Abstract
Soil fauna contributes to a wide range of ecosystem functions via their trophic activities. Here we investigate how trophic diversity of soil animals varies across functional groups and major biomes. We use stable isotope analysis (13C/12C and 15N/14N ratios) of 17,306 samples of 28 high-rank taxa from 456 sites across 19 countries to inspect the variability in trophic diversity across climate regions and land-use types. Trophic diversity of soil animal communities is higher for microbial feeders than for detritivores and predators, in agricultural ecosystems compared with woodlands (+32%) and in tropical compared with temperate climates (+40%). Higher trophic diversity is related to more diverse basal resources and longer trophic chains, which could reflect greater niche partitioning in resource-limited environments. Our findings suggest that soil animals could broaden their trophic niches under agricultural land use and possibly in response to warming, but whether such foraging flexibility may offset the loss of trophic specialists remains to be investigated.
Similar content being viewed by others
Main
Soils are the most biodiverse habitats on Earth contributing to about 59% of global biodiversity1. Approximately 90% of the carbon fixed by plants in terrestrial ecosystems enters the belowground system2 and is processed in soil food webs by microorganisms and invertebrate decomposers, with the latter serving as prey for predators3,4. Soil food webs are characterized by major energy fluxes in terrestrial ecosystems and trophic interactions among an exceptionally diverse spectrum of organisms with different niches. Consequently, soil food webs are of essential importance for carbon and nitrogen cycling and thereby for ecosystem functions and services5. Beyond belowground processes, trophic interactions of soil organisms extend to the biodiversity and functionality of the aboveground system, fostering feedback loops between aboveground and belowground compartments of terrestrial ecosystems3,6,7. It has been shown that the functional diversity of soil animals (rather than species richness alone) is closely associated with litter decomposition, carbon and nutrient cycling and plant growth8,9,10,11. The diversity of functions driven by soil animals in food webs is based on their trophic diversity, defined as the heterogeneity of trophic niches (including basal resources and trophic levels) across soil animal individuals and taxa5,8. Trophic diversity offers insight into community structure and function beyond taxonomic diversity. Unravelling the factors influencing trophic niches and trophic diversity is therefore crucial for understanding species coexistence and ecosystem stability and functionality12,13.
Soil animals fulfil diverse roles within soil food webs and are often classified into functional groups14,15. For instance, detritivores serve as primary decomposers breaking down and consuming dead plant material, thereby contributing to decomposition and other processes16,17,18. Microbivores, as secondary decomposers, influence the growth and dispersal of prokaryotes and fungi, indirectly regulating nutrient cycling by changing the activity and composition of microbial communities19,20,21. Predators play a crucial role in population regulation and maintenance of biodiversity through top-down control2,22,23. Understanding the trophic diversity within these functional groups and how they respond to environmental changes, such as land use and climate, is crucial for understanding the ecosystem functions they provide.
Across the globe, land-use change alters the composition of ecological communities and often leads to a decline in ecosystem functions, which are at the core of sustainable development goals24,25,26. Land-use changes the structure of and energy flux through soil food webs and also shifts trophic positions of soil animals27,28,29,30, thereby influencing the stability and functioning of ecosystems31. Studies showed that land use affects the trophic diversity of various animal groups, such as fish, birds, mammals and zoobenthos32,33,34,35,36. However, it is still not clear how land use alters the trophic diversity of soil animals and whether land-use effects differ among functional groups of soil animals across climatic regions. Moreover, recent global assessments of soil animals demonstrated changes in richness and density with latitude37,38,39, highlighting the climate-driven changes in soil biodiversity and functions. Existing studies mainly focus on changes in the taxonomic and morphological diversity of soil animal communities, showing that they decrease with land-use intensity39,40,41, whereas little is known about changes in the trophic diversity of soil animal communities.
Trophic diversity of animal functional groups is shaped by different, non-mutually exclusive mechanisms: large trophic diversity may be due to either greater within-taxon trophic diversity (niche expansion) or greater between-taxon trophic dissimilarity (niche partitioning among taxa)32,42. Furthermore, large trophic diversity may be a consequence of a broad range of basal resources or a high number of trophic levels42,43. Environmental changes driven by land-use intensification may lead to increased generalism due to higher resource limitation, resulting in trophic homogenization and thus lower diversity via bottom-up constraints42.
Here we compiled a dataset comprising 17,306 records on 28 high-rank taxa (broad taxonomic groups, such as Collembola, Araneae and Lumbricina) of soil animals across 456 sites (Fig. 1), leveraging published and unpublished stable isotope (δ13C, δ15N) data to investigate the differences in trophic diversity of soil animal taxa across functional groups and biomes and explore the underlying mechanisms. The δ13C in consumer tissue provides insight into basal resources used by consumers (from fresh plant material, to dead leaves and microbially processed soil organic matter43), whereas the δ15N reflects their trophic level43,44. To reflect trophic diversity, we used sample-size corrected standard stable isotope ellipse areas in the δ13C–δ15N space, which captures variation in trophic niches within a group (the range of basal resources and trophic levels across individuals/taxa)45. We used the isotopic distance among taxa within functional groups to reflect trophic dissimilarity45,46,47. We explored variation in trophic diversity and dissimilarity among functional groups of soil animals (detritivores, microbivores, predators and herbivores) and how these trophic traits are modulated by land use (woodlands versus agricultural ecosystems) and climatic region (temperate versus tropical). We hypothesized that (1) trophic diversity is higher for microbivores and herbivores compared with detritivores and predators because of more pronounced niche partitioning among taxa within these functional groups15; and (2) trophic diversity of soil animals is larger in biomes with higher taxonomic diversity, specifically in woodlands and tropical regions37,38,39 compared with agricultural ecosystems48 and temperate regions49, respectively. In addition, we explored the mechanisms contributing to differences among functional groups and biomes, by testing whether niche expansion or partitioning explains differences in trophic diversity among functional groups and biomes and if variations in trophic diversity are related to both variations in basal resources (δ13C) and trophic levels (δ15N).
a, Point size represents the number of sites at the respective locality, point colour represents the climatic zone. b–s, Representatives of the soil animals considered in this study, including nematodes (Nematoda) (b), enchytraeid worms (Enchytraeidae) (c), earthworms (Lumbricina) (d), moss mites (Oribatida) (e), predatory mites (Mesostigmata) (f), spiders (Araneae) (g), springtails (Collembola) (h), proturans (Protura) (i), diplurans (Diplura) (j), garden centipedes (Symphyla) (k), sucking mites (Prostigmata) (l), harvestmen (Opiliones) (m), woodlice (Isopoda) (n), millipedes (Diplopoda) (o), centipedes (Chilopoda) (p), ants (Formicidae) (q), false scorpions (Pseudoscorpiones) (r) and beetles (Coleoptera) (s). The right panel illustrates the hierarchical approach of the study: (1) assessing differences in trophic diversity among different functional groups of soil animals, (2) examining how trophic diversity of soil animals changes across biomes and land-use types and (3) understanding the mechanisms of changes in trophic diversity, for example, niche expansion or partitioning. In a, icons from Svenja Meyer and basemap data from Natural Earth (https://www.naturalearthdata.com). Photographs from Haifeng Yin (b) and Frank Ashwood (c–s).
