Abstract
The rapid emergence of the B.1.1.529 (Omicron) variant of SARS-CoV-2 led to a global resurgence of coronavirus disease 2019 (COVID-19). Israeli authorities approved a fourth COVID-19 vaccine dose (second booster) for individuals aged 60 years and over who had received a first booster dose 4 or more months earlier. Evidence for the effectiveness of a second booster dose in reducing hospitalizations and mortality due to COVID-19 is warranted. This retrospective cohort study included all members of Clalit Health Services who were aged 60–100 years and who were eligible for the second booster on 3 January 2022. Hospitalizations and mortality due to COVID-19 in participants who received the second booster were compared with those for participants who received one booster dose. Cox proportional hazards regression models with time-dependent covariates were used to estimate the association between the second booster and hospitalization and death due to COVID-19 while adjusting for demographic factors and coexisting illnesses. A total of 563,465 participants met the eligibility criteria. Of those, 328,597 (58%) received a second booster dose during the 40 day study period. Hospitalization due to COVID-19 occurred in 270 of the second-booster recipients and in 550 participants who received one booster dose (adjusted hazard ratio, 0.36; 95% confidence interval (CI): 0.31–0.43). Death due to COVID-19 occurred in 92 second-booster recipients and in 232 participants who received one booster dose (adjusted hazard ratio, 0.22; 95% CI: 0.17–0.28). This study demonstrates a substantial reduction in hospitalizations and deaths due to COVID-19 conferred by a second booster in Israeli adults aged 60 years and over.
Similar content being viewed by others
Main
The B.1.1.529 (Omicron) variant of SARS-CoV-2, which was first identified in South Africa in early November 2021, has led to an unprecedented worldwide resurgence of coronavirus disease 2019 (COVID-19) (Extended Data Fig. 1). Due to the considerable rise in breakthrough infections by the Omicron variant in individuals who have already received three vaccine doses, the Israeli Ministry of Health initiated a fourth vaccine (second booster) dose campaign to protect those at high risk for severe COVID-19. On 2 January 2022 the second booster dose was approved for individuals 60 years and older, high-risk populations, and healthcare workers who had received a first booster dose at least 4 months earlier1,2. Given the lack of epidemiological and large-scale clinical evidence available at the time, the decision on an additional booster dose was highly controversial3,4,5,6.
Initial short-term results for the effectiveness of a second booster dose of the BNT162b2 messenger RNA vaccine (Pfizer–BioNTech) in lowering rates of infection, severe illness and mortality have been published recently2,7. The objective of this study was to assess any decrease in hospitalizations and mortality due to COVID-19 associated with the provision of a second booster dose to the elderly population. The study follow-up started on 10 January 2022, 7 days after initiation of the second-booster campaign, to allow for the vaccination to become effective (Extended Data Fig. 2).
Results
Study population
At the study start date (3 January 2022), 563,465 participants met the eligibility criteria (Methods; Fig. 1). The mean age of the study participants was 73.0 years, and 53% were female. The most common comorbidities were hypertension, obesity and diabetes. Demographic and clinical characteristics are listed in Table 1.
Second-booster uptake
A total of 328,597 participants (58%) from the entire cohort of 563,465 individuals received the second booster dose during the 40 day study period. The association between patient characteristics and the second-booster uptake rate is given in Table 2. Compared with the 60–69 years age group, uptake was 49% higher in the 70–79 years age group and 57% higher in the 80–100 years age group. Higher socioeconomic status was associated with an 18% higher uptake for each additional point in the socioeconomic status. Compared with the general Jewish population, uptake was 19% lower in the Ultra-Orthodox Jewish population and was 41% lower in the minority Arab population.
Primary outcome: death due to COVID-19
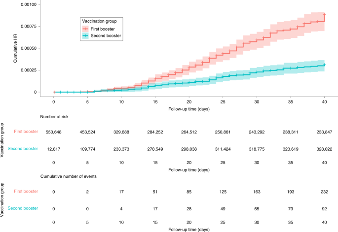
During the study period, death due to COVID-19 occurred in 92 of the second-booster recipients and in 232 of the participants in the first-booster group. The adjusted hazard ratio (HR) for death due to COVID-19 in the second-booster group compared with the first-booster group was 0.22 (95% CI: 0.17–0.28). Cumulative HR curves for death due to COVID-19 are shown in Fig. 2.
