et al. Neuropsychological correlates of an attention-related negative component elicited in an auditory oddball paradigm in schizophrenia. Neuropsychobiology 51, 177–182 (2005).
Sumich, A. et al. N100 and P300 amplitude to Go and No–Go variants of the auditory oddball in siblings discordant for schizophrenia. Schizophr. Res. 98, 265–277 (2008).
Schijven, D. et al. Large-scale analysis of structural brain asymmetries in schizophrenia via the ENIGMA consortium. Proc. Natl. Acad. Sci. USA 120, e2213880120. https://doi.org/10.1073/pnas.2213880120 (2023).
Barendse, M. E. A. et al. Sex and pubertal influences on the neurodevelopmental underpinnings of schizophrenia: a case for longitudinal research on adolescents. Schizophr. Res. 252, 231–241 (2023).
Owens, S. J., Murphy, C. E., Purves-Tyson, T. D., Weickert, T. W. & Shannon Weickert, C. Considering the role of adolescent sex steroids in schizophrenia. J. Neuroendocrinol. 30, e12538. https://doi.org/10.1111/jne.12538 (2018).
Hoekstra, S. et al. Sex differences in antipsychotic efficacy and side effects in schizophrenia spectrum disorder: results from the BeSt InTro study. npj Schizophr. 7, 39 (2021).
Sommer, I. E., Tiihonen, J., van Mourik, A., Tanskanen, A. & Taipale, H. The clinical course of schizophrenia in women and men—a nation-wide cohort study. npj Schizophr. 6, 12 (2020).
Slapø, N. B. et al. Auditory cortex thickness is associated with N100 amplitude in schizophrenia spectrum disorders. Schizophr. Bull. Open 4, sgad015. https://doi.org/10.1093/schizbullopen/sgad015 (2023).
Spitzer, R. L., Williams, J. B., Gibbon, M. & First, M. B. The structured clinical interview for DSM-III-R (SCID). I: history, rationale, and description. Arch. Gen. Psychiatry 49, 624–629 (1992).
Pedersen, G., Hagtvet, K. & Karterud, S. Generalizability studies of the Global Assessment of Functioning-Split version. Compr. psychiatry 48, 88–94 (2007).
Kay, S. R., Fiszbein, A. & Opler, L. A. The Positive and Negative Syndrome Scale (PANSS) for schizophrenia. Schizophr. Bull. 13, 261–276 (1987).
Fischl, B. FreeSurfer. NeuroImage 62, 774–781 (2012).
Shinohara, R. T. et al. Statistical normalization techniques for magnetic resonance imaging. NeuroImage Clin. 6, 9–19 (2014).
Destrieux, C., Fischl, B., Dale, A. & Halgren, E. Automatic parcellation of human cortical gyri and sulci using standard anatomical nomenclature. NeuroImage 53, 1–15 (2010).
Pereira, D. R. et al. Effects of inter-stimulus interval (ISI) duration on the N1 and P2 components of the auditory event-related potential. Int. J. Psychophysiol. 94, 311–318 (2014).
Delorme, A. & Makeig, S. EEGLAB: an open source toolbox for analysis of single-trial EEG dynamics including independent component analysis. J. Neurosci. Methods 134, 9–21 (2004).
Bigdely-Shamlo, N., Mullen, T., Kothe, C., Su, K. M. & Robbins, K. A. The PREP pipeline: standardized preprocessing for large-scale EEG analysis. Front. Neuroinform. 9, 16 (2015).
Pion-Tonachini, L., Kreutz-Delgado, K. & Makeig, S. ICLabel: an automated electroencephalographic independent component classifier, dataset, and website. NeuroImage 198, 181–197 (2019).
Graham, S. J., Langley, R. W., Bradshaw, C. M. & Szabadi, E. Effects of haloperidol and clozapine on prepulse inhibition of the acoustic startle response and the N1/P2 auditory evoked potential in man. J. Psychopharmacol. 15, 243–250 (2001).
Thalheimer, W. & Cook, S. How to Calculate Effect Sizes from Published Research: A Simplified Methodology (2009).
Brand, B. A., de Boer, J. N. & Sommer, I. E. C. Estrogens in schizophrenia: progress, current challenges and opportunities. Curr. Opin. Psychiatry 34, 228–237 (2021).
Dehan, C. P. & Jerger, J. Analysis of gender differences in the auditory brainstem response. Laryngoscope 100, 18–24 (1990).
McFadden, D., Hsieh, M. D., Garcia-Sierra, A. & Champlin, C. A. Differences by sex, ear, and sexual orientation in the time intervals between successive peaks in auditory evoked potentials. Hear. Res. 270, 56–64 (2010).
Hall, J. W. New Handbook of Auditory Evoked Responses (Pearson, 2007).
