Abstract
Wildfires are emerging as a major driver of biodiversity loss, yet their long-term implications for species under climate change remain poorly quantified. Here we show that future wildfire exposure will substantially increase for 9,592 non-marine species identified as threatened by increased fire frequency and/or intensity. Under shared socioeconomic pathway 2-4.5, global burned area is projected to increase by 9.3%, with 83.9% of wildfire-vulnerable species exposed to higher risk and ~40% of South American species experiencing >50% increases. High-latitude regions exhibit the fastest intensification, with fire season duration more than doubling. Species with small ranges and elevated conservation concern—particularly in South America, Australia and South Asia—dominate the top 1% most affected taxa. In contrast, up to 41.8% of African species experience reduced exposure, revealing marked spatial asymmetry in future risk. Our results demonstrate that climate-driven shifts in wildfire exposure are highly uneven across regions and taxa, underscoring the need for targeted, region-specific conservation strategies.
Main
Anthropogenic climate change poses a profound and escalating threat to global biodiversity1,2,3,4,5,6. Unlike localized stressors such as poaching or urban development, climate change exerts large-scale, multifaceted pressures that are difficult to manage—even within protected areas7,8. Although estimates vary across studies and methods, there is broad consensus that climate change is emerging as a potentially dominant driver of species extinction4,9,10,11,12. A recent meta-analysis synthesizing 485 studies and more than five million projections suggests that, under high-emissions scenarios, up to one-third of global species may be at risk of extinction from climate change alone4. These findings underscore the urgency of reducing greenhouse gas emissions and integrating climate risks into biodiversity conservation strategies.
Climate change threatens species through two primary pathways5,13,14. Gradual climatic shifts—including warming, altered precipitation patterns and sea-level rise—erode habitat suitability and push species beyond physiological tolerance limits1,15,16,17,18,19,20. In parallel, acute climatic disturbances—such as wildfires, heatwaves and storms—can cause immediate and extensive mortality21,22,23,24. While many extinction-risk assessments have focused on long-term habitat degradation driven by climate change1,11,25,26, far less attention has been directed towards acute disturbances such as wildfires27,28,29, despite their increasing frequency and severity under climate change30,31,32,33. Notably, 15% of threatened species worldwide are already threatened by altered fire regimes33, and as fire activity intensifies, previously fire-naive regions may face elevated risk of exposure to fire or to fire intensities outside species’ evolutionary experience34.
Research on wildfire impacts remains largely regional and case-specific. For example, the 2019–2020 Australian bushfires devastated ecosystems and imperilled numerous endemic species35,36,37,38. Yet, global-scale, scenario-based projections of future wildfire exposure for species under climate change remain largely absent30,31,32,33—particularly for biomes historically unaffected by fire, such as the pan-Arctic39,40,41.
Here we address this gap by assessing long-term wildfire exposure for 9,592 species explicitly threatened by increased fire frequency and/or intensity, as well as for 41,543 non-marine species more broadly documented in the International Union for Conservation of Nature (IUCN) Red List, under multiple shared socioeconomic pathways (SSPs), which reflect alternative future trajectories of emissions and socioeconomic development. We project future burned area using the light gradient boosting machine (LightGBM), a high-performance gradient-boosting model, and estimate wildfire season duration using the Canadian Wildland Fire Weather Index System. By integrating spatial and temporal indicators of wildfire exposure across taxa and regions, our analysis provides a global projection of climate-driven wildfire exposure based on projected changes in burned area and fire season length—highlighting a critical, yet underexplored, climate–biodiversity feedback.
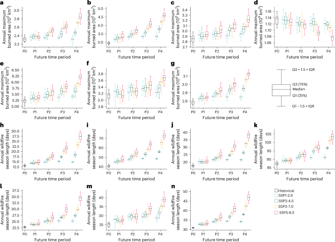
Expansion of global burned areas and wildfire season length
Projections for the twenty-first century show widespread increases in burned area across most continental regions, with Africa as the key exception. The magnitude of these changes strongly depends on the emissions scenario (Fig. 1a–g). Under higher-emissions pathways, increases in burned area intensify, while central Africa exhibits a decline (Supplementary Fig. 1), likely driven by projected increases in precipitation42.
a–g, Projected annual burned area for North America (a), South America (b), Europe (c), Africa (d), Asia (e), Oceania (f) and the global average (g). h–n, Projections of wildfire season length for North America (h), South America (i), Europe (j), Africa (k), Asia (l), Oceania (m) and the global average (n). Coloured boxplots represent five scenarios: historical (1999–2014, black), SSP1-2.6 (blue), SSP2-4.5 (green), SSP3-7.0 (yellow) and SSP5-8.5 (red). Future time periods are defined as 1999–2014 (P0), 2021–2040 (P1), 2041–2060 (P2), 2061–2080 (P3) and 2081–2100 (P4). Boxplots show the interquartile range (IQR), with box edges indicating the first (Q1) and third (Q3) quartiles; whiskers extend to values within 1.5× IQR from Q1 and Q3. Note that y-axis scales vary across panels; direct comparisons of values between panels should be made with caution. The boxplots are based on samples from 13 Coupled Model Intercomparison Project Phase 6 (CMIP6) models.
Globally, average burned area is projected to rise by 5.5%, 9.3%, 13.2% and 16.1% under SSP1-2.6, SSP2-4.5, SSP3-7.0 and SSP5-8.5, respectively (Fig. 1g). Under the moderate-emissions SSP2-4.5 scenario—considered a plausible future trajectory by the end of the century (2081–2100)—South America experiences the most pronounced increase (32.7%), with central and northern regions seeing rises of 54.1% and 44.9%, respectively (Figs. 1b and 2a and Supplementary Fig. 1). Asia follows with an 11.5% increase, concentrated in the Tibetan Plateau (27.4%), Russian Arctic (25.7%) and Russian Far East (25.1%). Europe shows a 10.1% increase. The largest projected increases occur within high-latitude regions of North America and Eurasia, and within northern and southern South America (Fig. 2a). Africa, by contrast, exhibits only a modest overall increase (1.8%), with regional variations including localized declines of 11.3%, 3.4% and 1.7% in southeastern, northeastern and central Africa, respectively. Northern and southern Africa still exhibit localized increases of 3.7–13.4%. Overall, 30.7% of Africa is projected to experience a decline in burned area.
a, Percentage increase in annual burned area relative to the reference period (1999–2014), projected for 2081–2100 under SSP2-4.5. Regional codes 1–43 shown on the map correspond to the Intergovernmental Panel on Climate Change’s Sixth Assessment Report (AR6) land regions. b–h, Proportion of species projected to experience different levels of exposure increase to burned area across continents (the numbers in parentheses indicate the number of species within each region, including those spanning multiple regions): North America (b), South America (c), Europe (d), Africa (e), Asia (f), Oceania (g) and the global average (h). Exposure levels are grouped based on percentage increases relative to the baseline. This figure is based on the dataset of 9,592 fire-threatened species.
Under SSP2-4.5, wildfire season length similarly intensifies (Fig. 1h–n and Supplementary Fig. 2). Globally, the wildfire season extends by 22.8% by the end of the century (Fig. 1n). Particularly, the most pronounced increases occur in Europe (49.1%), North America (41.2%) and South America (37.0%) (Fig. 1j,h,l), while Oceania and Asia show expansions exceeding 20%. Even in Africa—where burned area is projected to decline slightly—the wildfire season still lengthens by 10.6% (~9 days). In northeastern Africa, where both burned area and season length decline, overall wildfire exposure may decrease.
Under the high-emissions SSP5-8.5 scenario, increases in wildfire season length are more than double those projected under SSP2-4.5 across most regions, except Africa, where declines become more pronounced. A detailed regional assessment is provided in Supplementary Text 1. These findings closely align with recent regional and global projections of climate-driven changes in wildfire patterns and fire weather conditions31,43,44,45,46, reinforcing the robustness of our conclusions. They underscore the growing threat of wildfire in a warming world and its substantial regional heterogeneity, which are likely to drive complex and uneven impacts on biodiversity. Comprehensive regional projections are reported in Supplementary Tables 1 and 2.
