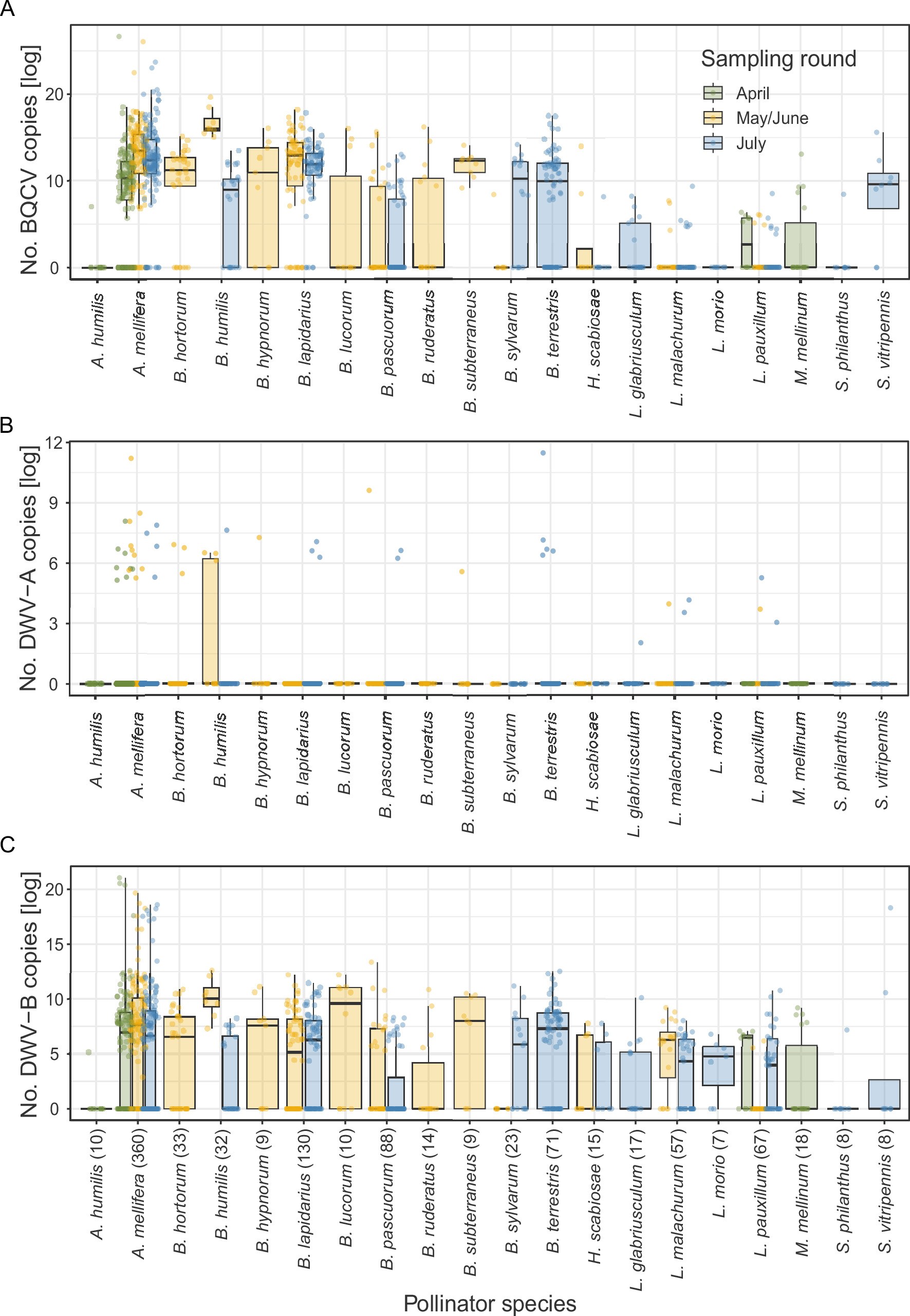
Extended Data Fig. 2: Overview of virus loads in pollinators.

Displayed are boxplots of BQCV (A), DWV-A (B) and DWV-B (C) virus loads (log-transformed number of genome copies per individual) of all screened individuals per species in each landscape and sampling round. Wild bee and hoverfly species were screened when they were sampled with at least N = 7 individuals per landscape and sampling round (maximum N = 10 individuals per landscape and sampling round). Boxplots show the median, the box representing the first and the third quartile, and the whiskers extend from the hinge to the largest and lowest values, respectively, no further than 1.5 times the interquartile range from the hinge. Points show raw log-transformed data. Colours represent the different sampling rounds. (Green = April, yellow = May/June, blue = July; BQCV = Black Queen Cell Virus; DWV = Deformed Wing Virus; see Table S1 for full species names).