Abstract
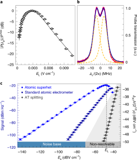
Highly sensitive phase- and frequency-resolved detection of microwave electric fields is of central importance in a wide range of fields, including cosmology1,2, meteorology3, communication4 and microwave quantum technology5. Atom-based electrometers6,7 promise traceable standards for microwave electrometry, but their best sensitivity is currently limited to a few μV cm−1 Hz−1/2 (refs. 8,9) and they only yield information about the field amplitude and polarization10. Here, we demonstrate a conceptually new microwave electric field sensor—the Rydberg-atom superheterodyne receiver (superhet). The sensitivity of this technique scales favourably, achieving even 55 nV cm−1 Hz−1/2 with a modest set-up. The minimum detectable field of 780 pV cm−1 is three orders of magnitude smaller than what can be reached by existing atomic electrometers. The Rydberg-atom superhet allows SI-traceable measurements, reaching uncertainty levels of 10−8 V cm−1 when measuring a sub-μV cm−1 field, which has been inaccessible so far with atomic sensors. Our method also enables phase and frequency detection. In sensing Doppler frequencies, sub-μHz precision is reached for fields of a few hundred nV cm−1. This work is a first step towards realizing electromagnetic-wave quantum sensors with quantum projection noise-limited sensitivity. Such a device will impact diverse areas like radio astronomy, radar technology and metrology.
This is a preview of subscription content, access via your institution
Access options
Access Nature and 54 other Nature Portfolio journals
Get Nature+, our best-value online-access subscription
$32.99 / 30 days
cancel any time
Subscribe to this journal
Receive 12 print issues and online access
$259.00 per year
only $21.58 per issue
Buy this article
- Purchase on SpringerLink
- Instant access to the full article PDF.
USD 39.95
Prices may be subject to local taxes which are calculated during checkout




Similar content being viewed by others
References
Spitler, L. G. et al. A repeating fast radio burst. Nature 531, 202–205 (2016).
Shannon, R. M. et al. The dispersion-brightness relation for fast radio bursts from a wide-field survey. Nature 562, 386–390 (2018).
Alsdorf, D. E. et al. Interferometric radar measurements of water level changes on the Amazon flood plain. Nature 404, 174–177 (2000).
Rohde, U. L. & Whitaker, J. C. Communications Receivers: Principles and Design 4th edn (McGraw-Hill Education, 2017).
Maeda, H., Norum, D. V. L. & Gallagher, T. F. Microwave manipulation of an atomic electron in a classical orbit. Science 307, 1757–1760 (2005).
Fan, H. et al. Atom based RF electric field sensing. J. Phys. B 48, 202001 (2015).
Sedlacek, J. A. et al. Microwave electrometry with Rydberg atoms in a vapour cell using bright atomic resonances. Nat. Phys. 8, 819–824 (2012).
Kumar, S., Fan, H., Kübler, H., Sheng, J. & Shaffer, J. P. Atom-based sensing of weak radio frequency electric fields using homodyne readout. Sci. Rep. 7, 42981 (2017).
Kumar, S., Fan, H., Kübler, H., Jahangiri, A. J. & Shaffer, J. P. Rydberg-atom based radio-frequency electrometry using frequency modulation spectroscopy in room temperature vapor cells. Opt. Express 25, 8625–8637 (2017).
Sedlacek, J. A., Schwettmann, A., Kübler, H. & Shaffer, J. P. Atom-based vector microwave electrometry using rubidium Rydberg atoms in a vapor cell. Phys. Rev. Lett. 111, 063001 (2013).
Degen, C. L., Reinhard, F. & Cappellaro, P. Quantum sensing. Rev. Mod. Phys. 89, 035002 (2017).
Mohapatra, A. K., Bason, M. G., Butscher, B., Weatherill, K. J. & Adams, C. S. A giant electro-optic effect using polarizable dark states. Nat. Phys. 4, 890–894 (2008).
Holloway, C. L. et al. Broadband Rydberg atom-based electric-field probe for SI-traceable, self-calibrated measurements. IEEE Trans. Antennas Propag. 62, 6169–6182 (2014).
Holloway, C. L. et al. Electric field metrology for SI traceability: systematic measurement uncertainties in electromagnetically induced transparency in atomic vapor. J. Appl. Phys. 121, 233106 (2017).
Cox, K. C., Meyer, D. H., Fatemi, F. K. & Kunz, P. D. Quantum-limited atomic receiver in the electrically small regime. Phys. Rev. Lett. 121, 110502 (2018).