Eldredge, L. & Salamy, A. Functional auditory development in preterm and full term infants. Early Hum. Dev. 45, 215–228 (1996).
Maurizi, M. et al. Effects of sex on auditory brainstem responses in infancy and early childhood. Scand. Audio. 17, 143–146 (1988).
McFadden, D. Sexual orientation and the auditory system. Front. Neuroendocrinol. 32, 201–213 (2011).
Stenberg, A. E. et al. Estrogen receptors in the normal adult and developing human inner ear and in Turner’s syndrome. Hear. Res. 157, 87–92 (2001).
Andreyko, J. L. & Jaffe, R. B. Use of a gonadotropin-releasing hormone agonist analogue for treatment of cyclic auditory dysfunction. Obstet. Gynecol. 74, 506–509 (1989).
Souaid, J. P. & Rappaport, J. M. Fluctuating sensorineural hearing loss associated with the menstrual cycle. J. Otolaryngol. 30, 246–250 (2001).
Sennaroglu, G. & Belgin, E. Audiological findings in pregnancy. J. Laryngol. Otol. 115, 617–621 (2001).
Schmidt, P. M., Flores Fda, T., Rossi, A. G. & Silveira, A. F. Hearing and vestibular complaints during pregnancy. Braz. J. Otorhinolaryngol. 76, 29–33 (2010).
Kim, S. H., Kang, B. M., Chae, H. D. & Kim, C. H. The association between serum estradiol level and hearing sensitivity in postmenopausal women. Obstet. Gynecol. 99, 726–730 (2002).
Anderer, P. et al. Effects of hormone replacement therapy on perceptual and cognitive event-related potentials in menopausal insomnia. Psychoneuroendocrinology 28, 419–445 (2003).
Khaliq, F., Tandon, O. P. & Goel, N. Auditory evoked responses in postmenopausal women on hormone replacement therapy. Indian J. Physiol. Pharm. 47, 393–399 (2003).
Hultcrantz, M. Ear and hearing problems in Turner’s syndrome. Acta Otolaryngol. 123, 253–257 (2003).
Wharton, J. A. & Church, G. T. Influence of menopause on the auditory brainstem response. Audiology 29, 196–201 (1990).
Maney, D. L., Goode, C. T., Lange, H. S., Sanford, S. E. & Solomon, B. L. Estradiol modulates neural responses to song in a seasonal songbird. J. Comp. Neurol. 511, 173–186 (2008).
Long, K. L. P., Breton, J. M., Barraza, M. K., Perloff, O. S. & Kaufer, D. Hormonal regulation of oligodendrogenesis I: Effects across the lifespan. Biomolecules 11, https://doi.org/10.3390/biom11020283 (2021).
Mitchell, T. W. et al. The prevalence of MS in the United States. Neurology 92, e1029. https://doi.org/10.1212/WNL.0000000000007035 (2019).
Confavreux, C., Hutchinson, M., Hours, M. M., Cortinovis-Tourniaire, P. & Moreau, T. Rate of pregnancy-related relapse in multiple sclerosis. N. Engl. J. Med. 339, 285–291 (1998).
Godar, S. C. & Bortolato, M. Gene-sex interactions in schizophrenia: focus on dopamine neurotransmission. Front. Behav. Neurosci. 8, 71 (2014).
Bristow, G. C., Bostrom, J. A., Haroutunian, V. & Sodhi, M. S. Sex differences in GABAergic gene expression occur in the anterior cingulate cortex in schizophrenia. Schizophr. Res. 167, 57–63 (2015).
Grothe, B. & Koch, U. Dynamics of binaural processing in the mammalian sound localization pathway–the role of GABA(B) receptors. Hear. Res. 279, 43–50 (2011).
Mayko, Z. M., Roberts, P. D. & Portfors, C. V. Inhibition shapes selectivity to vocalizations in the inferior colliculus of awake mice. Front. Neural Circuits 6, 73 (2012).
Rudick, C. N. & Woolley, C. S. Estrogen regulates functional inhibition of hippocampal CA1 pyramidal cells in the adult female rat. J. Neurosci. 21, 6532–6543 (2001).
Hakak, Y. et al. Genome-wide expression analysis reveals dysregulation of myelination-related genes in chronic schizophrenia. Proc. Natl. Acad. Sci. USA 98, 4746–4751 (2001).
Vikhreva, O. V., Rakhmanova, V. I., Orlovskaya, D. D. & Uranova, N. A. Ultrastructural alterations of oligodendrocytes in prefrontal white matter in schizophrenia: a post-mortem morphometric study. Schizophr. Res. 177, 28–36 (2016).
Kolomeets, N. S. & Uranova, N. A. Reduced oligodendrocyte density in layer 5 of the prefrontal cortex in schizophrenia. Eur. Arch. Psychiatry Clin. Neurosci. 269, 379–386 (2019).
