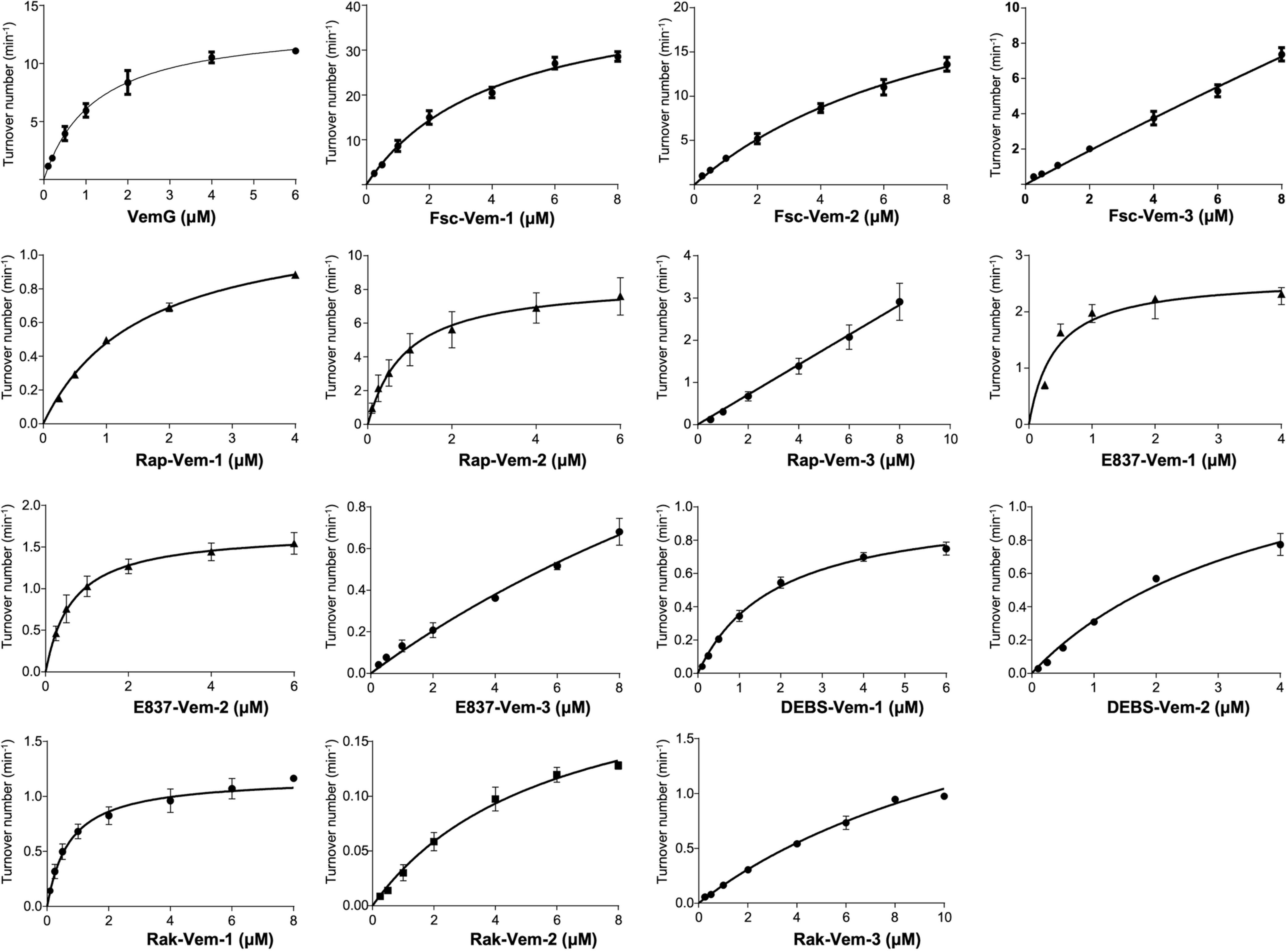
Extended Data Fig. 3: Steady-state kinetic analysis of hybrid PKSs.
From: Plug-and-play engineering of modular polyketide synthases

The product formation of the engineered PKS pathways was measured under variable concentration of the first PKS with constant concentration of 0.2 μM vemH and 1 mM start unit. The dose-response curves of enzyme turnover velocity (μM product /min /μM VemH) were obtained from non-linear fitting of data to Michaelis-Menten equation. Error bars represent mean ± s.d. from three parallel reactions as technical replicates.