Escalating risk of species exposure to wildfire
Species threatened by increased fire frequency and/or intensity are projected to experience substantial increases in exposure to burned area (EBA) across most regions (Fig. 2a). Globally, EBA rises progressively with higher emissions forcing (Extended Data Fig. 1). By the end of the twenty-first century (Fig. 2h), 13.5% (1,295 species) to 23.4% (2,245 species) of currently fire-threatened species are projected to experience reductions in EBA, whereas 49.3% (4,729 species) to 72.3% (6,935 species) may show increases of less than 50% across scenarios. Under the low- and intermediate-emissions pathways, only 0.6% (58 species) under SSP1-2.6 and 3.8% (365 species) under SSP2-4.5 are projected to experience more than a twofold increase in EBA. In sharp contrast, under SSP3-7.0 and SSP5-8.5, this proportion escalates to 10.9% (1,045 species) and 15.1% (1,448 species), respectively.
At the continental scale, South America emerges as the most vulnerable region. Under SSP2-4.5, nearly 40% (559 species) of currently fire-threatened species are projected to experience more than a 50% increase in EBA (Fig. 2c), rising to over 75% (1,092 species) under SSP5-8.5. North America and Europe also face substantial increases: under SSP2-4.5, 4.1% (52 species) and 21.0% (222 species), respectively, exceed a 50% EBA rise; under SSP5-8.5, these proportions climb sharply to 45.2% (578 species) and 49.4% (522 species).
In contrast, Africa shows a more favourable trajectory, with 32.1–41.8% (909–1,184 species) expected to experience reductions in EBA as emissions rise (Fig. 2e). Reductions are also projected for a subset of species in North America, Asia and Oceania, ranging from 11.6–20.4% under intermediate emissions to 7.3–17.7% under high emissions.
Regionally (refer to the AR6 regions in the ‘Study area division’ section), pronounced shifts in EBA distributions under higher emissions are projected for South America (regions 9, 10 and 12–14), Europe (region 16), Asia (region 28) and Oceania (region 43) (Extended Data Fig. 1), underscoring the strong dependence of wildfire exposure on future emissions pathways. In these hotspots, close to or more than one-third of species (29.4–84.4%) are projected to experience at least a 50% increase in EBA under SSP2-4.5 (Extended Data Fig. 2). Particularly extreme exposure is projected for South America (regions 12 and 13), where over 30% (166 species) may experience more than a doubling of wildfire exposure (>100% increase). Most of these hotspots coincide with regions historically identified as fire-sensitive for biodiversity33,47,48,49,50, indicating that climate-driven increases in wildfire exposure may compound existing vulnerabilities and heighten conservation risks in the coming decades.
Our findings underscore the intensifying threat that climate-driven wildfires pose to global biodiversity and highlight the critical role of emissions mitigation in reducing future risk. Under SSP2-4.5, projected changes in EBA vary substantially across regions and threat categories (Fig. 3). Most hotspots for increasing wildfire exposure coincide with regions that already contain the highest numbers of species listed as threatened by wildfire (Fig. 3f–j). In these areas—the Caribbean (regions 7 and 8), parts of South America (regions 9, 12 and 14), South Asia (regions 37 and 38) and Australia (regions 39–42)—species generally exhibit progressively greater EBA growth with higher threat categories51,52.
a–e, EBA change across 43 AR6 land regions for species grouped by IUCN threat categories: LC (a), NT (b), VU (c), EN (d) and CR (e). Marker shapes indicate variability among species within a region: circles for standard deviation <25%, squares for 25–50% and triangles for >50%. f–i, Proportion of species experiencing different levels of EBA change in selected hotspot regions: Caribbean (grey shading in e) (f), South America (red shading in e) (g), South Asia (purple shading in e) (h) and Australia (yellow shading in e) (i). j, Relationship between projected EBA change (%) and species’ distribution size (log10-transformed area in km2) for species. Shading shows the joint probability density; the two red dashed lines denote the 95% confidence interval of the fitted regression line (red solid line). The confidence interval was derived from the standard errors of the fitted parameters, reflecting the uncertainty in the model estimates and corresponding to a two-tailed test for parameter significance. This figure is based on the dataset of 9,592 fire-threatened species.
A broadly similar pattern emerges when using the comprehensive dataset of 41,543 terrestrial species of amphibians, reptiles, mammals, birds and plants from the IUCN Red List, which includes spatial distributions even for species not currently identified as fire-threatened (Extended Data Fig. 3). Notably, after including species not presently classified as threatened by wildfire, this expanded dataset reveals a distinct pattern in high-latitude regions (Extended Data Fig. 3). Historically, wildfire activity has been limited in these colder ecosystems due to low temperatures and unfavourable fire weather conditions53,54,55, meaning relatively few species were recognized as vulnerable to fire. However, as global warming drives the poleward expansion of wildfire, increasing numbers of high-latitude species are expected to encounter elevated exposure33. This finding emphasizes that conservation assessments focused solely on present-day threats may overlook emerging wildfire risks, underscoring the need for forward-looking strategies to safeguard high-latitude biodiversity.
In several regions, however (Fig. 3a–e and Extended Data Fig. 3a–e), these patterns do not hold consistently, suggesting that additional ecological factors shape species-level exposure. One key factor is species range size. We find a significant negative correlation between species’ range size and EBA growth (Fig. 3j): species with larger distributions, particularly those in the upper quartile of range area, tend to experience smaller increases in EBA (<200%). The regression is statistically significant (P = 0.001), and model uncertainty decreases sharply as range size increases, producing a characteristic triangular distribution. This suggests that broadly distributed species may be partially buffered against increasing wildfire exposure, potentially enhancing their resilience56,57,58. These results highlight the importance of prioritizing conservation resources for narrowly distributed, highly threatened species that are particularly susceptible to intensifying fire regimes.
To complement the EBA analysis, we also assessed changes in species’ exposure to wildfire season length (ESL) (Supplementary Text 2 and Extended Data Figs. 4 and 5). Compared with EBA, ESL displays stronger scenario dependence in most regions except Africa, indicating that emissions mitigation can substantially limit species’ exposure to prolonged fire season conditions that can exacerbate fire severity or coincide with sensitive life-history stages, a key mechanism linking climate change to biodiversity loss. Scenario sensitivity in ESL increases with latitude, mirroring the latitudinal amplification observed in EBA projections.
Although the main text focuses on SSP2-4.5 as a plausible mid-range pathway, we additionally assess SSP5-8.5 in the Supplementary Information (Supplementary Text 1) to characterize upper-bound impacts. Under high emissions, the spatial pattern of wildfire activity remains broadly similar to that under SSP2-4.5, but both burned area and wildfire season length increase more sharply. Despite their nonlinear responses to emissions forcing, the qualitative conclusions of the study remain consistent across scenarios. Moreover, even the SSP2-4.5 pathway entails substantial risks of crossing ecological and climatic thresholds, underscoring that it should not be interpreted as a ‘safe’ or risk-free future59,60,61.
We further quantified potential wildfire-driven habitat changes at the species level. Under SSP2-4.5, the top 1% most affected species (96 species) are concentrated primarily in South America (59 species—28 in region 12, 12 in region 14, 11 in region 13, 8 in region 10 and 1 in region 15), South Asia (22 species), Southern Australia (13 species) and New Zealand (2 species). These species share common ecological traits: very small geographic ranges and elevated conservation concern56,62,63 (Extended Data Fig. 6 and Supplementary Table 3).