Results and discussion
Trophic diversity differs among functional groups
Overall, the trophic diversity and niche differentiation depend on the position of functional groups within the food web (Fig. 2a, Supplementary Fig. 1a and Supplementary Table 1). Conforming to our first hypothesis, the trophic diversity (corrected standard ellipsis area, SEAc) of microbivores was 61.6% and 69.0% greater than that of detritivores and predators, respectively (Fig. 2a and Supplementary Table 1). Trophic diversity of single taxa within functional groups exhibited similar patterns to the trophic diversity of their respective overarching functional groups (Fig. 2a,b and Supplementary Table 2). Larger trophic diversity resulted from both higher variability in δ13C and δ15N values as indicators of variability in the use of basal resources and in trophic level, respectively (Fig. 2c,d, Supplementary Fig. 2b and Supplementary Table 4). Besides, both trophic diversity of individual taxa within functional groups (niche expansion) and trophic dissimilarity among taxa (niche partitioning) contributed to the overall trophic diversity of functional groups, with the influence of niche expansion being stronger (Fig. 2e,f, Supplementary Fig. 2a and Supplementary Table 5).
a, Trophic diversity of functional groups, shown as model-estimated means with 95% confidence intervals (CIs). b, Trophic diversity of each taxon, mean ± s.e., numbers in bars indicate the number of independent sampling sites, bars with different letters indicate significant differences. c, Relationship between log-transformed trophic diversity and variations in δ13C values in each functional group. d, Relationship between log-transformed trophic diversity and variations in δ15N values in each functional group. e, Relationship between trophic diversity of functional groups and the mean trophic diversity of taxa in each functional group. f, Relationship between trophic diversity of functional groups and the mean pairwise distance between the centroids of trophic positions of taxa in each functional group. Black lines denote overall model fit and coloured lines indicate different functional groups and shaded areas indicate 95% CIs of the fitted regression lines. Relationships were analysed using LMMs with two-sided tests. R2 values represent the proportion of variance explained across functional groups. ***P < 0.001, exact P values and full model results are provided in Supplementary Tables 1,2,4 and 5.
Microbivores exhibited larger trophic diversity compared with detritivores and predators, due to the combination of higher variability in basal resources and trophic levels (Supplementary Fig. 3a,b). Presumably, the small body size of microbivores enables them to access a wide range of microhabitats within the pore space of soils15,50, allowing microbivores to exploit a diverse spectrum of microorganisms with distinct stable isotope compositions43. This may result in a wider range of trophic niches and exploitation of a larger diversity of basal resources compared with, for example, detritivores. It has been suggested that microorganisms are analogues of animals with distinct trophic levels51. Consequently, by feeding on different microorganisms, microbivores are likely to vary in stable isotope values. In fact, it has been documented that microbivores, such as springtails and oribatid mites, span a wide range of trophic levels52,53, while detritivores have narrower ranges54,55 and this is confirmed by the large variation in δ15N values of microbivores in our study (Supplementary Fig. 3b and Supplementary Table 4). Contrary to microbivores, detritivores are larger and more mobile and are therefore likely to integrate a wider range of food resources by foraging at larger spatial scales than microbivores56. Combined with the high incidence of generalist feeding in detritivores15,42, their similar feeding habits often lead to overlapping trophic niches among individuals, resulting in more homogeneous trophic niches and reduced overall trophic diversity at functional group level (see Fig. 1c in ref. 42).
Predatory taxa had both smaller trophic diversity (Fig. 2b and Supplementary Table 2) and trophic dissimilarity (Supplementary Fig. 1a and Supplementary Table 3) compared with other functional groups, indicating that they not only exhibit lower trophic diversity within each predator taxon (lower niche expansion), but also with similar trophic niches among different predator taxa (lower niche partitioning). This similarity contributed to the overall reduced trophic diversity among predators compared with other functional groups (Fig. 2a and Supplementary Table 1). Soil predators tend to be generalists and hunt the most accessible prey, which are often r-strategists characterized by high abundance, high metabolism and limited defence, such as springtails57. This similarity in prey selection probably contributes to the similarity of trophic niches among predators58, which is also indicated by their smaller variations in δ13C values (Supplementary Fig. 3a) and emphasizes their role in coupling different energy channels in soil food webs6,59.
Herbivores had an intermediate trophic diversity and did not differ significantly from the other functional groups (Fig. 2a and Supplementary Table 1). They showed large variability in δ13C but not in δ15N values (Supplementary Fig. 3), indicating that the trophic diversity among belowground herbivores is predominantly a consequence of variations in the use of basal resources rather than trophic levels. Aboveground herbivore invertebrate taxa typically specialize in consuming specific plant species based on plant species-specific traits, including nutrient composition, N concentration and chemical defences, which can be attributed to coevolutionary dynamics between consumers and their host plants60,61. These food preferences based on plant species-specific traits might similarly apply to soil herbivores, which mainly feed on roots62.
Overall, our results showed that trophic diversity and niche differentiation of soil animals depend on the position of functional groups within the food web. Functional groups that couple different energy channels, such as detritivores and predators, exhibit lower trophic diversity and niche differentiation.
Higher trophic diversity in agricultural and tropical systems
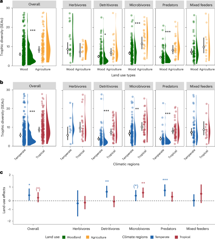
Across the globe, intensive land use is considered a threat to soil biodiversity26,40, with both the taxonomic and functional diversity declining with land-use intensity39,40,41. However, in contrast to our second hypothesis, the trophic diversity of soil animals tended to be greater in agricultural systems than in woodlands (on average by 32.1% ± 11.0%; Fig. 3a and Supplementary Table 6), being significantly greater by 36.3% ± 18.1%, 57.8% ± 16.7% and 63.2% ± 17.1% in detritivores, microbivores and predators, respectively. Previous studies using similar isotopic methods have shown that land use affects the trophic diversity of various animal groups, including fish, birds, mammals and zoobenthos, in diverse and context-dependent ways32,33,34,35,36. For example, trophic diversity in birds was found to be higher in disturbed (urban) than in natural ecosystems, as generalists exploited new niches created by human activities32, which may also explain similar patterns in the present study. Agricultural land use typically reduces the supply of aboveground residues to soil animals as a result of the removal of crops, thereby aggravating resource shortage of soil animals63,64. However, agricultural land use is also associated with increased input of nutrients via fertilization, thereby potentially augmenting resource heterogeneity29,65, which probably contributed to the larger variations in δ15N than δ13C values in agricultural than woodland ecosystems (Supplementary Fig. 4b). Note that because of the lack of detailed sampling dates in our dataset, the observed patterns in agricultural systems may reflect mixed conditions across different stages of the crop cycle, such as post-fertilization or post-harvest conditions. Although most soil animals are trophic generalists, they exhibit specific preferences for similar resources when resources are abundant, therefore being termed ‘choosy generalists’15,66,67. Abundant resource supply might result in niche homogenization due to animals predominantly using the resources in ample supply as may be the case in woodlands, which typically have thicker litter layers compared with agricultural systems. Conversely, scarcity of resources may result in trophic differentiation by forcing animals to also exploit non-preferred resources42. In fact, agricultural land use has been shown to increase trophic diversity among individuals in springtail communities68. In agricultural systems, soil animals may partition their niches as a result of restricted and heterogeneous resource supply and may also opportunistically incorporate new resources69, thus leading to higher trophic diversity at the community level. This was confirmed by lower trophic dissimilarity of the taxa within the same functional group (less niche partitioning, that is, niche homogeneity) in woodlands compared with agricultural systems (Supplementary Fig. 1b and Supplementary Table 3). Furthermore, the trophic dissimilarity between functional groups, such as microbivores and detritivores, was also larger in agricultural than in woodland ecosystems (Supplementary Fig. 5b). The potential mismatch between taxonomic diversity and trophic diversity indicates that soil animals may be able to expand their trophic niches under land-use changes (Supplementary Fig. 4a), thereby partly maintaining associated soil functions11.