The Cox proportional hazards regression model with the time-dependent covariates is given in Table 3. The model included the variables that met the criteria for the proportional hazards assumption based on Schoenfeld’s global test (Supplementary Table 1). In the Cox regression model, compared with the 60–69 years age group, the 70–79 years age group and the 80–100 years age group were associated with higher mortality rates due to COVID-19 (HR 2.24, 95% CI: 1.51–3.34 and HR 9.95, 95% CI: 6.93–14.28, respectively). The following characteristics also had a significant association with death due to COVID-19: male sex (HR 1.59, 95% CI: 1.26–1.99), Ultra-Orthodox Jewish demographic group (HR 1.61, 95% CI: 1.00–2.59), chronic heart failure (HR 4.11, 95% CI: 3.22–5.25), chronic obstructive pulmonary disease (HR 1.82, 95% CI: 1.35–2.43), diabetes (HR 2.06, 95% CI: 1.64–2.58) and stroke (HR 1.84, 95% CI: 1.44–2.37).
Subgroup analysis by age group
In participants aged 60–69 years, death from COVID-19 occurred in 5 of 111,776 participants in the second-booster group and in 32 of 123,786 participants in the first-booster group. The adjusted HR for death due to COVID-19 in the second-booster group was 0.16 (95% CI: 0.06–0.41) (Supplementary Table 2).
In participants aged 70–79 years, death from COVID-19 occurred in 22 of 134,656 participants in the second-booster group and in 51 of 74,717 participants in the first-booster group (adjusted HR, 0.28; 95% CI: 0.17–0.46) (Supplementary Table 3).
In participants aged 80–100 years, death from COVID-19 occurred in 65 of 82,165 participants in the second-booster group and in 149 of 36,365 participants in the first-booster group (adjusted HR, 0.20; 95% CI: 0.15–0.27) (Supplementary Table 4).
Secondary outcome: hospitalization due to COVID-19
During the study, hospitalization due to COVID-19 occurred in 270 of the second-booster recipients and in 550 participants in the first-booster group. The adjusted HR for hospitalization due to COVID-19 in the second-booster group compared with the first-booster group was 0.36 (95% CI: 0.31–0.43). The model included the variables that met the criteria for the proportional hazards assumption based on Schoenfeld’s global test (Supplementary Table 5). The results of the Cox proportional hazards regression model with time-dependent covariates are listed in Supplementary Table 6.
In the Cox regression model, compared with the 60–69 years age group, the 70–79 years and 80–100 years age groups were associated with significantly higher hospitalization rates due to COVID-19 (HR 1.82, 95% CI: 1.48–2.25 and HR 4.04, 95% CI: 3.28–4.97, respectively). The following characteristics also had a significant positive association with death due to COVID-19: male sex (HR 1.53, 95% CI: 1.32–1.78), chronic heart failure (HR 2.17, 95% CI: 1.82–2.60), chronic renal failure (HR 2.27, 95% CI: 1.63–2.67), chronic obstructive pulmonary disease (HR 2.24, 95% CI: 1.84–2.67), diabetes (HR 1.43, 95% CI: 1.24–1.66), hypertension (HR 1.39, 95% CI: 1.15–1.67), ischemic heart disease (HR 1.21, 95% CI: 1.03–1.42) and history of stroke (HR 1.43, 95% CI: 1.20–1.71). The following characteristics were associated with lower hospitalization rates: Arab population sector (HR 0.60, 95% CI: 0.44–0.82) and lower socioeconomic status (HR 0.92, 95% CI: 0.88–0.95).
Discussion
This study shows that for the older adult population who had received a first booster dose at least 4 months earlier, mortality and hospitalization rates due to COVID-19 during the Omicron surge were significantly lower for those who had received an additional booster dose.
The first booster dose of the BNT162b2 vaccine was approved in Israel on 30 July 2021 due to a major rise in breakthrough infections caused by the B.1.617.2 (Delta) variant. The fast deployment of the booster dose significantly reduced the infection, hospitalization and mortality rates due to COVID-19 in Israel and other countries8,9,10. However, this observed immunity waned substantially after a few months, along with the rapid emergence of the Omicron variant11,12.