Taxonomically, these 96 species include 46 Animalia (16 Amphibia, 12 Actinopterygii, 8 Insecta, 4 Aves, 3 Malacostraca, 1 Clitellata, 1 Petromyzonti, 1 Mammalia), 43 Plantae (41 Magnoliopsida, 2 Liliopsida) and 7 Fungi (5 Agaricomycetes, 1 Leotiomycetes, 1 Pezizomycetes). These numbers reveal substantial differences in species composition: Animalia account for 35.6% of the 9,592 species in the full dataset, and make up 47.9% of the top 1% list. Notably, 45 of the 96 species each occur in one 1° × 1° grid cell, and only five species occupy more than five cells, underscoring their extreme range restriction. In terms of conservation status, these top-exposed species include 35 (36.5%) Endangered (EN), 20 (20.8%) Vulnerable (VU), 14 (14.6%) Least Concern (LC), 14 (14.6%) Near Threatened (NT) and 13 (13.5%) Critically Endangered (CR) species. This distribution contrasts markedly with the full assessed pool, where LC species constitute 27.91%, followed by EN (26.55%), VU (20.65%), NT (13.42%) and CR (11.47%). The over-representation of EN and VU species among the top 1% suggests that already-threatened taxa are disproportionately vulnerable to wildfire-driven habitat loss. These findings are robust across scenarios: 73 of the 96 species also appear in the top 1% most exposed species under SSP5-8.5, indicating strong cross-scenario consistency in exposure risk.
By contrast, species projected to experience reductions in EBA under SSP2-4.5 (972 species; Extended Data Fig. 7) tend to have larger ranges (Extended Data Fig. 7e) and better conservation status (Extended Data Fig. 7a). Relative to the top 1% group, LC species increase from 14.6% to 26.6%, while EN and CR species decrease from 50.0% to 41.3%. Nearly one-third of these species occur in Africa (309 species)64. Fire-related threats also decline markedly for Fungi65: 57 of 191 fungal species show reduced exposure, most of them located in North America (48 species).
Avoidable wildfire threats to biodiversity
Given that current climate pledges remain insufficient to meet global temperature goals66,67, wildfire-driven biodiversity loss is likely to intensify. To evaluate the role of mitigation, we compared changes in EBA and ESL across three socioeconomic pathways: SSP2-4.5 (moderate mitigation), SSP3-7.0 (regional rivalry) and SSP5-8.5 (fossil-fuel intensive). SSP2-4.5 serves as the baseline, though achieving the Paris Agreement’s 2 °C target would still require a 28% reduction in projected 2030 emissions, according to the 2023 Emissions Gap Report68—indicating that SSP3-7.0 and SSP5-8.5 remain plausible high-risk futures.
Globally, EBA growth under SSP2-4.5 is 32.6% lower than under SSP3-7.0, and 63.4% lower than under SSP5-8.5 (Fig. 4c,d). Regions that benefit most from emissions mitigation include North America, South America, Europe and northern Asia. For instance, in North America, ESL growth is 54.7% lower under SSP2-4.5 compared with SSP3-7.0, and 97.0% lower relative to SSP5-8.5. Corresponding reductions reach 38.5% and 71.9% in South America, 48.5% and 101.2% in Europe, and 42.1% and 101.2% in northern Asia.
a–d, Spatial distribution of avoidable increases in exposure under SSP3-7.0 (a,c) and SSP5-8.5 (b,d), each relative to the moderate-emission baseline SSP2-4.5. a and b show projected differences in EBA, and c and d show differences in ESL by the end of the twenty-first century (2081–2100). e, Regional summaries of the avoidable ESL growth shown in a and b. f, Regional summaries of the avoidable EBA growth shown in a and b. Exposure differences reflect the benefits of pursuing a lower-emission pathway for biodiversity conservation across regions and threat categories. This figure is based on the dataset of 9,592 fire-threatened species. NA, North America; SA, South America; EU, Europe; AF, Africa; AS, Asia; OC, Oceania.
These effects translate into substantial avoidable wildfire exposure. Following SSP2-4.5 instead of SSP3-7.0 could prevent a 23.5% global increase in terrestrial EBA. New Zealand shows the greatest potential benefit—a dramatic 343% reduction (Fig. 4a)—followed by eastern North America (95.9%) and much of South America (up to 54.5%). Relative to SSP5-8.5, global EBA would be 35.1% lower under SSP2-4.5, with especially large benefits for New Zealand (511.9%), southern Australia (44.8%) and high-latitude regions including northern Europe (up to 70.6%), northern North America (up to 42.6%) and northern Asia (up to 33.9%) (Fig. 4b).
Consistent with earlier findings (Figs. 1 and 2), high-latitude species and biodiversity-rich regions such as South America—where many species are already listed as threatened by wildfire—are particularly sensitive to emission trajectories (Fig. 4e,f). These results demonstrate that strengthening global climate mitigation offers profound benefits for biodiversity, reducing the severity of wildfire-driven habitat loss and helping avoid irreversible ecological impacts.
Overall, our study indicates that regions such as the Amazon in South America, New Zealand and Southeast Asian countries may face heightened species-specific wildfire risks. Although these countries are not among the world’s largest greenhouse gas emitters, they are projected to experience disproportionately severe ecological impacts. Moreover, as global warming intensifies, high-latitude regions are also expected to face increasing wildfire threats. This suggests that conservation policies in these areas should proactively consider species that have historically not been exposed to wildfire, as their vulnerability may grow under future fire regimes. Integrating these projections into species protection planning is, therefore, crucial to anticipate emerging risks and prioritize mitigation strategies effectively.
Conclusion
We assessed projected changes in species exposure to wildfire using both burned area and wildfire season length, drawing on species-specific and climate-zone analyses. Our results indicate that wildfire activity is expected to increase substantially across most regions by the end of the twenty-first century—particularly in terms of burned area and season length—except in central Africa, where changes in precipitation and land use may dampen future fire risk. A clear poleward expansion of wildfire activity is projected, with high-latitude regions showing emerging and heightened vulnerability. These ecosystems are highly sensitive to warming, and even modest climatic shifts can substantially alter wildfire behaviour40,69,70.
As a consequence, species in high-latitude areas are projected to face the largest relative increases in wildfire exposure, despite currently low baseline levels. This underscores the importance of proactive intervention. Moreover, species already listed at higher threat levels are expected to experience disproportionately large increases in fire exposure. Amphibians in South America, especially range-restricted taxa, emerge as particularly vulnerable, reinforcing earlier meta-analytical findings4,12.
Our findings highlight the urgent need for regionally tailored, species-specific strategies to mitigate biodiversity loss from future wildfire regimes. Many species are already threatened by changing fire regimes (represented by the area burned and the length of the wildfire season), and further climate-driven intensification may greatly exacerbate these risks. Even where species have evolved to persist with fire, climate change may alter severity, frequency, duration and spatial extent—or introduce fire to previously fire-free ecosystems—potentially exceeding species’ natural resilience. The rapid declines observed in some taxa in Australia following extreme fires illustrate this vulnerability. In addition to amplifying risks in fire-prone regions, our projections indicate new fire threats in high-latitude ecosystems, where ecological resilience is expected to be minimal40. Future work will need to focus on individual species and ecosystems to pinpoint these risks for individual species and design mitigation efforts to prevent losses71.
Although this study provides a global-scale perspective, future efforts should prioritize high-resolution projections in identified hotspots and incorporate biological information on species’ sensitivity and adaptive capacity when available31,33,72,73. While most species are negatively affected by increasing wildfire exposure, a subset may benefit from fire. Wildfire effects depend strongly on species’ intrinsic resilience; in some cases, fire can enhance regeneration, facilitate seed dispersal or maintain open habitats. These ‘fire-adapted’ or ‘fire-facilitated’ species often rely on periodic burning for key life-history processes33,74,75. Future work should further investigate the population dynamics of such species under changing fire regimes and their interactions with threatened taxa to develop a more comprehensive view of ecosystem responses.