a,b, Different land-use types (woodlands and agricultural systems) (a) and climatic regions (temperate and tropical) (b), shown as model-estimated means with 95% CIs; points represent independent sampling replicate sites. c, Effects of land use on trophic diversity (SEAc) of different functional groups of soil animals in tropical and temperate regions; effect sizes are given as model-estimated means with log-response ratios (with 95% CIs) of contrasts between agriculture and woodland. Effects were analysed using LMMs with two-sided tests. (*)P < 0.1, *P < 0.05, **P < 0.01, ***P < 0.001, with exact P values provided in Supplementary Table 6.
Supporting our second hypothesis, trophic diversity of soil animals tended to be greater in tropical than in temperate regions (on average by 40.6% ± 12.3%; Fig. 3b and Supplementary Table 6), being significantly greater by 61.4% ± 18.1%, 41.1% ± 16.6% and 68.6% ± 17.1% in detritivores, microbivores and predators, respectively. Recent global compilations reported soil animals, including macrofauna, mesofauna and microfauna, having lower density but higher taxonomic richness in the tropics than at higher latitudes37,38,39. Thus, the larger trophic diversity in the tropics may be related to increased taxonomic richness, which is also indicated by our results of increasing trophic diversity with taxon richness (Supplementary Fig. 6 and Supplementary Table 7). Further, it also aligns with higher trophic dissimilarity of taxa within the same functional group (niche partitioning) in the tropics compared with temperate systems (Supplementary Figs. 1b and 4a and Supplementary Table 3). However, even when accounting for the effect of taxonomic richness, effects of climate on trophic diversity remained strong (Supplementary Table 7). Presumably, at least in part this may be related to low accumulation of litter and soil organic matter in the tropics70. Low-latitude ecosystems such as tropical rainforests typically develop on old and weathered soils deficient in nutrients, being particularly phosphorus limited71, which is also reflected by decreasing litter nutrient concentrations towards the tropics72. Similar to our study, others49 reported that tropical riparian predators (predominantly spiders) had markedly higher trophic diversity than temperate ones, aligning with our findings and supporting the role of niche expansion and partitioning in tropical ecosystems. Animals in the tropics exhibit higher metabolism and predation rates than those in high-latitude ecosystems, leading to intensified interactions and stress39,73. Consequently, generalist species may compete more intensely for high-quality food resources that are scarce. We also tested effects of land use and climate on trophic diversity at higher taxonomic resolution, namely at family, genus and species level. This analysis confirmed the pattern of higher trophic diversity in agricultural systems and in the tropics to be robust across taxonomic scales (Supplementary Fig. 7 and Supplementary Table 8). Thus, except for higher taxonomic richness, limitations in the quality and quantity of food resources and stronger competition for resources may drive niche partitioning among soil animals, as indicated by larger trophic dissimilarity at both the levels of high-ranking taxa and species. Therefore, the higher trophic diversity of soil animals in the tropics is probably due to both niche partitioning and niche expansion.
In contrast to temperate systems, detritivores and predators showed no land-use effect on trophic diversity under resource-limited tropical conditions (Fig. 3c). This suggests that only under relatively high resource availability (temperate soils) these generalist feeders do exploit new niches under land uses, they partition resources as ‘choosy generalists’ and expand their trophic niche breadth under such conditions. By contrast, uniformly low resource quality and intense competition in tropical soils may generally constrain such niche differentiation irrespective of land-use system. Meanwhile, herbivores and mixed feeders exhibited minimal changes in trophic diversity across both land-use systems and climatic regions (no significant main or interactive effects; Fig. 3c and Supplementary Table 1). Herbivores remain confined to plant-based energy channels, limiting their trophic flexibility and capacity for niche expansion, while the inherently broad diet (high trophic flexibility) of mixed feeders allows a consistent niche breadth regardless of environmental context.
Environmental predictors of trophic diversity
Random forest analysis revealed that climatic factors, including temperature, precipitation and their seasonal variations, significantly influenced the trophic diversity of detritivores, microbivores and predators (Fig. 4a). This highlights the central role of climate in shaping the trophic diversity of soil animal communities. In addition, trophic diversity of microbivores was further related to resource availability (organic C) and soil structure (clay fraction), which probably reflects that trophic interactions between microbivores and microorganisms depend on soil organic matter as a substrate15, with soil structure driving the accessibility of microbial prey by shaping soil pore architecture and moisture retention50. By contrast, the trophic diversity of herbivores was primarily explained by net primary productivity (NPP; gC m−2)), probably because higher NPP supports a more diverse array of plant-derived resources for herbivory.
a,b, Random forest analysis (a) and the pathways showing how environmental factors affect the trophic diversity via niche partitioning (trophic dissimilarity among taxa) and niche expansion (trophic diversity of taxa) as indicated by piecewise structural equation models (piecewiseSEM) (b). Variable importance in random forest models was evaluated using permutation test, with exact P values provided in Supplementary Table 9. In the piecewiseSEM, the conditional and marginal R2 that is, Rc2 and Rm2, respectively, represent the proportion of variance explained by the variables without and with accounting for random effects of site. Red and blue colours of the arrows indicate negative and positive relationships, respectively; only significant relationships are shown. Numbers adjacent to arrows are standardized path coefficients. Significance for individual paths were obtained from two-sides Wald tests of fixed effects in the corresponding LMMs: *P < 0.05, **P < 0.01, ***P < 0.001, with exact P values provided in Supplementary Table 10. The SEM adequately describes the data (P = 0.395, d.f. = 8, Fisher’s C = 8.40). Clay, soil clay fraction (%); litter C/N, litter carbon-to-nitrogen ratio; moisture, water content in soil (%); organic C, soil organic carbon (gC soil kg−1); PrecVar, precipitation variation of seasonality; TempVar, temperature variation of seasonality. Icons in b from Yan Zhang.
Structural equation modelling (SEM) supported that the increased trophic diversity of functional groups was due to climatic factors (climate principal component 1 (PC1), representing mean annual temperature (MAT) and mean annual precipitation (MAP) and demonstrated that this was due to both enhanced niche partitioning and niche expansion (Fig. 4b and Supplementary Fig. 8). This aligns well with our observation that trophic diversity is higher in tropical compared with temperate regions. Further, increased resource availability (resources PC1, representing organic carbon and belowground biomass) negatively impacted trophic diversity by reducing niche partitioning, that is, abundant resources caused the trophic niches of different taxa to converge. Overall, the results highlight that climatic factors and resource availability shape trophic diversity, emphasizing their multifaceted influence on soil food webs.
