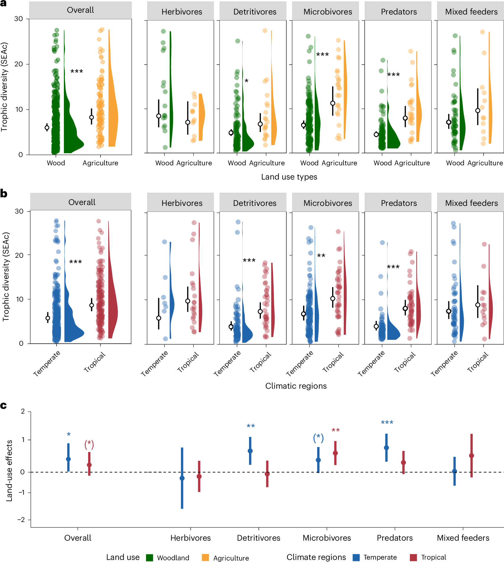
Fig. 3: Trophic diversity (SEAc) across functional groups and of each functional group of soil animals.

a,b, Different land-use types (woodlands and agricultural systems) (a) and climatic regions (temperate and tropical) (b), shown as model-estimated means with 95% CIs; points represent independent sampling replicate sites. c, Effects of land use on trophic diversity (SEAc) of different functional groups of soil animals in tropical and temperate regions; effect sizes are given as model-estimated means with log-response ratios (with 95% CIs) of contrasts between agriculture and woodland. Effects were analysed using LMMs with two-sided tests. (*)P < 0.1, *P < 0.05, **P < 0.01, ***P < 0.001, with exact P values provided in Supplementary Table 6.