To improve extinction-risk estimates and guide targeted conservation planning, future research should couple global projections with ecological models that incorporate species-specific fire sensitivities. Strengthening such integrative approaches will be essential for anticipating—and mitigating—the biodiversity consequences of an increasingly fire-prone world.
Methods
Data
We used monthly burned area data from version 5 of the Global Fire Emissions Database (GFED5)76 for 1997–2020 to calculate the annual maximum burned area, which is used as a proxy for wildfire-related risk. For the period 2001–2020, GFED5 utilized the moderate resolution imaging spectroradiometer MCD64A1 burned area product, applying corrections to account for commission and omission errors. To extend the time series back to 1997, GFED5 incorporated active fire data from the along-track scanning radiometer and the visible and infrared scanner. We focus on burned area as a key metric for assessing impacts on species diversity77,78,79. Burned area not only captures the spatial extent of potential habitat change, but also indirectly reflects fire frequency and intensity, providing an integrated measure of fire pressure80,81. By emphasizing burned area, we can identify species and regions most exposed to wildfire areas, supporting more effective biodiversity conservation. For conducting long-term, global-scale assessments and for projections based on climate model data, climate-scale burned area is more robust and reliable than event-scale fire metrics, such as fire intensity or duration.
Meteorological variables from the European Centre for Medium-Range Weather Forecasts (ECMWF) Reanalysis version 5 (ERA5) reanalysis dataset are used in training the wildfire burned area prediction model82. These include surface pressure, surface air temperature, precipitation, total cloud cover, surface wind speed, shallow soil moisture (0–7 cm) and surface relative humidity. Leaf Area Index (LAI) data are sourced from the LAI 1999–2020 dataset83, originally at a 10-day resolution and down sampled to monthly scale for consistency. LAI is derived from SPOT-VEGETATION and PROBA-V satellite data.
Future wildfire projections are based on 13 CMIP6 models that meet the requirements for the necessary wildfire prediction variables (Supplementary Table 4). We use the first ensemble member from each climate model under four SSPs: SSP1-2.6 (sustainability), SSP2-4.5 (moderate development), SSP3-7.0 (regional rivalry) and SSP5-8.5 (fossil-fuel-driven growth). Specifically, SSP1-2.6 reaches ~2.6 W m−2, SSP2-4.5 reaches ~4.5 W m−2, SSP3-7.0 reaches ~7.0 W m−2 and SSP5-8.5 reaches ~8.5 W m−2. These SSPs represent alternative trajectories of global socioeconomic development, energy use and greenhouse gas emissions, corresponding to different radiative forcing levels by the end of the twenty-first century. By considering multiple SSPs, we capture a wide range of potential future climates and associated wildfire risks. To account for inter-model variability and reduce uncertainty, wildfire projections are ensemble-averaged across models, providing a more robust estimate of potential exposure for species under future climate scenarios.
A total of 9,592 species distribution data for Animalia (3,411), Plantae (5,926) and Fungi (191) were obtained from the IUCN Red List (https://www.iucnredlist.org/). These species comprise all those reported by the IUCN as being threatened by increased fire frequency/intensity. Duplicate species entries were merged by taking the union of their spatial extents. Notably, a total of 11,399 species identified by the IUCN as threatened by increasing wildfire frequency/intensity were retrieved, of which 1,807 species (15.9%) were, therefore, excluded from the present study due to unavailable distribution data. Supplementary Fig. 3b shows the spatial distribution of these species, and Supplementary Table 5 provides the number of species across five threat categories: CR (1,100 species), EN (2,547 species), VU (1,981 species), NT (1,287 species) and LC (2,677 species). Species identified by the IUCN as threatened by increased wildfire frequency/intensity show considerable overlap with wildfire hotspots over the past two decades, especially in certain regions of South America, Africa and Oceania (Supplementary Figs. 3b and 4c), highlighting the consistency and reliability of the datasets used in this study. In addition, we reproduced and compared the key analyses using a more comprehensive dataset of 41,543 terrestrial species provided by the IUCN (Supplementary Table 6)—including Aves, Plantae, Reptilia, Amphibia and Mammalia—covering both species identified as threatened by increased fire frequency/intensity and those that are threatened more generally by any disturbance. These data represent thoroughly assessed species groups for which spatial distribution polygons are available (https://www.iucnredlist.org/resources/spatial-data-download), further underscoring the robustness and broad applicability of our findings. These species represent 36.01% of the IUCN retrievable records for Aves, Plantae, Reptilia, Amphibia and Mammalia.
All data were interpolated to a common spatial resolution of 1° × 1° to reconcile differences in native resolutions. Temporal coverage includes observational data (1999–2020), a historical reference period (1999–2014), near-term projections (2020–2040), mid-century projections (2040–2060), late-century projections (2060–2080) and end-of-century projections (2080–2100).
Study area division
This study adopted the AR6 (https://www.ipcc.ch/assessment-report/ar6/) regional classifications to assess climate change impacts more effectively84. We analysed 43 land regions (excluding Antarctica and Greenland) and grouped them into six continental zones: North America (regions 1–8), South America (regions 9–15), Europe (regions 16–19), Africa (regions 20–27), Asia (regions 28–38) and Oceania (regions 39–43) (Supplementary Fig. 3c). Since species can be distributed across multiple regions (with 1,197 out of 9,592 species), the total number of species across all regions may exceed the actual species count. To clarify, all analyses at the regional scale are constrained by the respective regional boundaries when clipping species distributions, whereas analyses at the species scale (mainly referring to Extended Data Figs. 6 and 7 and Supplementary Table 3) are not subject to any boundary clipping.
Fire Weather Index
Fire weather conditions are key drivers of wildfire activity. We used the Fire Weather Index (FWI) calculated with the Canadian methodology85, as applied to ERA5 data and CMIP6 simulations. The FWI captures atmospheric conditions favouring fire ignition and spread, integrating variables such as temperature, humidity, wind and precipitation. The system comprises indices like the Fine Fuel Moisture Code, Duff Moisture Code and Drought Code, which are combined into the Initial Spread Index and Buildup Index, culminating in the final FWI score86.
The FWI requires four daily surface variables: maximum surface air temperature, minimum surface relative humidity, precipitation and surface wind speed. The length of the fire season is defined as the number of days during which the FWI exceeds the local threshold of that grid, calculated as the midpoint of the historical extrema over the reference period 1850–190030,87. Although FWI is a nonlinear composite index, it is compatible with models using single-variable predictors. The analysis of the FWI and fire season length over the reference period is largely consistent with previous studies85,87.
Machine learning prediction model
Two major modelling paradigms are commonly used to project wildfire activity. The first involves process-based global fire models, such as those developed within the Fire Model Intercomparison Project (FireMIP) and CMIP688,89. These models explicitly simulate fire occurrence, spread and termination, but they also exhibit well-documented limitations: many fail to reproduce the observed global decline in burned areas, struggle to capture extreme fire events and display substantial inter-model variability90,91.
The second paradigm consists of empirical fire models92,93,94, which link burned area or other fire metrics to environmental predictors using statistical or machine learning approaches, as in the present study. These models typically incorporate climate, vegetation and fuel characteristics, topography, human influence and ignition sources31,95. In this study, we focused primarily on climate-related predictors, consistent with our aim of isolating the impacts of climate change on future burned areas. We applied the LightGBM algorithm96 to predict wildfire burned area. LightGBM is a tree-based ensemble learning method designed for high efficiency and strong predictive performance, even with large datasets and correlated features. It builds multiple decision trees iteratively to minimize prediction error.