Böhi, P. & Treutlein, P. Simple microwave field imaging technique using hot atomic vapor cells. Appl. Phys. Lett. 101, 181107 (2012).
Wade, C. G. et al. Real-time near-field terahertz imaging with atomic optical fluorescence. Nat. Photon. 11, 40–43 (2017).
Alabaster, C. Pulse Doppler Radar: Principles, Technology, Applications (SciTech, 2012).
Anderson, D. A., Sapiro, R. E. & Raithel, G. An atomic receiver for AM and FM radio communication. IEEE Trans. Antennas Propag. https://doi.org/10.1109/TAP.2020.2987112 (2020).
Pandey, K. Single reference atomic based MW interferometry using EIT. Preprint at https://arxiv.org/pdf/1802.09935.pdf (2018).
Facon, A. et al. A sensitive electrometer based on a Rydberg atom in a Schrödinger-cat state. Nature 535, 262–265 (2016).
Tanasittikosol, M. et al. Microwave dressing of Rydberg dark states. J. Phys. B 44, 184020 (2011).
Fleischhauer, M., Imamoglu, A. & Marangos, J. P. Electromagnetically induced transparency: optics in coherent media. Rev. Mod. Phys. 77, 633–673 (2005).
Mohapatra, A. K., Jackson, T. R. & Adams, C. S. Coherent optical detection of highly excited Rydberg states using electromagnetically induced transparency. Phys. Rev. Lett. 98, 113003 (2007).
Boss, J. M., Cujia, K. S., Zopes, J. & Degen, C. L. Quantum sensing with arbitrary frequency resolution. Science 356, 837–840 (2017).
Ghosh, S. et al. Low-light-level optical interactions with rubidium vapor in a photonic band-gap fiber. Phys. Rev. Lett. 97, 023603 (2006).
Bajcsy, M. et al. Efficient all-optical switching using slow light within a hollow fiber. Phys. Rev. Lett. 102, 203902 (2009).
Kübler, H., Shaffer, J. P., Baluktsian, T., Löw, R. & Pfau, T. Coherent excitation of Rydberg atoms in micrometre-sized atomic vapour cells. Nat. Photon. 4, 112–116 (2010).
Koenig, S. et al. Wireless sub-THz communication system with high data rate. Nat. Photon. 7, 977–981 (2013).
Nagatsuma, T., Ducournau, G. & Renaud, C. C. Advances in terahertz communications accelerated by photonics. Nat. Photon. 10, 371–379 (2016).
Kessler, T. et al. A sub-40-mHz-linewidth laser based on a silicon single-crystal optical cavity. Nat. Photon. 6, 687–692 (2012).
Matei, D. G. et al. 1.5 μm lasers with sub-10 mHz linewidth. Phys. Rev. Lett. 118, 263202 (2017).
Musha, M., Nakagawa, K. & Ueda, K. Wideband and high frequency stabilization of an injection-locked Nd:YAG laser to a high-finesse Fabry–Perot cavity. Opt. Lett. 22, 1177–1179 (1997).
Endo, M. & Schibli, T. R. Residual phase noise suppression for Pound–Drever–Hall cavity stabilization with an electro-optic modulator. OSA Continuum 1, 116–123 (2018).
Acknowledgements
We acknowledge discussions with X. Liu, H. Pichler, A. Smerzi, H. Sheng, Y. Xiao and B. Vermersch. This research is funded by the National Key R&D Program of China (grant no. 2017YFA0304203), the National Natural Science Foundation of China (grants 61827824, 61527824, 11874038 and 61722507), 1331 Key Subjects Construction and 111 project (grant no. D18001). L.X. acknowledges support from the Program for Changjiang Scholars and Innovative Research Team (grant no. IRT13076). Y.H. and L.Z. also acknowledge support from the 100-Talent Program of Shanxi Province.
Author information
Authors and Affiliations
Contributions
L.X., S.J., L.Z. and M.J. proposed the project. M.J. and Y.H. developed the research. M.J. and L.Z. performed the experiments and analysed the experimental data. Y.H. and M.J. developed the theory and carried out theoretical calculations. M.J., L.Z. and H.Z. contributed to the experimental set-up. Y.H., M.J., L.X., J.M. and L.Z. wrote the manuscript and provided revisions. All authors contributed to discussions of the results and the manuscript.
Corresponding authors
Ethics declarations
Competing interests
The authors declare no competing interests.
Additional information
Publisher’s note Springer Nature remains neutral with regard to jurisdictional claims in published maps and institutional affiliations.