Kubicki, M. et al. A review of diffusion tensor imaging studies in schizophrenia. J. Psychiatr. Res. 41, 15–30 (2007).
Ellison-Wright, I. & Bullmore, E. Meta-analysis of diffusion tensor imaging studies in schizophrenia. Schizophr. Res. 108, 3–10 (2009).
Flynn, S. W. et al. Abnormalities of myelination in schizophrenia detected in vivo with MRI, and post-mortem with analysis of oligodendrocyte proteins. Mol. Psychiatry 8, 811–820 (2003).
Tkachev, D. et al. Oligodendrocyte dysfunction in schizophrenia and bipolar disorder. Lancet 362, 798–805 (2003).
Uranova, N. A., Vikhreva, O. V., Rachmanova, V. I. & Orlovskaya, D. D. Ultrastructural alterations of myelinated fibers and oligodendrocytes in the prefrontal cortex in schizophrenia: a postmortem morphometric study. Schizophr. Res Treat. 2011, 325789–325789 (2011).
Lang, E. J. & Rosenbluth, J. Role of myelination in the development of a uniform olivocerebellar conduction time. J. Neurophysiol. 89, 2259–2270 (2003).
Koenig, S. H. Cholesterol of myelin is the determinant of gray-white contrast in MRI of brain. Magn. Reson. Med. 20, 285–291 (1991).
Miot-Noirault, E., Barantin, L., Akoka, S. & Le Pape, A. T2 relaxation time as a marker of brain myelination: experimental MR study in two neonatal animal models. J. Neurosci. Methods 72, 5–14 (1997).
Vymazal, J. et al. Magnetic resonance imaging of brain iron in health and disease. J. Neurol. Sci. 134, 19–26 (1995).
Sellgren, C. M. et al. Increased synapse elimination by microglia in schizophrenia patient-derived models of synaptic pruning. Nat. Neurosci. 22, 374–385 (2019).
Paolicelli, R. C. et al. Synaptic pruning by microglia is necessary for normal brain development. Science 333, 1456–1458 (2011).
Glausier, J. R. & Lewis, D. A. Dendritic spine pathology in schizophrenia. Neuroscience 251, 90–107 (2013).
Glantz, L. A. & Lewis, D. A. Decreased dendritic spine density on prefrontal cortical pyramidal neurons in schizophrenia. Arch. Gen. Psychiatry 57, 65–73 (2000).
Hirano, Y. et al. Auditory cortex volume and gamma oscillation abnormalities in schizophrenia. Clin. EEG Neurosci. 51, 244–251 (2020).
Sweet, R. A., Henteleff, R. A., Zhang, W., Sampson, A. R. & Lewis, D. A. Reduced dendritic spine density in auditory cortex of subjects with schizophrenia. Neuropsychopharmacology 34, 374–389 (2009).
Parker, E. M., Kindja, N. L., Cheetham, C. E. J. & Sweet, R. A. Sex differences in dendritic spine density and morphology in auditory and visual cortices in adolescence and adulthood. Sci. Rep. 10, 9442 (2020).
de la Iglesia-Vaya, M. et al. Abnormal synchrony and effective connectivity in patients with schizophrenia and auditory hallucinations. NeuroImage Clin. 6, 171–179 (2014).
Ford, J. M., Roach, B. J., Faustman, W. O. & Mathalon, D. H. Synch before you speak: auditory hallucinations in schizophrenia. Am. J. Psychiatry 164, 458–466 (2007).
Mulert, C., Kirsch, V., Pascual-Marqui, R., McCarley, R. W. & Spencer, K. M. Long-range synchrony of gamma oscillations and auditory hallucination symptoms in schizophrenia. Int. J. Psychophysiol. 79, 55–63 (2011).
Howes, O. D., Cummings, C., Chapman, G. E. & Shatalina, E. Neuroimaging in schizophrenia: an overview of findings and their implications for synaptic changes. Neuropsychopharmacology 48, 151–167 (2023).
Lobsien, D. et al. Whole-brain diffusion tensor imaging in correlation to visual-evoked potentials in multiple sclerosis: a tract-based spatial statistics analysis. Am. J. Neuroradiol. 35, 2076 (2014).
Thio, B. J. & Grill, W. M. Relative contributions of different neural sources to the EEG. NeuroImage 275, 120179. https://doi.org/10.1016/j.neuroimage.2023.120179 (2023).
Dinse, J. et al. A cytoarchitecture-driven myelin model reveals area-specific signatures in human primary and secondary areas using ultra-high resolution in-vivo brain MRI. NeuroImage 114, 71–87 (2015).
Rosburg, T. Auditory N100 gating in patients with schizophrenia: a systematic meta-analysis. Clin. Neurophysiol. 129, 2099–2111 (2018).