Input variables included four geographic attributes (month, used to represent seasonal position, latitude, longitude, biome, latitude, longitude and biome), one ecological factor (LAI) and seven climate variables (surface pressure, surface wind speed, precipitation, surface air temperature, total cloud cover, shallow soil moisture and FWI). These cover both direct meteorological drivers and ecological or geographic modifiers of wildfire behaviour. This study used the global biogeographic regionalization of terrestrial biodiversity proposed in ref. 97, which categorizes land areas into 16 distinct biomes (Supplementary Fig. 3a). Including biomes helps capture the fire regime differences across ecosystem types, while LAI serves as a key proxy for fuel availability. Since burned area is an output of our machine learning prediction model, the effects of wildfire on LAI are reflected only passively, and the model does not account for fully coupled feedbacks between vegetation and fire. The model assumes that the relationship between climate variables and burned area is stable and persists under future climate change scenarios.
Training data spans 1999–2014, with 2015–2020 reserved for model testing. Inputs are standardized before model training; predictions are then inverse-transformed to reflect real-world units. The model is implemented using Python with the LightGBM and scikit-learn libraries. The model parameters were selected based on a grid search procedure to optimize predictive performance. The final configuration is as follows: the model uses 1,000 boosting iterations, with a learning rate of 0.05, a maximum tree depth of 15, a maximum of 60 leaves per tree, a minimum of 10 samples per leaf and random sampling of 80% of features when building each tree. Regularization is applied through penalties on both the absolute and squared values of leaf weights. This configuration balances model complexity and generalization: the moderate maximum depth and number of leaves prevent overfitting, while the regularization penalties further constrain model flexibility. The large number of boosting iterations combined with a small learning rate allows the model to learn complex nonlinear relationships between input variables and burned area while maintaining stable convergence. Because latitudinal climate and biome gradients are already captured by the included predictors, longitude emerges as a slightly more influential spatial descriptor (Supplementary Fig. 4b), reflecting regional heterogeneity that climate variables alone cannot explain, such as human activity and land use.
Model performance was evaluated using root mean squared error (RMSE), mean absolute error (MAE) and R-squared (R2). RMSE emphasizes larger errors, while MAE reflects average deviation. R2 indicates the proportion of variance explained by the model. Lower RMSE and MAE, along with higher R2, signify better predictive performance:
where \({y}_{i}\) denotes the burned area in month i, \({\hat{y}}_{i}\) is the predicted burned area in month i and \(\bar{y}\) means the averaged burned area.
The test dataset evaluation shows that the trained model achieves an R2 score of 0.84, indicating strong agreement between predicted and observed values. The RMSE and MAE are 144.8 km2 and 71.4 km2, respectively (Supplementary Fig. 4a,b), both less than one-third the standard deviation, highlighting the model’s accuracy and reliability. Spatially, the model captures key global wildfire hotspots, including South America, Africa, Oceania, South Asia, Northeast Asia and West Asia (Supplementary Fig. 4c,d). While burned areas are slightly underestimated in Asia and slightly overestimated in South America, the errors remain below 1% of the respective grid cell areas. Since the LightGBM model is deterministic and does not directly produce probabilistic output, the uncertainties and confidence intervals reported in this study (Supplementary Tables 1 and 3) are derived from the inter-model variability across 13 CMIP6 models, rather than reflecting the predictive uncertainty of the LightGBM model itself. Moreover, because subsequent exposure estimates are based on relative changes between future scenarios and historical simulations, any systematic bias in the machine learning prediction model is effectively cancelled out.
Comparisons across empirical, mechanistic and emerging hybrid modelling frameworks indicate that no single approach is without limitations. Nonetheless, the climate-driven patterns projected by our model closely align with the dominant signals reported in recent global and regional fire assessments31, supporting the robustness of our conclusions.
Species exposure to wildfire burned area and wildfire season length
This study focuses on climate-driven wildfire changes91,98, treating wildfire impacts on species as indirect consequences of climate change under different SSPs. To assess the potential threat of future changes in wildfire burned area and wildfire season length to species from both temporal and spatial perspectives, we used the concept of exposure. Species EBA is defined as the total annual maximum burned area within a species’ distribution (unit: km2). Similarly, ESL is defined as the average fire season length across a species’ distribution range (unit: days). Besides exposure, vulnerability depends on sensitivity and adaptability in the approach referred to as climate change vulnerability assessment99,100. Oftentimes, traits are used to describe differential sensitivities among species. However, in this case, traits are not known for most of the thousands of species in this study. Instead, we use the IUCN’s expert analysis of wildfire threats to select the subset of species that would be predicted to be most sensitive to wildfire risks. We did not estimate adaptability in this study because of a lack of sufficient data on dispersal and evolutionary rates.
We focused on burned area as the primary indicator for assessing wildfire activity and its potential ecological impacts. Compared with other fire metrics, such as fire intensity or duration, burned area data are more robust and consistent across regions and time, owing to advances in satellite-based remote sensing that allow long-term and globally comparable observations. Current global burned area products provide continuous, quality-controlled records that have been widely validated and are, therefore, suitable for large-scale modelling. Moreover, burned area directly reflects the spatial extent of habitat loss and ecosystem disturbance, making it an ecologically meaningful variable for evaluating wildfire exposure under climate change. While wildfire impacts are multidimensional—varying with landscape patterns, fire intensity and severity, and return intervals—these aspects are currently difficult to capture robustly at the global scale due to limitations in observational data and model representation. Fire-related weather conditions and non-climate factors, which influence these nuanced fire characteristics, were incorporated as predictor variables in our burned area models, so the projected burned area partially reflects these combined effects. This focus is particularly important given the current lack of studies projecting future burned area and the gaps in integrating such projections into ecological and species conservation assessments.
Given the large number of species and their varied spatial distributions, we aggregate and present results at the AR6 regional level for clarity. For each AR6 land region, we identified the species occurring within its boundaries and computed EBA and ESL for each species. We then calculated the percentage change in both exposure metrics relative to the baseline period (1999–2014, the end year of the reference period is constrained by the historical simulations) for four future intervals: 2020–2040, 2040–2060, 2060–2080 and 2080–2100. These percentage changes were grouped into six categories: <0%, 0–50%, 50–100%, 100–150%, 150–200% and >200%. Finally, we counted the number of species falling into each percentage change group.
This study focuses on relative rather than absolute changes in exposure, as species vary greatly in distribution size. Using absolute changes would result in large discrepancies across species—sometimes differing by orders of magnitude—thereby diminishing the interpretability of regional averages.
Our analysis assesses future wildfire exposure based on current species distributions, implicitly assuming that species ranges remain constant under climate change and are not influenced by other environmental factors. We did not explicitly model species range shifts, as incorporating migration and dispersal dynamics at the global scale remains a substantial and ongoing challenge. Importantly, despite this constraint, our findings remain highly relevant, particularly for high-latitude regions, where even small changes in wildfire risk may have pronounced impacts on species currently adapted to historically fire-free environments.
Data availability
ERA5 reanalysis products are available from https://cds.climate.copernicus.eu/datasets/reanalysis-era5-land-monthly-means?tab=overview. CMIP6 simulations can be accessed at https://esgf-node.ipsl.upmc.fr/search/cmip6-ipsl/. The LAI dataset can be obtained from https://land.copernicus.eu/en/products/vegetation/leaf-area-index-v2-0-1km. The GFED5 dataset can be obtained from https://www.globalfiredata.org/. Distribution data of species can be obtained from https://www.iucnredlist.org/. Supplementary Table 7 listing abbreviations and their corresponding full names is provided to facilitate data interpretation.
Code availability
The code of the FWI calculation is available via GitHub at https://github.com/yquilcaille/FWI_CMIP6. The code for the analysis and mapping can be obtained via GitHub at https://github.com/xiaoyeyang1024/Wildfire-Risk-for-Species/ (ref. 101). Maps presented in this study were generated using the Cartopy projection library for geospatial visualization. No commercial map tiles or proprietary geographic products were used. All geographic features are derived from open-source resources provided through Cartopy, and, therefore, do not involve copyright restrictions.
