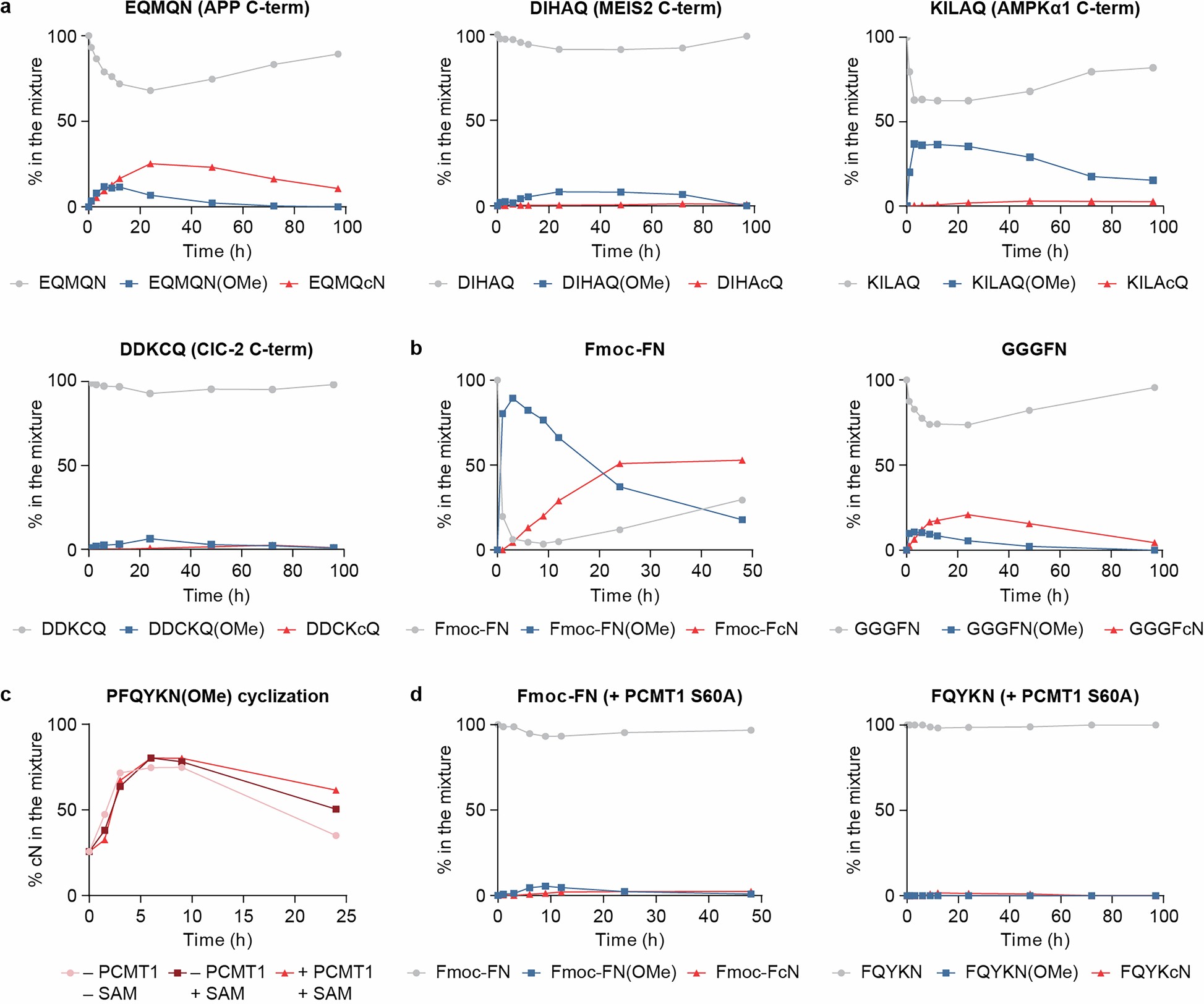
Extended Data Fig. 2: Efficiency of PCMT1-mediated C-terminal cyclic imide formation on various peptides.
From: PCMT1 generates the C-terminal cyclic imide degron on CRBN substrates

(a) Time-course of peptides representing the C-termini of proteins previously linked to CRBN incubated with PCMT1 and SAM in 50 mM Tris-Cl (pH 7.4) buffer at 37 °C (n = 3). (b) Time-course incubation of Fmoc-FN and GGGFN with PCMT1 and SAM in 50 mM Tris-Cl (pH 7.4) buffer at 37 °C (n = 3). (c) Time-course incubation of synthetically methylated peptide PFQYKN(OMe) in 50 mM Tris-Cl (pH 7.4) buffer at 37 °C with or without PCMT1 and SAM. (d) Time-course incubation of Fmoc-FN and FQYKN with the catalytically inactive PCMT1 S60A mutant and SAM in 50 mM Tris-Cl (pH 7.4) buffer at 37 °C (n = 2). For all these data, note that the grey curves likely represent the sum of two species, the C-terminal Asn or Gln (that is, the starting material) or the C-terminal amide (a hydrolysis product), which are indistinguishable by mass spectrometry. Indicated sample sizes (n) represent biological replicates.