Brockhaus-Dumke, A., Mueller, R., Faigle, U. & Klosterkoetter, J. Sensory gating revisited: relation between brain oscillations and auditory evoked potentials in schizophrenia. Schizophr. Res. 99, 238–249 (2008).
Mazhari, S., Price, G., Waters, F., Dragović, M. & Jablensky, A. Evidence of abnormalities in mid-latency auditory evoked responses (MLAER) in cognitive subtypes of patients with schizophrenia. Psychiatry Res. 187, 317–323 (2011).
Beasley, C. M. et al. Olanzapine versus placebo and haloperidol: acute phase results of the North American double-blind olanzapine trial. Neuropsychopharmacology 14, 111–123 (1996).
Maxwell, C. R. et al. Effects of chronic olanzapine and haloperidol differ on the mouse N1 auditory evoked potential. Neuropsychopharmacology 29, 739–746 (2004).
Baribeau-Braun, J., Picton, T. W. & Gosselin, J.-Y. Schizophrenia: a neurophysiological evaluation of abnormal information processing. Science 219, 874–876 (1983).
Barrett, K., McCallum, W. C. & Pocock, P. V. Brain indicators of altered attention and information processing in schizophrenic patients. Br. J. Psychiatry 148, 414–420 (1986).
Funding
This work was supported by the Research Council of Norway (223273, 274359, 249795, 248238), the South – Eastern Norway Regional Health Authority (2014097, 2015044, 2015073, 2017097, 2018037, 2018076, 2019104), the Norwegian Extra Foundation for Health and Rehabilitation (2015/FO5146), the European Research Council under the European Union’s Horizon 2020 research and Innovation program (ERC StG 802998), the Ebbe Frøland foundation, and a research grant from Mrs. Throne-Holst.
Author information
Authors and Affiliations
Contributions
N.B.S.: conceptualization, methodology, EEG data processing, EEG and MRI data quality control, formal analysis, investigation, visualization and writing original draft. K.N.J.: conceptualization, MRI data acquisition and processing and supervision. S.N.: MRI data acquisition and processing. L.M.-J.: review and editing of manuscript. J.H.P.: EEG data processing, review and editing of manuscript. D.R.: EEG data acquisition. N.P.: review and editing of manuscript. M.V.: EEG data acquisition and processing. A.P.: review and editing of manuscript. C.M.F.T.: EEG data acquisition. G.R.: MRI and EEG data acquisition. D.B.: MRI data acquisition. M.C.F.W.: Clinical inclusion. T.V.L.: Project administration. I.M.: Project administration. I.A.: Project administration. L.T.W.: Project administration. N.E.S.: Project administration. L.B.N.: review and editing of manuscript. O.A.A.: conceptualization and project administration. T.M.: conceptualization, EEG analyses and supervision. T.E.: conceptualization and supervision. E.G.J.: project administration, conceptualization, methodology and supervision. All co-authors contributed with review and editing of manuscript.
Corresponding author
Ethics declarations
Competing interests
T.E. is a consultant to BrainWaveBank and Sunovion and received speaker’s honoraria from Lundbeck and Janssen Cilag. O.A.A. is a consultant to cortechs.ai and received speaker’s honoraria from Lundbeck, Janssen, Sunovion. I.A. has received speaker’s honoraria from Lundbeck. The other authors report no conflict of interest.
Additional information
Publisher’s note Springer Nature remains neutral with regard to jurisdictional claims in published maps and institutional affiliations.
Supplementary information
Rights and permissions
Open Access This article is licensed under a Creative Commons Attribution-NonCommercial-NoDerivatives 4.0 International License, which permits any non-commercial use, sharing, distribution and reproduction in any medium or format, as long as you give appropriate credit to the original author(s) and the source, provide a link to the Creative Commons licence, and indicate if you modified the licensed material. You do not have permission under this licence to share adapted material derived from this article or parts of it. The images or other third party material in this article are included in the article’s Creative Commons licence, unless indicated otherwise in a credit line to the material. If material is not included in the article’s Creative Commons licence and your intended use is not permitted by statutory regulation or exceeds the permitted use, you will need to obtain permission directly from the copyright holder. To view a copy of this licence, visit http://creativecommons.org/licenses/by-nc-nd/4.0/.
About this article
Cite this article
Slapø, N.B., Jørgensen, K.N., Nerland, S. et al. Relationship between N100 amplitude and T1w/T2w-ratio in the auditory cortex in schizophrenia spectrum disorders. Schizophr 12, 34 (2026). https://doi.org/10.1038/s41537-025-00715-w
Received:
Accepted:
Published:
Version of record:
DOI: https://doi.org/10.1038/s41537-025-00715-w