Conclusions and implications
On the basis of a large dataset on stable isotope ratios of soil animals, we analysed the trophic diversity of major soil animal functional groups and their variations across land-use systems and biomes. While informative, our findings should be interpreted in light of the limited geographic coverage of the dataset. We showed that microbivores are more trophically diverse than detritivores and predators, suggesting that the former play more diverse functional roles in soil food webs. Additionally, we showed that trophic diversity of soil animals is higher in agricultural systems than in woodlands despite the previously documented declines in biodiversity, suggesting that soil animals may broaden their trophic niches when facing resource shortages and frequent disturbances. The ability of soil animal communities to broaden their trophic niches in response to global change, such as land use and climate change, may help to buffer ecosystems against instability by promoting resilience through diversified resource use. Specific soil animal functional groups, particularly microbial feeders, could enhance ecosystem functions such as nutrient cycling and decomposition by exploiting underused or rare resources. This flexibility in trophic niches suggests that soil communities may adapt in ways that maintain ecosystem functions. However, it also highlights potential risks, as increased flexible foraging behaviour may reflect the loss of specialists (ecological losers) from agricultural landscapes and their replacement by fewer generalists (ecological winners) being able to adapt to alternative resources, with potentially long-term implications for biodiversity and ecosystem functions74,75,76.
Methods
Field sites and sampling
The study was based on extensive data collection and analysis across 456 study sites and 19 countries. About half the data were published before (55.7%)53,54,55,68,77,78,79,80,81,82,83,84,85,86,87,88,89,90,91,92,93,94,95,96,97,98,99 and other data were compiled for this study. The dataset comprised 17,306 sample records of paired δ13C and δ15N values in soil animals distributed across four climatic regions: subarctic (240), temperate (10,366), subtropical (1,699) and tropical (5,001). The investigated ecosystem types included woodlands, agricultural systems and grasslands; the vegetation type and management details are provided in the animal_iso_core table (Data availability). The variations of SEAc of soil animals in different vegetation types are shown in Supplementary Fig. 9. Most of our dataset (95.0%) was generated by two collaborating research groups (primarily University of Göttingen and a close collaborator at the Institute of Ecology and Evolution, RAS, Moscow). Although we compiled a large dataset across multiple continents, the current dataset provides limited global representation. A substantial proportion of the data originate from Europe and tropical regions are comparatively under-represented relative to temperate regions. Certain regions, such as Africa and North America, remain under-sampled.
For details on the sampling methods for published data see refs. 53,54,55,68,77,78,79,80,81,82,83,84,85,86,87,88,89,90,91,92,93,94,95,96,97,98,99. For unpublished data, standard extraction methods were used. Nematodes were sampled by extracting 5-cm diameter soil cores encompassing the litter layer and the top 0–5 cm of the mineral soil and were extracted by using wet extraction with Baermann funnels. Soil mesofauna and macrofauna were sampled by using heat Berlese or Kempson extractors100 and preserved in 70–96% ethanol. Sampling methods deviations are listed in the animal_iso_core table (Data availability).
Animals were classified into 26 high-rank taxonomic groups and further into five major functional groups as follows: herbivores (Hemiptera, Orthoptera, Thysanoptera and Lepidoptera), detritivores (Lumbricina, Diplopoda, Isopoda, Isoptera, Dermaptera, Blattodea, Gastropoda and Enchytraeidae), microbivores (Collembola, Oribatida, Nematoda, Protura, Prostigmata, Psocoptera and Symphyla) and predators (Araneae, Chilopoda, Diplura, Formicidae, Mesotigmata, Opiliones and Pseudoscorpiones) and groups showing mixed feeding (Diptera and Coleoptera)15,101. It has been shown that high-rank animal taxa in soil typically are trophically and functionally consistent101.
We collected a suite of environmental covariates for each of our 456 sampling locations. These covariates included climate, soil physicochemical properties, vegetation productivity and litter quality indices. Litter carbon-to-nitrogen (C:N) ratios were calculated from laboratory measurements of total carbon and total nitrogen content in the local litter. Climatic variables, including MAT (°C), MAP (mm), temperature seasonality and precipitation seasonality, were obtained from the WorldClim v.2 bioclimatic dataset at 30-arcs (~1 km) resolution. The gradients of MAT and MAP of the study sites were shown in Supplementary Fig. 10. These variables were accessed and extracted using Google Earth Engine (GEE): soil variables were derived from OpenLandMap and included topsoil clay fraction, pH (in H2O), organic carbon (g kg−1), volumetric water content at 33 kPa and US Department of Agriculture texture class; vegetation productivity was characterized using annual NPP (gC m−2 yr−1) from the MODIS/Terra MOD17A3HGF product (500-m resolution, Collection 006), with values averaged or selected from the corresponding sampling year; aboveground (AGB) and belowground (BGB) biomass carbon densities (originally in MgC ha−1) were extracted from the NASA ORNL biomass carbon density dataset and converted to kgC m−2; all spatial layers were reprojected to a common geographic coordinate system (WGS 84, EPSG:4326) and sampled using the reduceRegions() function in GEE, using a spatial resolution of 250 m and nearest-neighbour resampling.
Stable isotope analysis
Animals were identified to family-level (86.9%), genus-level (70.1%) or species-level (58.5%) before being processed for stable isotope analysis. Before stable isotope analysis, animals were dried at 50–60 °C for 24 h, then weighed and enclosed in tin capsules; sample weights ranged from 0.01 mg to 1.0 mg. For small-sized animals, the whole body of individual animals were used for stable isotope analysis, with several individuals bulked when more biomass was required, for large-sized animals we used body parts dominated by muscle tissue (for example, legs)102. Stable isotope ratios of 13C/12C and 15N/14N were measured using a system comprising an elemental analyser and a mass spectrometer. Ratios between the heavy isotope and the light isotope (13C/12C, 15N/14N; R) were presented in parts per thousand relative to the standard using the delta notation, denoted as δ13C or δ15N = (Rsample/Rstandard − 1) × 1000 (‰). Vienna PD Belemnite and atmospheric nitrogen served as the standards for 13C and 15N, respectively. Isotope measurements were calibrated using international reference materials (IAEA-600 caffeine, IAEA-CH-6 sucrose, IAEA-N2 ammonium sulfate, USGS-40 glutamic acid), with analytical precision for δ¹⁵N approximately ±0.2‰ (s.d.) across all runs. Accuracy was ensured as measured δ¹⁵N values typically differed ≤0.2‰ from certified standards, ensuring minimal bias even for small-mass samples. In case of small sample mass, our isotope-ratio mass spectrometry setup was specifically optimized for low nitrogen content samples, using micro tin capsules, extended combustion times and reduced blank signals, as detailed in ref. 103. We ensured measurement quality by retaining only samples with the ratio between measurements of the mass spectrometer and the thermal conductivity detector of the gas chromatograph between 0.99 and 1.01. All reported δ¹³C and δ¹⁵N values are already baseline-corrected against international standards.
Calculation of trophic diversity and dissimilarity
Trophic diversity of soil animals can be determined by computing the standard ellipse area (SEA) on the basis of position of soil animals within the δ13C–δ15N biplot of taxonomic and functional groups at each site, using a Bayesian framework implemented in the SIBER package in R. We used corrected standard ellipse area (SEAc) instead of SEA in our study, which is more robust in handling small and variable sample sizes than SEA45. The relationship between SEA and SEAc can be formulated as SEAc = SEA(nsample size − 1)(nsample size − 2)−1. We visualize some examples of the SEAc of detritivores, microbivores and predators in woodland and the agricultural systems by randomly picked five sites for each group (Supplementary Fig. 11). Moreover, to further limit potential bias stemming from small sample sizes, ellipses were exclusively computed for taxonomic and functional groups that consisted of five or more samples per site. To assess trophic dissimilarity among taxonomic groups within each functional group, we calculated the mean pairwise distance between the centroids of isotopic positions of taxonomic groups within each functional group46. Taxonomic-level SEAc and between-taxon trophic dissimilarity were used as indicators of niche expansion and niche partitioning, respectively, in the SEM and other analyses to identify the mechanisms driving changes in trophic diversity at the functional group level32.
