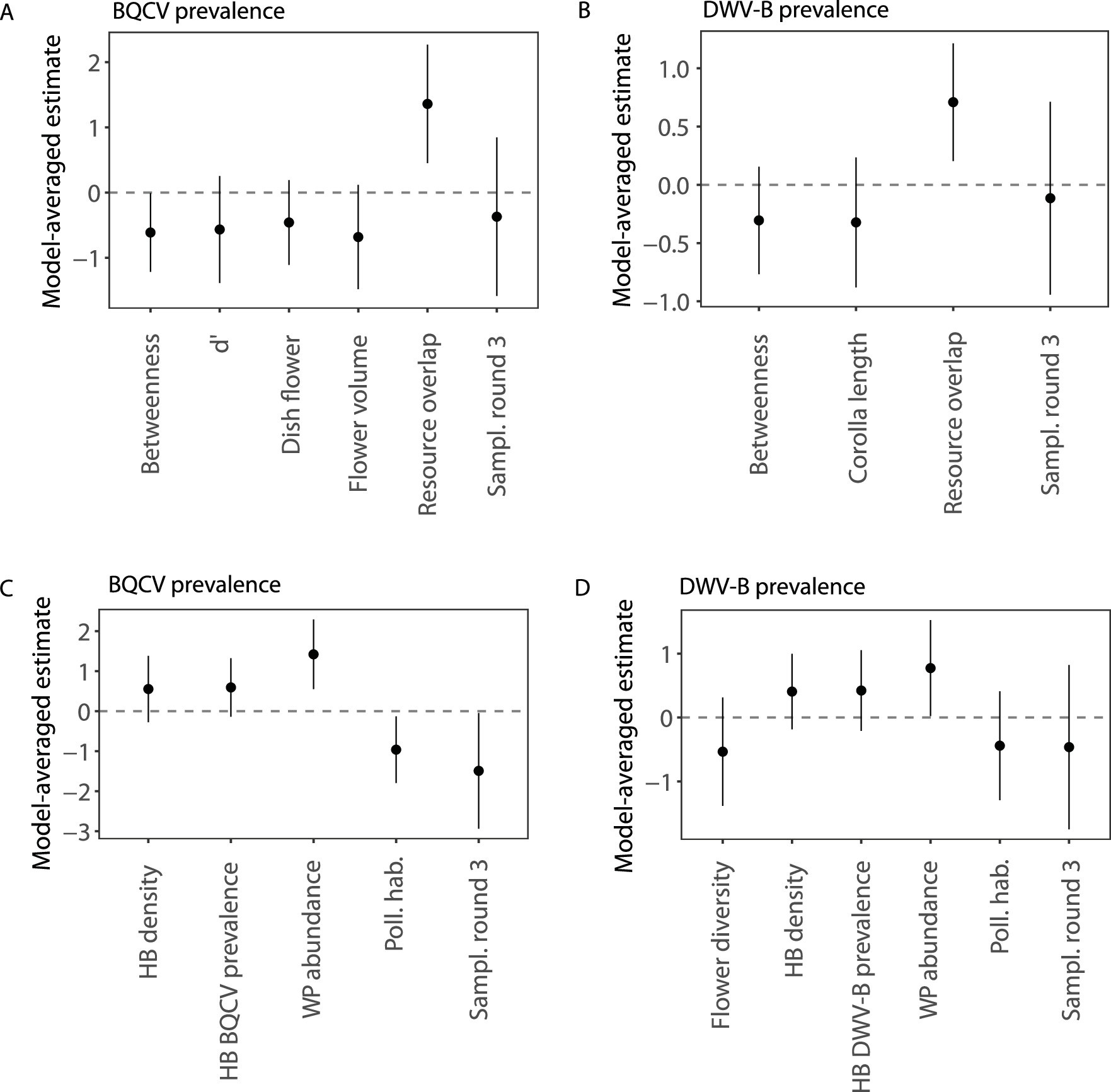
Extended Data Fig. 3: Best ranking models predicting viral prevalence in wild pollinators.

Averaged model estimates (that is the modelled slopes of the relationships) and 95% confidence intervals of explanatory variables in best models (ΔAICc < 2) explaining viral prevalence of BQCV (A, C) and DWV-B (B, D) in wild pollinators (n = 588 individuals). (A, B) display the results from modelling the effects of species traits and roles in the network (weighted betweenness (Betweenness), corolla length, specialisation d’, proportion of dish-bowl flowers among visited flowers (Dish flowers) and floral resource overlap with honeybees (Resource overlap)). (C, D) display the results from modelling the effects of landscape and pollinator community properties (Shannon diversity of flowers (H flowers), honeybee density (HB density), wild pollinator abundance (Poll. abundance) and percentage cover of pollinator habitat (Poll. hab. %)).