References
Thomas, C. D. et al. Extinction risk from climate change. Nature 427, 145–148 (2004).
Pereira, H. M. et al. Scenarios for global biodiversity in the 21st century. Science 330, 1496–1501 (2010).
Dawson, T. P., Jackson, S. T., House, J. I., Prentice, I. C. & Mace, G. M. Beyond predictions: biodiversity conservation in a changing climate. Science 332, 53–58 (2011).
Urban, M. C. Climate change extinctions. Science 386, 1123–1128 (2024).
Lambers, J. H. R. Extinction risks from climate change. Science 348, 501–502 (2015).
Norberg, J., Urban, M. C., Vellend, M., Klausmeier, C. A. & Loeuille, N. Eco-evolutionary responses of biodiversity to climate change. Nat. Clim. Change 2, 747–751 (2012).
Monzón, J., Moyer-Horner, L. & Palamar, M. B. Climate change and species range dynamics in protected areas. BioScience 61, 752–761 (2011).
Gillingham, P. K. et al. Climate change adaptation for biodiversity in protected areas: an overview of actions. Biol. Conserv. 289, 110375 (2024).
Parmesan, C. & Yohe, G. A globally coherent fingerprint of climate change impacts across natural systems. Nature 421, 37–42 (2003).
Chen, I.-C., Hill, J. K., Ohlemüller, R., Roy, D. B. & Thomas, C. D. Rapid range shifts of species associated with high levels of climate warming. Science 333, 1024–1026 (2011).
He, F. & Hubbell, S. P. Species–area relationships always overestimate extinction rates from habitat loss. Nature 473, 368–371 (2011).
Urban, M. C. Accelerating extinction risk from climate change. Science 348, 571–573 (2015).
Thomas, C. D. & Williamson, M. Extinction and climate change. Nature 482, E4–5 (2012).
Cahill, A. E. et al. How does climate change cause extinction?. Proc. R. Soc. B. 280, 20121890 (2013).
Deutsch, C. A. et al. Impacts of climate warming on terrestrial ectotherms across latitude. Proc. Natl Acad. Sci. USA 105, 6668–6672 (2008).
Bellard, C., Leclerc, C. & Courchamp, F. Impact of sea level rise on the 10 insular biodiversity hotspots. Glob. Ecol. Biogeogr. 23, 203–212 (2014).
Taillie, P. J. et al. Sea level rise adaptation pushes an insular endemic rodent closer to extinction. Biodivers. Conserv. 32, 3939–3952 (2023).
Powers, R. P. & Jetz, W. Global habitat loss and extinction risk of terrestrial vertebrates under future land-use-change scenarios. Nat. Clim. Change 9, 323–329 (2019).
Duffy, K., Gouhier, T. C. & Ganguly, A. R. Climate-mediated shifts in temperature fluctuations promote extinction risk. Nat. Clim. Change 12, 1037–1044 (2022).
Roberts, C. P., Allen, C. R., Angeler, D. G. & Twidwell, D. Shifting avian spatial regimes in a changing climate. Nat. Clim. Change 9, 562–566 (2019).
Colomer, M. À., Montori, A., García, E. & Fondevilla, C. Using a bioinspired model to determine the extinction risk of Calotriton asper populations as a result of an increase in extreme rainfall in a scenario of climatic change. Ecol. Model. 281, 111534 (2014).
Potvin, D. A. et al. Genetic erosion and escalating extinction risk in frogs with increasing wildfire frequency. J. Appl. Ecol. 54, 945–954 (2017).
Duguy, B. et al. in Regional Assessment of Climate Change in the Mediterranean Vol. 51 (eds Navarra, A. & Tubiana, L.) 101–134 (Springer Netherlands, 2013).
Dorey, J. B. et al. Continental risk assessment for understudied taxa post-catastrophic wildfire indicates severe impacts on the Australian bee fauna. Glob. Change Biol. 27, 6551–6567 (2021).
Bakkenes, M., Alkemade, J. R. M., Ihle, F., Leemans, R. & Latour, J. B. Assessing effects of forecasted climate change on the diversity and distribution of European higher plants for 2050. Glob. Change Biol. 8, 390–407 (2002).
Couce, E., Cowburn, B., Clare, D. & Bluemel, J. K. Paris Agreement could prevent regional mass extinctions of coral species. Glob. Change Biol. 29, 3794–3805 (2023).
Lanet, M., Li, L. & Treut, H. Substantial increase in wildfire danger conditions under anthropogenic climate change in Southwest France. NPJ Nat. Hazards 2, 70 (2025).
Capitanio, J. P., Del Rosso, L. A., Gee, N. & Lasley, B. L. Adverse biobehavioral effects in infants resulting from pregnant rhesus macaques’ exposure to wildfire smoke. Nat. Commun. 13, 1774 (2022).
Brown, P. T. et al. Climate warming increases extreme daily wildfire growth risk in California. Nature 621, 760–766 (2023).
Abatzoglou, J. T., Williams, A. P. & Barbero, R. Global emergence of anthropogenic climate change in fire weather indices. Geophys. Res. Lett. 46, 326–336 (2019).
Zhang, G., Wang, M., Yang, B. & Liu, K. Current and future patterns of global wildfire based on deep neural networks. Earth’s Future 12, e2023EF004088 (2024).
Nowell, B., Jones, K. & McGovern, S. Changing wildfire complexity highlights the need for institutional adaptation. Nat. Clim. Change 15, 736–743 (2025).
Kelly, L. T. et al. Fire and biodiversity in the Anthropocene. Science 370, eabb0355 (2020).
Keppel, G., Stralberg, D., Morelli, T. L. & Bátori, Z. Managing climate-change refugia to prevent extinctions. Trends Ecol. Evol. 39, 800–808 (2024).
Collins, L. et al. The 2019/2020 mega-fires exposed Australian ecosystems to an unprecedented extent of high-severity fire. Environ. Res. Lett. 16, 044029 (2021).
Ward, M. et al. Impact of 2019–2020 mega-fires on Australian fauna habitat. Nat. Ecol. Evol. 4, 1321–1326 (2020).
Driscoll, D. A. et al. Biodiversity impacts of the 2019–2020 Australian megafires. Nature 635, 898–905 (2024).
Rumpff, L., Legge, S. M., van Leeuwen, S., Wintle, B. A. & Woinarski, J. C. Z. Australia’s Megafires: Biodiversity Impacts and Lessons from 2019-2020 (CSIRO, 2023).
Irannezhad, M., Liu, J., Ahmadi, B. & Chen, D. The dangers of arctic zombie wildfires. Science 369, 1171 (2020).
Descals, A. et al. Unprecedented fire activity above the arctic circle linked to rising temperatures. Science 378, 532–537 (2022).
Yin, Z., Zhang, Y., He, S. & Wang, H. Warm Arctic-Cold Eurasia pattern helps predict spring wildfire burned area in West Siberia. Nat. Commun. 15, 9041 (2024).
Ayugi, B. et al. East African population exposure to precipitation extremes under 1.5 °C and 2.0 °C warming levels based on CMIP6 models. Environ. Res. Lett. 17, 044051 (2022).
Bryant, B. P. & Westerling, A. L. Scenarios for future wildfire risk in California: links between changing demography, land use, climate, and wildfire. Environmetrics 25, 454–471 (2014).
Dupuy, J. et al. Climate change impact on future wildfire danger and activity in southern Europe: a review. Ann. For. Sci. 77, 35 (2020).
Richardson, D. et al. Global increase in wildfire potential from compound fire weather and drought. NPJ Clim. Atmos. Sci. 5, 23 (2022).
Wang, X., Swystun, T. & Flannigan, M. D. Future wildfire extent and frequency determined by the longest fire-conducive weather spell. Sci. Total Environ. 830, 154752 (2022).
