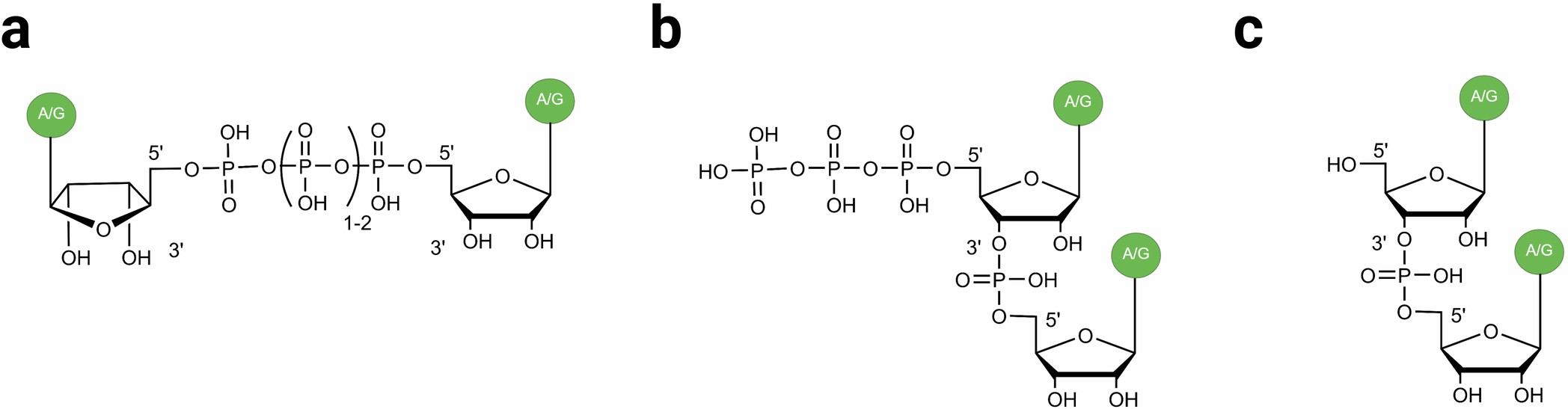
Extended Data Fig. 1: Distinct phosphodiester linkages in NpnNs and canonical RNA.
From: Molecular insight into 5′ RNA capping with NpnNs by bacterial RNA polymerase

Chemical structures of NpnNs (a), pppNpN nascent RNA dinucleotide (b) and NpN 5′-end hydroxyl dinucleotide primer (c). Created in BioRender. Serianni, V. (2025) https://BioRender.com/qasouxb.