Extended data
Extended Data Fig. 1 Overview of the experimental setup.
We have used the following notations: (1) DL PRO: external-cavity diode lasers, (2) CR: diode laser current, (3) PZT: piezo ceramic, (4) AOM: The double-pass acousto-optic modulators which shift the frequencies of the probe and coupling lights to atomic resonances, (5) INS: intensity noise server, (6) FNS: frequency noise server, (7) ULE: ultra-low expansion (ULE) glass cavity, (8) TA & SHG: tapered amplifier and second-harmonic generation, (9) HWP: half-wave plate, (10) PBS: polarizing beam splitter, (11) HR: dielectric mirror, (12) GPSDO: GPS disciplined oscillator with Rubidium timebase, (13) RPD: 2-way microwave resistive power divider, (14) FFT: fast Fourier transform, (15) DAO: digital acquisition oscilloscope, (16) SA: spectrum analyzer, (17) Lock-in: lock-in amplifier.
Extended Data Fig. 2 Measurements of the same signal for various laser powers.
In measuring the same signal, seven different choices of (Pp, Pc) for the powers of probe and control lasers are considered, indexed by i = 1, …, 7 in the horizontal axis of a and b. They are respectively (120 μW, 34 mW), (108 μW, 30 mW), (120 μW, 30 mW), (132 μW, 34 mW), (120 μW, 27 mW), (84 μW, 30 mW), (180 μW, 39 mW). Panel a presents measurements of ∣P(δs)∣ and ∣κ0∣ by atomic superhet, and panel b shows \({E}_{s}=[\hslash /(\sqrt{2}\ \mu )]| P({\delta }_{s})| /| {\kappa }_{0}|\). In panel a, the dark blue circle denotes single-shot measurement of ∣P(δs)∣. The light blue square depicts average ∣P(δs)∣ from 10 single-shot measurements with error bar indicating the 1σ standard error. All data of ∣P(δs)∣ has been normalized by the median of ∣P(δs)∣. The gray circle denotes single-shot measurement of ∣κ0∣. Average ∣κ0∣ from 3 measurements is shown (black square) with error bar denoting 1σ standard error. Data of ∣κ0∣ has been normalized by its median. In panel b, the red circle represents single-shot measurement of Es by atomic superhet, and the blue square depicts average Es from 10 measurements with error bar indicating the 1σ standard error. The same signal electric field is also measured using standard antenna method (dashed black line), and the light blue patch denotes measurement uncertainty in this method.
Extended Data Fig. 3 Sensitivity spectrum of the Rydberg-atom superhet.
Measured sensitivity S as a function of relative signal frequency δs is shown for various optical readout noises (red curve), the amplifier noise of photon detector (gray curve) and the spectrum analyzer noise (black curve). These optical readout noises include 1/f noise, transit noise of atoms, and laser frequency noise. The blue line represents the QPNL sensitivity of our setup (Methods). The dashed gray line indicates δs = 150 kHz chosen in experiments in the main text. The sensitivity of our setup is limited by laser frequency noise to 55 nV cm−1 Hz−1/2.
Source data
Source Data Fig. 2
Numerical data used to generate graphs in Fig. 2.
Source Data Fig. 3
Numerical data used to generate graphs in Fig. 3.
Source Data Fig. 4
Numerical data used to generate graphs in Fig. 4.
Source Data Extended Data Fig. 2
Numerical data used to generate graphs in Extended Data Fig. 2.
Source Data Extended Data Fig. 3
Numerical data used to generate graphs in Extended Data Fig. 3.
Rights and permissions
About this article
Cite this article
Jing, M., Hu, Y., Ma, J. et al. Atomic superheterodyne receiver based on microwave-dressed Rydberg spectroscopy. Nat. Phys. 16, 911–915 (2020). https://doi.org/10.1038/s41567-020-0918-5
Received:
Accepted:
Published:
Version of record:
Issue date:
DOI: https://doi.org/10.1038/s41567-020-0918-5
This article is cited by
-
Quantum enhanced metrology based on flipping trajectory of cold Rydberg gases
Nature Communications (2026)
-
Sub-shot-noise Rydberg EIT spectrum
PhotoniX (2025)
-
Optically levitated nanoparticles as receiving antennas for low frequency wireless communication
PhotoniX (2025)
-
Ultrasensitive single-ion electrometry in a magnetic field gradient
Nature Physics (2025)
-
Microwave-coupled optical bistability in driven and interacting Rydberg gases
npj Quantum Information (2025)


