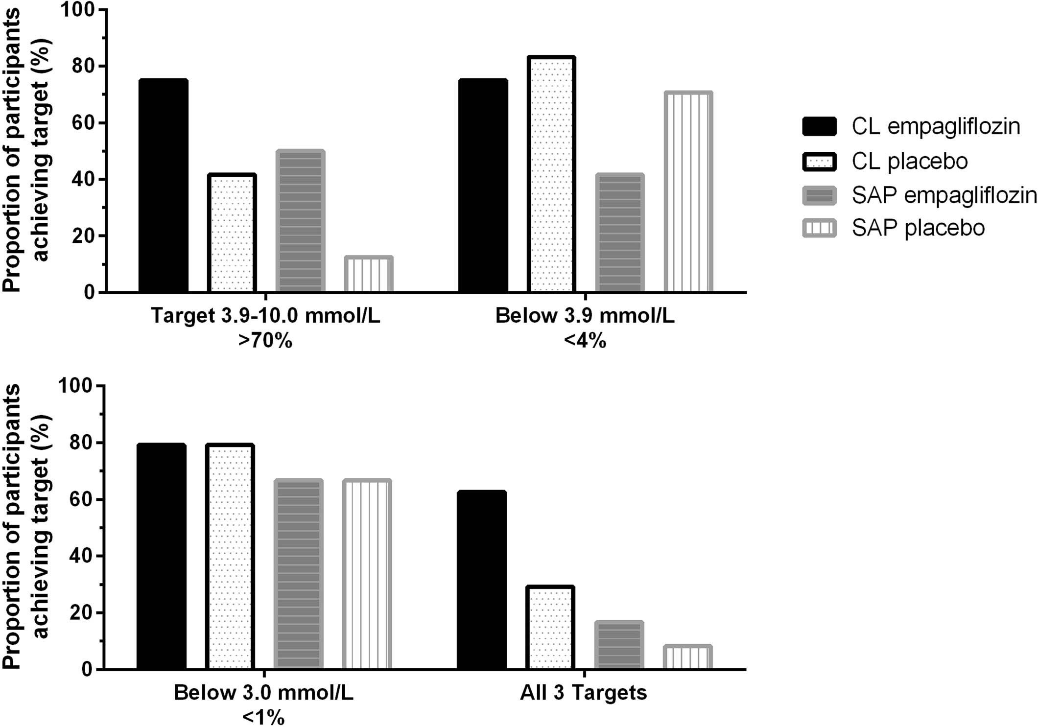
Extended Data Fig. 1

The proportion of participants achieving glycemic targets in each arm. n = 24 independent participants in each of the four settings.

The proportion of participants achieving glycemic targets in each arm. n = 24 independent participants in each of the four settings.