We used uncalibrated stable isotope values (δ13C and δ15N) for assessing trophic diversity and trophic dissimilarity of soil animals, as calibration using litter δ13C and δ15N values did not significantly affect SEAc and trophic dissimilarity. We calculated the standard deviation of δ13C and δ15N values within the same functional group at each site. These values served as indicators of the variation in both basal resource use and trophic position among functional groups.
Statistical analyses
All analyses were done in R 4.0.3104. To assess the effects of land use and climate on the SEAc and trophic dissimilarity of soil animals, we selected the subsets from tropical/temperate and agricultural systems/woodlands from the whole dataset. These two climatic zones and land‑use types were selected because they had the most robust sample sizes; however, in the subsequent analyses of environmental drivers of trophic diversity (SEM and random forest) we used the full dataset. We fitted linear mixed-effects models (LMMs) using log-transformed SEAc and trophic dissimilarity and then applied contrasts between tropical and temperate ecosystems, as well as between agricultural systems and woodlands to estimate effect sizes. We conducted three separate LMMs for log-transformed SEAc of functional groups, SEAc of taxonomic groups and trophic dissimilarity. The models included functional groups (herbivores, detritivores, microbivores and predators), land use (agricultural systems and woodlands), biome (tropical and temperate) and their interactions as fixed effects. To account for non-independence, we included the study site identity (siteID) as a random effect in all models to account for the non-independence of multiple observations (across different functional groups) coming from the same location. The siteID refers to the unique identifier of the sampling site and is also the spatial unit at which the trophic diversity of soil animals was calculated. Spatial autocorrelation was tested by using Moran’s I on model residuals based on the five nearest neighbours of sampling coordinates, which indicated no significant spatial autocorrelation (P = 0.18); thus, spatial autocorrelation was not included in the final models. In addition, we included taxonomic group identity (nested within functional group) as random effect in models using taxonomic group-level SEAc and taxonomic group identity (reflecting the taxonomic composition of each functional group) as random effect in models using functional group-level SEAc.
For estimating effect sizes of land use and climate, we used the emmeans package to compute the estimated marginal means in the linear models. Then, we used the contrast function from the emmeans package to calculate contrasts between temperate versus tropical and woodland versus agriculture105.
Additionally, we built another model and included sampling number and family richness as covariates to inspect their effects on the log-transformed SEAc of functional groups. The models included functional groups, land use, climate, sampling number and family richness as fixed effects, with site included as random effect. We checked model assumptions of the most parsimonious models by fitting model residuals versus the results of fitted models.
To elucidate the drivers behind larger functional group SEAc, we used two separate LMMs. One model included SEAc of taxonomic groups and trophic dissimilarity as explanatory variables, while the other explored variations in δ13C and δ15N as separate explanatory variables. We additionally evaluated models incorporating squared δ¹³C and δ¹⁵N terms, which showed inferior fit (higher Akaike information criterion/Bayesian information criterion and lower log-likelihood) compared with the linear specifications, thus justifying our use of linear terms. We then used the estimated value of the coefficient for each independent variable to estimate their contribution to SEAc of functional groups.
To estimate the environmental drivers of trophic diversity of soil animals, random forest models were implemented to build a set of regression trees with environmental predictors and to average the results106 for each functional group. In total, 12 environmental predictors were used to assess their explanatory power for explaining the trophic diversity with percentages of increased mean stand error (%IncMSE). The number of the trees was set to 500 and the minimum node size was set to three.
For further exploring the pathways of environmental variables working on trophic diversity via niche expansion (trophic diversity of taxa) and niche partitioning (trophic dissimilarity among taxa), piecewise structural equation models (piecewiseSEM) were used. We mapped the hypothesized causal pathways from climatic/edaphic factors directly to the niche partitioning/expansion or via resources (Supplementary Fig. 12). To comprehensively indicate variables of climate, climate variation and resources, we performed principal component analysis for these variables, respectively (Supplementary Fig. 12). We combined MAP and MAT with PC1 of them for climate (mean) and combined temperature variation of seasonality and precipitation variation of seasonality with PC1 of them for climate variation and combined belowground biomass, soil organic C and net primary productivity, with PC1 of them for resources. With larger PC1 values of climate (mean), climate variation and resources mean higher temperature and precipitation, larger climatic variation and more resources, respectively (Supplementary Fig. 13). We used piecewiseSEM rather than standard SEM because it allowed us to consider the random factor of site107. On the basis of our priori model, we modified models based on hypothesized causal pathways (Supplementary Fig. 12) until the directional separation tests and Fisher’s C test passed (P > 0.05). Then, we removed the paths that caused problems of negative Chi-square, poor causal links (directional separation tests, P < 0.05) and poor model fit (Fisher’s C test, P < 0.05) to remain consistent with the hypothesized model as much as possible (Supplementary Fig. 12).
The SIBER package was used for calculating the trophic diversity of soil animals45. The lme4 package was used to fit LMMs108 and the emmeans package to compute the estimated marginal means in the linear models105. The randomForest106 package was used to conduct the random forest models. The packages nlme, lme4 and piecewiseSEM109 were used to fit piecewiseSEM. All mixed models were visually checked to meet the assumption of residual homogeneity of variance. Results were visualized using the ggplot2 package110.
Reporting summary
Further information on research design is available in the Nature Portfolio Reporting Summary linked to this article.
Data availability
The data used in this work are available via figshare at https://figshare.com/s/c4a378183d4d35e982d1 (ref. 111).
Code availability
The R code used in this work is available via figshare at https://figshare.com/s/c4a378183d4d35e982d1 (ref. 111).
Change history
01 April 2026
A Correction to this paper has been published: https://doi.org/10.1038/s41559-026-03061-x
References
Anthony, M. A., Bender, S. F. & van der Heijden, M. G. A. Enumerating soil biodiversity. Proc. Natl Acad. Sci. USA 120, e2304663120 (2023).
Gessner, M. O. et al. Diversity meets decomposition. Trends Ecol. Evol. 25, 372–380 (2010).
Bardgett, R. D. & Wardle, D. A. Aboveground-Belowground Linkages: Biotic Interactions, Ecosystem Processes, and Global Change (Oxford Univ. Press, 2010).
Schmitz, O. J. & Leroux, S. J. Food webs and ecosystems: linking species interactions to the carbon cycle. Annu. Rev. Ecol. Evol. Syst. 51, 271–295 (2020).
de Vries, F. T. et al. Soil food web properties explain ecosystem services across European land use systems. Proc. Natl Acad. Sci. USA 110, 14296–14301 (2013).
Scheu, S. Plants and generalist predators as links between the below-ground and above-ground system. Basic Appl. Ecol. 2, 3–13 (2001).
Wardle, D. A. et al. Ecological linkages between aboveground and belowground biota. Science 304, 1629–1633 (2004).
Bardgett, R. D. & van der Putten, W. H. Belowground biodiversity and ecosystem functioning. Nature 515, 505–511 (2014).