Giorgis, M. A. et al. A review of fire effects across South American ecosystems: the role of climate and time since fire. Fire Ecol. 17, 11 (2021).
Barlow, J., Berenguer, E., Carmenta, R. & França, F. Clarifying Amazonia’s burning crisis. Glob. Change Biol. 26, 319–321 (2020).
Barrett, K. et al. Postfire recruitment failure in Scots pine forests of southern Siberia. Remote Sens. Environ. 237, 111539 (2020).
Hu, F. S. et al. Arctic tundra fires: natural variability and responses to climate change. Front. Ecol. Environ. 13, 369–377 (2015).
Stanton, J. C., Shoemaker, K. T., Pearson, R. G. & Akçakaya, H. R. Warning times for species extinctions due to climate change. Glob. Change Biol. 21, 1066–1077 (2015).
Ripple, W. J., Wolf, C., Gregg, J. W. & Torres-Romero, E. J. Climate change threats to Earth’s wild animals. BioScience 75, 519–523 (2025).
Glückler, R. et al. Wildfire history of the boreal forest of south-western Yakutia (Siberia) over the last two millennia documented by a lake-sediment charcoal record. Biogeosciences 18, 4185–4209 (2021).
Schmidt, J. I., Ziel, R. H., Calef, M. P. & Varvak, A. Spatial distribution of wildfire threat in the far north: exposure assessment in boreal communities. Nat. Hazards 120, 4901–4924 (2024).
Lund, M. T., Nordling, K., Gjelsvik, A. B. & Samset, B. H. The influence of variability on fire weather conditions in high latitude regions under present and future global warming. Environ. Res. Commun. 5, 065016 (2023).
O’Neil, S. T. et al. Wildfire and the ecological niche: diminishing habitat suitability for an indicator species within semi-arid ecosystems. Glob. Change Biol. 26, 6296–6312 (2020).
Ainsworth, A. & Drake, D. R. Classifying Hawaiian plant species along a habitat generalist-specialist continuum: implications for species conservation under climate change. PLOS ONE 15, e0228573 (2020).
Lazzari, J., Sato, C. F. & Driscoll, D. A. Traits influence reptile responses to fire in a fragmented agricultural landscape. Landsc. Ecol. 37, 2363–2382 (2022).
Lenton, T. M. Tipping points in the climate system. Weather 76, 325–326 (2021).
Lenton, T. M. et al. Climate tipping points — too risky to bet against. Nature 575, 592–595 (2019).
IPCC Climate Change 2023: Synthesis Report (eds Core Writing Team, Lee, H. & Romero, J.) (IPCC, 2023).
Williams, S. E. et al. Ecological specialization and population size in a biodiversity hotspot: how rare species avoid extinction. Proc. Natl Acad. Sci. USA 106, 19737–19741 (2009).
Merrick, M. J., Morandini, M., Greer, V. L. & Koprowski, J. L. Endemic population response to increasingly severe fire: a cascade of endangerment for the Mt. Graham red squirrel. BioScience 71, 161–173 (2021).
Zubkova, M., Boschetti, L., Abatzoglou, J. T. & Giglio, L. Changes in fire activity in Africa from 2002 to 2016 and their potential drivers. Geophys. Res. Lett. 46, 7643–7653 (2019).
Dove, N. C. & Hart, S. C. Fire reduces fungal species richness and in situ mycorrhizal colonization: a meta-analysis. Fire Ecol. 13, 37–65 (2017).
Matthews, H. D. & Wynes, S. Current global efforts are insufficient to limit warming to 1.5 °C. Science 376, 1404–1409 (2022).
Geiges, A. et al. Incremental improvements of 2030 targets insufficient to achieve the Paris Agreement goals. Earth Syst. Dynam. 11, 697–708 (2020).
United Nations Environment Programme. Emissions Gap Report 2023: Broken Record – Temperatures Hit New Highs, Yet World Fails to Cut Emissions (Again). (United Nations Environment Programme, 2023); https://wedocs.unep.org/handle/20.500.11822/43922
Senande-Rivera, M., Insua-Costa, D. & Miguez-Macho, G. Spatial and temporal expansion of global wildland fire activity in response to climate change. Nat. Commun. 13, 1208 (2022).
Zhao, H. et al. Future enhanced threshold effects of wildfire drivers could increase burned areas in northern mid- and high latitudes. Commun. Earth Environ. 6, 224 (2025).
Urban, M. C. et al. Improving the forecast for biodiversity under climate change. Science 353, aad8466 (2016).
Brown, E. K., Wang, J. & Feng, Y. US wildfire potential: a historical view and future projection using high-resolution climate data. Environ. Res. Lett. 16, 034060 (2021).
Ciocca, I. et al. Increased wildfire hazard along South-Central Chile under the RCP8.5 scenario as revealed by high-resolution modeling. Environ. Res. Lett. 18, 034023 (2023).
Keeley, J. E. & Pausas, J. G. Evolutionary ecology of fire. Annu. Rev. Ecol. Evol. Syst. 53, 203–225 (2022).
Bond, W. J. & Keeley, J. E. Fire as a global ‘herbivore’: the ecology and evolution of flammable ecosystems. Trends Ecol. Evol. 20, 387–394 (2005).
Chen, Y. et al. Multi-decadal trends and variability in burned area from the fifth version of the Global Fire Emissions Database (GFED5). Earth Syst. Sci. Data 15, 5227–5259 (2023).
Walesiak, M., Mikusiński, G., Borowski, Z. & Żmihorski, M. Large fire initially reduces bird diversity in Poland’s largest wetland biodiversity hotspot. Biodivers. Conserv. 31, 1037–1056 (2022).
Arrogante-Funes, F., Aguado, I. & Chuvieco, E. Global impacts of fire regimes on wildland bird diversity. Fire Ecol. 20, 25 (2024).
Harrison, M. E. et al. Impacts of fire and prospects for recovery in a tropical peat forest ecosystem. Proc. Natl Acad. Sci. USA 121, e2307216121 (2024).
Fernández-García, V. & Alonso-González, E. Global patterns and dynamics of burned area and burn severity. Remote Sens. 15, 3401 (2023).
Lutz, J. A., Key, C. H., Kolden, C. A., Kane, J. T. & van Wagtendonk, J. W. Fire frequency, area burned, and severity: a quantitative approach to defining a normal fire year. Fire Ecol. 7, 51–65 (2011).
Hersbach, H. et al. The ERA5 global reanalysis. Q. J. R. Meteorol. Soc. 146, 1999–2049 (2020).
Verger, A. et al. GEOV2: improved smoothed and gap filled time series of LAI, FAPAR and FCover 1 km Copernicus Global Land products. Int. J. Appl. Earth Obs. Geoinf. 123, 103479 (2023).
Iturbide, M. et al. An update of IPCC climate reference regions for subcontinental analysis of climate model data: definition and aggregated datasets. Earth Syst. Sci. Data 12, 2959–2970 (2020).
Quilcaille, Y., Batibeniz, F., Ribeiro, A. F. S., Padrón, R. S. & Seneviratne, S. I. Fire weather index data under historical and shared socioeconomic pathway projections in the 6th phase of the Coupled Model Intercomparison Project from 1850 to 2100. Earth Syst. Sci. Data 15, 2153–2177 (2023).
van Wagner, E. Development and structure of the Canadian Forest Fire Weather Index System Forestry Technical Report No. 35 (Canadian Forestry Service, 1987).
Jolly, W. M. et al. Climate-induced variations in global wildfire danger from 1979 to 2013. Nat. Commun. 6, 7537 (2015).
Hantson, S. et al. The status and challenge of global fire modelling. Biogeosciences 13, 3359–3375 (2016).
Rabin, S. S. et al. The Fire Modeling Intercomparison Project (FireMIP), phase 1: experimental and analytical protocols with detailed model descriptions. Geosci. Model Dev. 10, 1175–1197 (2017).
