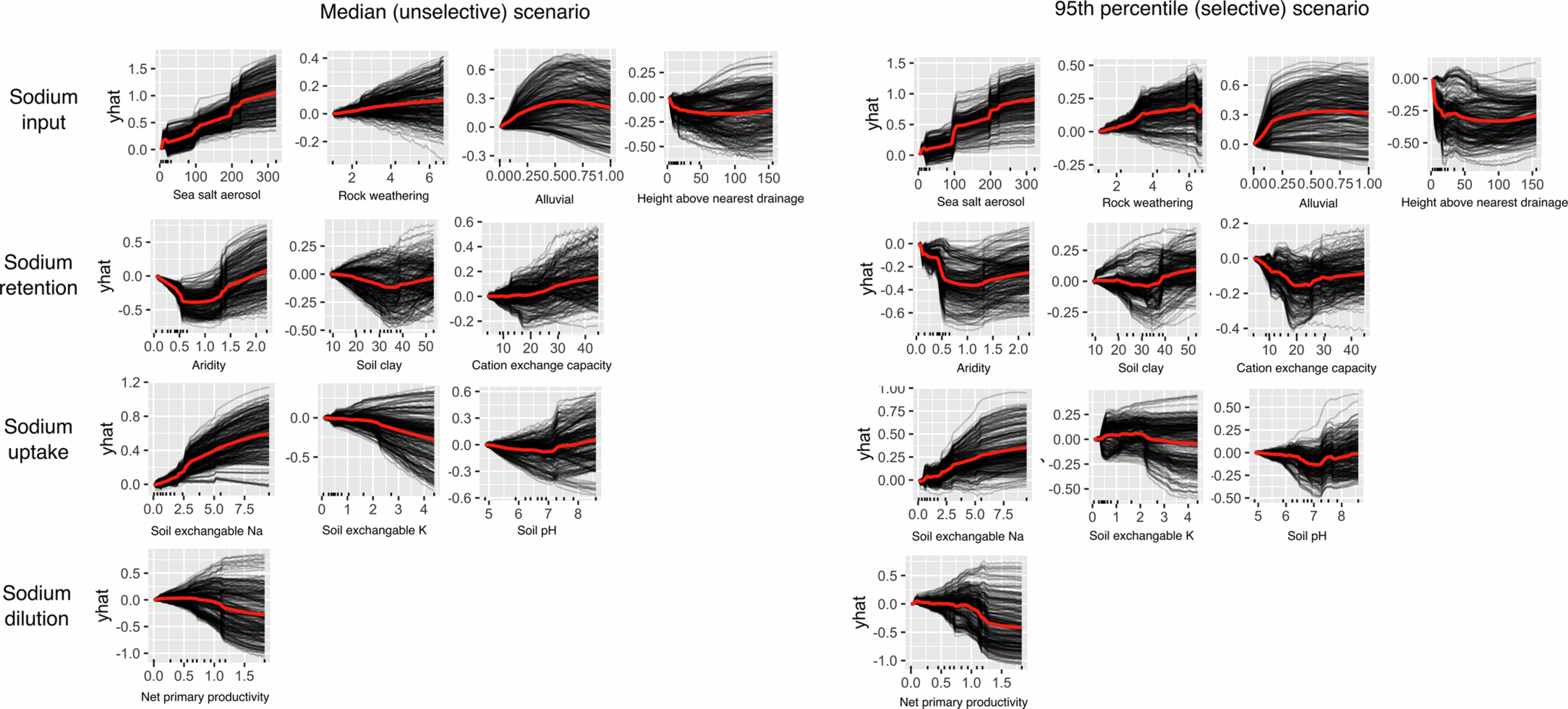
Extended Data Fig. 4: Drivers of foliar sodium (Na) concentration across sub-Saharan Africa.
From: Sodium constraints on megaherbivore communities in Africa

Partial dependence plots for predicting foliar median (unselective foraging scenario) and 95th percentile (selective foraging scenario) sodium (Na) concentration using the ensemble model. The relationship between foliar Na concentration (yhat) and each variable is highlighted by the red line. Note: the scale for aridity is non-intuitive, with lower scores reflecting more arid environments.