Guerra, C. A. et al. Tracking, targeting, and conserving soil biodiversity. Science 371, 239–241 (2021).
Handa, I. T. et al. Consequences of biodiversity loss for litter decomposition across biomes. Nature 509, 218–221 (2014).
Heemsbergen, D. A. et al. Biodiversity effects on soil processes explained by interspecific functional dissimilarity. Science 306, 1019–1020 (2004).
Levine, J. M. & HilleRisLambers, J. The importance of niches for the maintenance of species diversity. Nature 461, 254–257 (2009).
Thébault, E. & Loreau, M. Trophic interactions and the relationship between species diversity and ecosystem stability. Am. Nat. 166, E95–E114 (2005).
Hedde, M. et al. A common framework for developing robust soil fauna classifications. Geoderma 426, 116073 (2022).
Potapov, A. M. et al. Feeding habits and multifunctional classification of soil-associated consumers from protists to vertebrates. Biol. Rev. 97, 1057–1117 (2022).
Blouin, M. et al. A review of earthworm impact on soil function and ecosystem services: earthworm impact on ecosystem services. Eur. J. Soil Sci. 64, 161–182 (2013).
Brussaard, L., Pulleman, M. M., Ouédraogo, É, Mando, A. & Six, J. Soil fauna and soil function in the fabric of the food web. Pedobiologia 50, 447–462 (2007).
Wu, D., Du, E., Eisenhauer, N., Mathieu, J. & Chu, C. Global engineering effects of soil invertebrates on ecosystem functions. Nature 640, 120–129 (2025).
Filser, J. et al. Soil fauna: key to new carbon models. Soil 2, 565–582 (2016).
Lussenhop, J. Mechanisms of microarthropod-microbial interactions in soil. Adv. Ecol. Res. 23, 1–33 (1992).
Scheu, S., Ruess, L. & Bonkowski, M. in Microorganisms in Soils: Roles in Genesis and Functions (eds Varma, A. & Buscot, F.) 253–275 (Springer-Verlag, 2005).
Majdi, N., Boiché, A., Traunspurger, W. & Lecerf, A. Predator effects on a detritus-based food web are primarily mediated by non-trophic interactions. J. Anim. Ecol. 83, 953–962 (2014).
Jiang, Y. et al. Unraveling the importance of top-down predation on bacterial diversity at the soil aggregate level. Geoderma 439, 116658 (2023).
Bommarco, R., Kleijn, D. & Potts, S. G. Ecological intensification: harnessing ecosystem services for food security. Trends Ecol. Evol. 28, 230–238 (2013).
Matson, P. A. Agricultural intensification and ecosystem properties. Science 277, 504–509 (1997).
Newbold, T. et al. Global effects of land use on local terrestrial biodiversity. Nature 520, 45–50 (2015).
Potapov, A. M. et al. Rainforest transformation reallocates energy from green to brown food webs. Nature 627, 116–122 (2024).
de Vries, F. T. et al. Land use alters the resistance and resilience of soil food webs to drought. Nat. Clim. Change 2, 276–280 (2012).
Zhou, Z., Krashevska, V., Widyastuti, R., Scheu, S. & Potapov, A. Tropical land use alters functional diversity of soil food webs and leads to monopolization of the detrital energy channel. eLife 11, e75428 (2022).
Barnes, A. D. et al. Consequences of tropical land use for multitrophic biodiversity and ecosystem functioning. Nat. Commun. 5, 5351 (2014).
Rooney, N., McCann, K., Gellner, G. & Moore, J. C. Structural asymmetry and the stability of diverse food webs. Nature 442, 265–269 (2006).
Pagani-Núñez, E. et al. Niches in the Anthropocene: passerine assemblages show niche expansion from natural to urban habitats. Ecography 42, 1360–1369 (2019).
Magioli, M. et al. Human-modified landscapes alter mammal resource and habitat use and trophic structure. Proc. Natl Acad. Sci. USA 116, 18466–18472 (2019).
Parreira De Castro, D. M. et al. Land use influences niche size and the assimilation of resources by benthic macroinvertebrates in tropical headwater streams. PLoS ONE 11, e0150527 (2016).
Price, E. L., Sertić Perić, M., Romero, G. Q. & Kratina, P. Land use alters trophic redundancy and resource flow through stream food webs. J. Anim. Ecol. 88, 677–689 (2019).
Wang, Y. et al. Trophic structure in response to land use in subtropical streams. Ecol. Indic. 127, 107746 (2021).
van den Hoogen, J. et al. Soil nematode abundance and functional group composition at a global scale. Nature 572, 194–198 (2019).
Phillips, H. R. P. et al. Global distribution of earthworm diversity. Science 366, 480–485 (2019).
Potapov, A. M. et al. Globally invariant metabolism but density–diversity mismatch in springtails. Nat. Commun. 14, 674 (2023).
Tsiafouli, M. A. et al. Intensive agriculture reduces soil biodiversity across Europe. Glob. Change Biol. 21, 973–985 (2015).
Postma-Blaauw, M. B., De Goede, R. G. M., Bloem, J., Faber, J. H. & Brussaard, L. Soil biota community structure and abundance under agricultural intensification and extensification. Ecology 91, 460–473 (2010).
Burdon, F. J., McIntosh, A. R. & Harding, J. S. Mechanisms of trophic niche compression: evidence from landscape disturbance. J. Anim. Ecol. 89, 730–744 (2020).
Potapov, A., Tiunov, A. V. & Scheu, S. Uncovering trophic positions and food resources of soil animals using bulk natural stable isotope composition. Biol. Rev. 94, 37–59 (2019).
Post, D. M. Using stable isotopes to estimate trophic position: models, methods, and assumptions. Ecology 83, 703–718 (2002).
Jackson, A. L., Inger, R., Parnell, A. C. & Bearhop, S. Comparing isotopic niche widths among and within communities: SIBER—Stable Isotope Bayesian Ellipses in R. J. Anim. Ecol. 80, 595–602 (2011).
Layman, C. A., Arrington, D. A., Montana, C. G. & Post, D. M. Can stable isotope ratios provide for community-wide measures of trophic structure?. Ecology 88, 42–48 (2007).
Marshall, H. H. et al. Stable isotopes are quantitative indicators of trophic niche. Ecol. Lett. 22, 1990–1992 (2019).
Burton, V. J. et al. Effects of land use and soil properties on taxon richness and abundance of soil assemblages. Eur. J. Soil Sci. 74, e13430 (2023).
Nash, L. N. et al. Tropical and temperate differences in the trophic structure and aquatic prey use of riparian predators. Ecol. Lett. 26, 2122–2134 (2023).
Erktan, A., Or, D. & Scheu, S. The physical structure of soil: determinant and consequence of trophic interactions. Soil Biol. Biochem. 148, 107876 (2020).
Steffan, S. A. et al. Microbes are trophic analogs of animals. Proc. Natl Acad. Sci. USA 112, 15119–15124 (2015).
Maraun, M. et al. New perspectives on soil animal trophic ecology through the lens of C and N stable isotope ratios of oribatid mites. Soil Biol. Biochem. 177, 108890 (2023).
Potapov, A. A., Semenina, E. E., Korotkevich, A. Y., Kuznetsova, N. A. & Tiunov, A. V. Connecting taxonomy and ecology: trophic niches of collembolans as related to taxonomic identity and life forms. Soil Biol. Biochem. 101, 20–31 (2016).