Yu, Y. et al. Machine learning–based observation-constrained projections reveal elevated global socioeconomic risks from wildfire. Nat. Commun. 13, 1250 (2022).
Andela, N. et al. A human-driven decline in global burned area. Science 356, 1356–1362 (2017).
Anderegg, W. R. L. et al. Future climate risks from stress, insects and fire across US forests. Ecol. Lett. 25, 1510–1520 (2022).
Barbero, R., Abatzoglou, J. T., Steel, E. A. & Larkin, K. N. Modeling very large-fire occurrences over the continental United States from weather and climate forcing. Environ. Res. Lett. 9, 124009 (2014).
Jain, P. et al. A review of machine learning applications in wildfire science and management. Environ. Rev. 28, 478–505 (2020).
Rubí, J. N. S. & Gondim, P. R. L. A performance comparison of machine learning models for wildfire occurrence risk prediction in the Brazilian Federal District region. Environ. Syst. Decis. 44, 351–368 (2023).
Ke, G. et al. LightGBM: a highly efficient gradient boosting decision tree. In Advances in Neural Information Processing Systems Vol. 30 (eds Guyon, I. et al.) 3149–3157 (Curran Associates, 2017).
Olson, D. M. et al. Terrestrial ecoregions of the world: a new map of life on Earth. BioScience 51, 933 (2001).
Wu, C. et al. Historical and future global burned area with changing climate and human demography. One Earth 4, 517–530 (2021).
Foden, W. B. et al. Climate change vulnerability assessment of species. WIREs Clim. Change 10, e551 (2019).
Lindenmayer, D., Zylstra, P., DellaSala, D. A., Taylor, C. & Legge, S. The response and management of species sensitive to altered fire regimes. Nat. Rev. Biodivers. 1, 733–744 (2025).
Yang, X. Wildfire risk for species. GitHub (2026); https://github.com/xiaoyeyang1024/Wildfire-Risk-for-Species (2026).
Acknowledgements
D.C. was supported by Tsinghua University (100008001), the Swedish Research Council (2021-02163 and 2022-06011) and the Swedish Foundation for International Cooperation in Research and Higher Education (STINT: CH2020-8767). This work was supported by the Swedish national strategic research programme ‘Modelling the Regional and Global Earth system (MERGE)’ (D.C. and X.Y.). X.Y. also received support from the Swedish Research Council (2021-02163). Z.Z. was supported by the VAPOR project (101154385), funded by the Horizon Europe, MSCA Postdoctoral Fellowships 2023. C.W. acknowledges support from Tsinghua University Initiative Scientific Research Program and Dushi Program. We especially thank the IUCN for their data support.
Funding
Open access funding provided by University of Gothenburg.
Author information
Authors and Affiliations
Contributions
X.Y. performed this study, plotted the figures and wrote the preliminary manuscript. M.C.U., B.S., Z.Z., C.W. and D.C. contributed to the revision and partial writing of the manuscript and provided valuable suggestions and input to improve its quality. All the authors contributed to the writing and reviewing of the manuscript.
Corresponding author
Ethics declarations
Competing interests
The authors declare no competing interests.
Peer review
Peer review information
Nature Climate Change thanks Don Driscoll and the other, anonymous, reviewer(s) for their contribution to the peer review of this work.
Additional information
Publisher’s note Springer Nature remains neutral with regard to jurisdictional claims in published maps and institutional affiliations.
Extended data
Extended Data Fig. 1 Changes in EBA under different scenarios.
a Cumulative distribution of changes in species exposure to wildfire burned area under four scenarios across 43 AR6 land regions. b-h represent the continent-scale average results. b North America. c South America. d Europe. e Africa. f Asia. g Oceania. h Global. Blue, green, yellow, and red lines represent the SSP1-2.6, SSP2-4.5, SSP3-7.0, and SSP5-8.5 scenarios, respectively. This figure is based on the dataset of 9,592 fire-threatened species.
Extended Data Fig. 2 The proportion of species experiencing different levels of EBA growth by the end of 21 century under SSP2-4.5 scenario in 43 AR6 land regions.
This figure is based on the dataset of 9,592 fire-threatened species.
Extended Data Fig. 3 Projected changes in species exposure to wildfire burned area by the end of the 21st century under SSP2-4.5.
Same as Fig. 3. but based on dataset of 41543 species. a–e, EBA change across 43 AR6 land regions for species grouped by IUCN threat categories: LC (a), NT (b), VU (c), EN (d) and CR (e). Marker shapes indicate variability among species within a region: circles for standard deviation <25%, squares for 25–50% and triangles for >50%. f shows the global average proportion of species experiencing different levels of EBA change. g, Relationship between projected EBA change (%) and species’ distribution size (log10-transformed area in km2) for species. Shading shows the joint probability density. The two red dashed lines in g denotes the 95% confidence interval of the fitted regression line (red solid line). The confidence interval was derived from the standard errors of the fitted parameters, reflecting the uncertainty in the model estimates and corresponding to a two-tailed test for parameter significance.
Extended Data Fig. 4 Projected changes in species exposure to wildfire season length by the end of the 21st century under different scenarios.
a Cumulative distribution of changes in exposure to wildfire season length (ESL) for species across 43 AR6 land regions under the SSP2-4.5 scenario. b Latitudinal distribution of species experiencing different levels of ESL change (<0%, 0–25%, 25–50%, 50–75%, 75–100%, >100%) by the end of the 21st century under SSP2-4.5. Percentages reflect the proportion of species in each latitudinal band. This figure is based on the dataset of 9,592 fire-threatened species.
Extended Data Fig. 5 Percentage increase in wildfire season length by the end of the 21st century related to the reference period.
Results are under a SSP1-2.6, b SSP2-4.5, c SSP3-7.0, and d SSP5-8.5.
Extended Data Fig. 6 Top1% species experiencing the greatest EBA growth under the SSP2-4.5 scenario by the end of the 21st century.
a Count of species and the distribution, b Count of IUCN conservation status, c Count of 1° resolution grids within the distribution, d Count of kingdom, and e. Count of class for the Top1% species experiencing the greatest EBA growth under the SSP2-4.5 scenario by the end of the 21st century. This figure is based on the dataset of 9,592 fire-threatened species.
Extended Data Fig. 7 Information of species experiencing the EBA change less than -0% under the SSP2-4.5 scenario by the end of the 21st century.
a Count of IUCN conservation status, b Count of 1° resolution grids within the distribution, c Count of kingdom, d Count of class, and e. Count of regions (species occurring across multiple regions are counted separately within each region) for the species experiencing the EBA change less than -0% under the SSP2-4.5 scenario by the end of the 21st century. This figure is based on the dataset of 9,592 fire-threatened species.
Supplementary information
Supplementary Information (download PDF )
Supplementary Text 1 and 2, Tables 1–7 and Figs. 1–4.
Rights and permissions
Open Access This article is licensed under a Creative Commons Attribution 4.0 International License, which permits use, sharing, adaptation, distribution and reproduction in any medium or format, as long as you give appropriate credit to the original author(s) and the source, provide a link to the Creative Commons licence, and indicate if changes were made. The images or other third party material in this article are included in the article’s Creative Commons licence, unless indicated otherwise in a credit line to the material. If material is not included in the article’s Creative Commons licence and your intended use is not permitted by statutory regulation or exceeds the permitted use, you will need to obtain permission directly from the copyright holder. To view a copy of this licence, visit http://creativecommons.org/licenses/by/4.0/.
About this article
Cite this article
Yang, X., Urban, M.C., Su, B. et al. Wildfire risk for species under climate change. Nat. Clim. Chang. (2026). https://doi.org/10.1038/s41558-026-02600-5
Received:
Accepted:
Published:
Version of record:
DOI: https://doi.org/10.1038/s41558-026-02600-5