Klarner, B. et al. Trophic shift of soil animal species with forest type as indicated by stable isotope analysis. Oikos 123, 1173–1181 (2014).
Korobushkin, D. I., Gongalsky, K. B. & Tiunov, A. V. Isotopic niche (δ13С and δ15N values) of soil macrofauna in temperate forests. Rapid Commun. Mass Spectrom. 28, 1303–1311 (2014).
Wolkovich, E. M. Reticulated channels in soil food webs. Soil Biol. Biochem. 102, 18–21 (2016).
Potapov, A. et al. Towards a global synthesis of Collembola knowledge—challenges and potential solutions. Soil Org. 92, 161–188 (2020).
Zuev, A. et al. Different groups of ground-dwelling spiders share similar trophic niches in temperate forests. Ecol. Entomol. 45, 1346–1356 (2020).
Hunt, H. W. et al. The detrital food web in a shortgrass prairie. Biol. Fertil. Soils 3, 57–68 (1987).
Behmer, S. T. Insect herbivore nutrient regulation. Annu. Rev. Entomol. 54, 165–187 (2009).
Bernays, E. A. & Chapman, R. E. Host–Plant Selection by Phytophagous Insects (Springer, 1994).
Schallhart, N., Tusch, M. J., Wallinger, C., Staudacher, K. & Traugott, M. Effects of plant identity and diversity on the dietary choice of a soil-living insect herbivore. Ecology 93, 2650–2657 (2012).
Yin, R., Siebert, J., Eisenhauer, N. & Schädler, M. Climate change and intensive land use reduce soil animal biomass via dissimilar pathways. eLife 9, e54749 (2020).
Zhou, Z. et al. Plant roots fuel tropical soil animal communities. Ecol. Lett. 26, 742–753 (2023).
Rembold, K., Mangopo, H., Tjitrosoedirdjo, S. S. & Kreft, H. Plant diversity, forest dependency, and alien plant invasions in tropical agricultural landscapes. Biol. Conserv. 213, 234–242 (2017).
Maraun, M., Martens, H., Migge, S., Theenhaus, A. & Scheu, S. Adding to ‘the enigma of soil animal diversity’: fungal feeders and saprophagous soil invertebrates prefer similar food substrates. Eur. J. Soil Biol. 39, 85–95 (2003).
Schneider, K. & Maraun, M. Feeding preferences among dark pigmented fungal taxa (‘Dematiacea’) indicate limited trophic niche differentiation of oribatid mites (Oribatida, Acari). Pedobiologia 49, 61–67 (2005).
Korotkevich, A. Y., Potapov, A. M., Tiunov, A. V. & Kuznetsova, N. A. Collapse of trophic-niche structure in belowground communities under anthropogenic disturbance. Ecosphere 9, e02528 (2018).
Betancur-Corredor, B., Lang, B. & Russell, D. J. Organic nitrogen fertilization benefits selected soil fauna in global agroecosystems. Biol. Fertil. Soils 59, 1–16 (2023).
Crowther, T. W. et al. The global soil community and its influence on biogeochemistry. Science 365, eaav0550 (2019).
Camenzind, T., Hättenschwiler, S., Treseder, K. K., Lehmann, A. & Rillig, M. C. Nutrient limitation of soil microbial processes in tropical forests. Ecol. Monogr. 88, 4–21 (2018).
McGroddy, M. E., Daufresne, T. & Hedin, L. O. Scaling of C:N:P stoichiometry in forests worldwide: implications of terrestrial Redfield-type ratios. Ecology 85, 2390–2401 (2004).
Roslin, T. et al. Higher predation risk for insect prey at low latitudes and elevations. Science 356, 742–744 (2017).
Gauzens, B. et al. Flexible foraging behaviour increases predator vulnerability to climate change. Nat. Clim. Change 14, 387–392 (2024).
Gossner, M. M. et al. Land-use intensification causes multitrophic homogenization of grassland communities. Nature 540, 266–269 (2016).
McKinney, M. L. & Lockwood, J. L. Biotic homogenization: a few winners replacing many losers in the next mass extinction. Trends Ecol. Evol. 14, 450–453 (1999).
Bluhm, S. L. et al. Protura are unique: first evidence of specialized feeding on ectomycorrhizal fungi in soil invertebrates. BMC Ecol. 19, 10 (2019).
Crotty, F. V., Blackshaw, R. P., Adl, S. M., Inger, R. & Murray, P. J. Divergence of feeding channels within the soil food web determined by ecosystem type. Ecol. Evol. 4, 1–13 (2014).
Goncharov, A. A., Khramova, E., Yu & Tiunov, A. V. Spatial variations in the trophic structure of soil animal communities in boreal forests of Pechora-Ilych Nature Reserve. Eur. Soil Sci. 47, 441–448 (2014).
Goncharov, A. A. et al. Sex-related variation in δ15N values of ground beetles (Coleoptera, Carabidae): a case study. Pedobiologia 58, 147–151 (2015).
Goncharov, A. A., Tsurikov, S. M., Potapov, A. M. & Tiunov, A. V. Short-term incorporation of freshly fixed plant carbon into the soil animal food web: field study in a spruce forest. Ecol. Res. 31, 923–933 (2016).
Hyodo, F., Takematsu, Y., Matsumoto, T., Inui, Y. & Itioka, T. Feeding habits of Hymenoptera and Isoptera in a tropical rain forest as revealed by nitrogen and carbon isotope ratios. Insect. Soc. 58, 417–426 (2011).
Hyodo, F. et al. Stable isotope analysis reveals the importance of plant-based diets for tropical ant-mimicking spiders. Entomol. Sci. 21, 461–468 (2018).
Klarner, B. et al. Trophic niches, diversity and community composition of invertebrate top predators (Chilopoda) as affected by conversion of tropical lowland rainforest in Sumatra (Indonesia). PLoS ONE 12, e0180915 (2017).
Korobushkin, D. I. Role of allochthonous carbon in the energy of terrestrial invertebrate communities at different distances from the Black Sea and a freshwater lake (isotopic evidence). Russ. J. Ecol. 45, 223–230 (2014).
Korobushkin, D. I. et al. Consumption of aquatic subsidies by soil invertebrates in coastal ecosystems. Contemp. Probl. Ecol. 9, 396–406 (2016).
Korobushkin, D. I. et al. Are there different trophic niches of enchytraeids? A stable isotopic (δ13C, δ15N) evidence. Soil Biol. Biochem. 194, 109422 (2024).
Li, Z. et al. Incorporation of root-derived carbon into soil microarthropods varies between cropping systems. Biol. Fertil. Soils 56, 839–851 (2020).
Melody, C., Griffiths, B., Dyckmans, J. & Schmidt, O. Stable isotope analysis (δ13C and δ15N) of soil nematodes from four feeding groups. PeerJ 4, e2372 (2016).
Okuzaki, Y., Tayasu, I., Okuda, N. & Sota, T. Vertical heterogeneity of a forest floor invertebrate food web as indicated by stable-isotope analysis. Ecol. Res. 24, 1351–1359 (2009).
Pollierer, M. M., Langel, R., Scheu, S. & Maraun, M. Compartmentalization of the soil animal food web as indicated by dual analysis of stable isotope ratios (15N/14N and 13C/12C). Soil Biol. Biochem. 41, 1221–1226 (2009).
Potapov, A. M., Semenyuk, I. I. & Tiunov, A. V. Seasonal and age-related changes in the stable isotope composition (15N/14N and 13C/12C) of millipedes and collembolans in a temperate forest soil. Pedobiologia 57, 215–222 (2014).
Salamon, J., Wissuwa, J., Frank, T., Scheu, S. & Potapov, A. M. Trophic level and basal resource use of soil animals are hardly affected by local plant associations in abandoned arable land. Ecol. Evol. 10, 8279–8288 (2020).
Scheunemann, N., Scheu, S. & Butenschoen, O. Incorporation of decade old soil carbon into the soil animal food web of an arable system. Appl. Soil Ecol. 46, 59–63 (2010).
Scheunemann, N., Digel, C., Scheu, S. & Butenschoen, O. Roots rather than shoot residues drive soil arthropod communities of arable fields. Oecologia 179, 1135–1145 (2015).
Seeber, J. et al. Abundance and trophic structure of macro-decomposers on alpine pastureland (Central Alps, Tyrol): effects of abandonment of pasturing. Pedobiologia 49, 221–228 (2005).
Seeber, J., Langel, R., Meyer, E. & Traugott, M. Dwarf shrub litter as a food source for macro-decomposers in alpine pastureland. Appl. Soil Ecol. 41, 178–184 (2009).
Steinwandter, M., Rief, A., Scheu, S., Traugott, M. & Seeber, J. Structural and functional characteristics of high alpine soil macro-invertebrate communities. Eur. J. Soil Biol. 86, 72–80 (2018).
Tanaka, H. O., Haraguchi, T. F., Tayasu, I. & Hyodo, F. Stable and radio-isotopic signatures reveal how the feeding habits of ants respond to natural secondary succession in a cool-temperate forest. Insect. Soc. 66, 37–46 (2019).
Kempson, D., Lloyd, M. & Ghelardi, R. A new extractor for woodland litter. Pedobiologia 3, 1–21 (1963).
Potapov, A., Scheu, S. & Tiunov, A. V. Trophic consistency of supraspecific taxa in below-ground invertebrate communities: comparison across lineages and taxonomic ranks. Funct. Ecol. 33, 1172–1183 (2019).
Tsurikov, S. M., Goncharov, A. A. & Tiunov, A. V. Intra-body variation and ontogenetic changes in the isotopic composition (13C/12C and 15N/14N) of beetles (Coleoptera). Entmol. Rev. 95, 326–333 (2015).
Langel, R. & Dyckmans, J. Combined 13C and 15N isotope analysis on small samples using a near-conventional elemental analyzer/isotope ratio mass spectrometer setup: combined 13C and 15N isotope analysis on small samples via μEA/IRMS. Rapid Commun. Mass Spectrom. 28, 1019–1022 (2014).
R Core Team. R: A Language and Environment for Statistical Computing (R Foundation for Statistical Computing, 2020).
Lenth, R. V. emmeans: Estimated marginal means, aka least-squares means. R version 4.1.0 (2021).
Breiman, L. Random forests. Mach. Learn. 45, 5–32 (2001).
Shipley, B. Confirmatory path analysis in a generalized multilevel context. Ecology 90, 363–368 (2009).
Bates, D., Mächler, M., Bolker, B. & Walker, S. Fitting linear mixed-effects models using lme4. J. Stat. Softw. 67, 1–48 (2015).
Lefcheck, J. S. piecewiseSEM: piecewise structural equation modelling in R for ecology, evolution, and systematics. Methods Ecol. Evol 7, 573–579 (2016).
Wickham, H. Ggplot2: Elegant Graphics for Data Analysis (Springer-Verlag, 2016).
Greater trophic diversity of soil animal communities under land use and warmer climate. Figshare https://figshare.com/s/c4a378183d4d35e982d1 (2026).
Acknowledgements
The work was supported by the Alexander von Humboldt foundation in the framework of a Research group linkage programme 1071297-RUS-IP ‘Structure and functioning of belowground food webs across temperate and tropical eco- systems’. Z.Z. was supported by Deutsche Forschungsgemeinschaft (DFG, 532858005) and the China Scholarship Council (CSC, 202004910314). A.P. was supported by the DFG, German Research Foundation, in the framework of the Emmy Noether programme (project no. 493345801) and iDiv (DFG–FZT118, 202548816). S.S., A.D.B. and M.J. acknowledge support by the DFG in the framework of the collaborative German–Indonesian research project CRC990—EFForTS (192626868—SFB 990). S.S. and A.P. further acknowledge funding by DFG project 532846413. M.M.P. was funded by the DFG Priority Program 1374 ‘BiodiversityExploratories’ (SCHE 376/38-2). N.E. acknowledges funding by the DFG (German Centre for Integrative Biodiversity Research, FZT118; Ei 862/29-1; Ei 862/31-1). K.S. acknowledges CSF 22-17593 M and ERC 805189. D.K. was supported by RSF (25-24-00639). We thank F. Ashwood and H. Yin for the soil animal photos and S. Meyer for the animal silhouettes.
Funding
Open access funding provided by Universität Hohenheim.
Author information
Authors and Affiliations
Contributions
Z.Z. and A.P. conceptualized the idea and designed the study. Z.Z., A.D.B., M.M.P., M.J., Y.Z., U.B., F.H., N.S., O.S., Y.H., B.K., A.A.G., A.K., D.K., A.G., I.I.L., S.M.T., J.S., M.S., V.A.Z., O.L.R., W.I.S., F.V.C., D.A.P., Z.L., C.M., Z.X., D.W., M.M., K.S., A.V.T., S.S. and A.P. collected data. A.P., S.M.T. and Z.Z. compiled the data. Z.Z. conducted the data analysis with help from A.P., Y.Z. and N.E. Z.Z. wrote the paper. All authors contributed to interpretation of the results and edited drafts of the paper.
Corresponding author
Ethics declarations
Competing interests
The authors declare no competing interests.
Peer review
Peer review information
Nature Ecology & Evolution thanks the anonymous reviewers for their contribution to the peer review of this work. Peer reviewer reports are available.
Additional information
Publisher’s note Springer Nature remains neutral with regard to jurisdictional claims in published maps and institutional affiliations.
Supplementary information
Supplementary Information (download PDF )
Supplementary Figs. 1–13 and Tables 1–10.
Rights and permissions
Open Access This article is licensed under a Creative Commons Attribution 4.0 International License, which permits use, sharing, adaptation, distribution and reproduction in any medium or format, as long as you give appropriate credit to the original author(s) and the source, provide a link to the Creative Commons licence, and indicate if changes were made. The images or other third party material in this article are included in the article’s Creative Commons licence, unless indicated otherwise in a credit line to the material. If material is not included in the article’s Creative Commons licence and your intended use is not permitted by statutory regulation or exceeds the permitted use, you will need to obtain permission directly from the copyright holder. To view a copy of this licence, visit http://creativecommons.org/licenses/by/4.0/.
About this article
Cite this article
Zhou, Z., Eisenhauer, N., Barnes, A.D. et al. Greater trophic diversity of soil animal communities under agricultural land use and tropical climate. Nat Ecol Evol (2026). https://doi.org/10.1038/s41559-026-03014-4
Received:
Accepted:
Published:
Version of record:
DOI: https://doi.org/10.1038/s41559-026-03014-4