Although the Omicron variant appeared to produce less-severe illness than earlier variants13, the unprecedented surge in SARS-CoV-2 infections (Extended Data Fig. 3) prompted the Israeli authorities to approve the second booster vaccine dose to protect the most vulnerable population from possible severe or fatal COVID-19. Nevertheless, provision of the additional booster before regulatory approval in the United States and Europe was highly controversial3,4,5,6.
On 29 March 2022 the US Food and Drug Administration and the Centers for Disease Control and Prevention authorized a second booster dose for individuals 50 years of age and older at least 4 months after receiving a first booster dose14,15. However, on 7 April 2022 the European Centre for Disease Prevention and Control (ECDC) and the European Medical Agency (EMA) COVID-19 Task Force (ETF) concluded that it is too early to consider using the fourth dose of mRNA COVID-19 vaccines in the general population. Nevertheless, the ECDC and ETF agreed that a fourth dose (or second booster) could be given to adults 80 years of age and above after reviewing data on the higher risk of severe COVID-19 in this age group and the protection provided by a fourth dose16.
Evidence for the real-life effectiveness of the second booster has been emerging recently, primarily from Israel. In an open-label, non-randomized clinical study of a cohort of young, healthy healthcare workers, those who received a fourth dose of either the BNT162b2 or mRNA-1273 vaccines had only low protection against breakthrough infections. Nevertheless, vaccine efficacy was estimated to be higher for preventing symptomatic disease17. In a national retrospective cohort study from Israel, the fourth dose of BNT162b2 appeared to provide only short-term protection and a modest absolute benefit against confirmed infections. However, the second booster significantly increased protection against severe illness2. A major limitation of this study was the absence of data on coexisting conditions, given that this information was not recorded in the national database. Mortality results were also not reported. Another study from Israel, based on data from Clalit Health Services, demonstrated comparable findings and provided preliminary insight into the effect on COVID-19 mortality7. However, that study captured only relatively few mortality events (9 deaths in the second-booster group versus 34 in the first-booster group), with very wide confidence intervals. The present study design, which included the entire Clalit Health Services eligible population, captured more endpoint events (324 mortality and 820 hospitalization events), thus providing robust evidence on the most critical COVID-19 outcomes.
This study has several limitations. One limitation is its relatively short period (40 days). However, during this time the infection rate in Israel from the Omicron variant rose to be one of the highest in the world (Extended Data Fig. 3). The study period included most of the COVID-19 mortality events in the Omicron surge in Israel (Extended Data Fig. 4). Although the rate of infection and thus exposure to the disease had changed during the study period, we assume that, after adjustment for all covariates, these changes similarly affected the second-booster and first-booster populations.
Another important limitation is that the study was based on hospital reports of the primary diagnosis and cause of death. At this stage in the epidemic, most medical centers in Israel test every patient for SARS-CoV-2 upon admission. It is possible that participants included in this study were hospitalized or died from other causes but that the hospitalizations and deaths were reported as being due to COVID-19. Nevertheless, a study analyzing excess deaths during the COVID-19 pandemic showed that the Israeli rate of excess death is in accordance with its COVID-19 mortality reports18.
As in any retrospective cohort study, confounding sociodemographic characteristics may have biased the observed effectiveness. The main demographic groups in Israel, that is, the general Jewish population, the Ultra-Orthodox Jewish population and the Arab population, have different vaccine uptake patterns8,19. The regression analysis attempted to adjust for subpopulation to overcome such possible bias.
Finally, the findings were limited to the BNT162b2 vaccine. Although there is evidence that the mRNA-1273 vaccine is slightly more effective than the BNT162b2 vaccine in participants who had received two vaccine doses20, we cannot deduce whether this observation applies to a second booster dose.
In this study we did not analyze the impact of the second booster on breakthrough infections because it is prone to introduce various methodological caveats. In Israel, during the Omicron surge (Extended Data Fig. 5) the vast majority of COVID-19 tests were done by the patients themselves at home by rapid antigen testing. Not everyone who received a positive result went on to confirm the result at an official state-regulated rapid antigen test center. Therefore, we could not rely only on confirmed infection rates for vaccine effectiveness analysis. Moreover, we assumed that because the Omicron variant caused only mild symptoms in many cases, many infected people preferred not to get tested.
This study did not evaluate mortality risk reduction in the second-booster group compared with totally unvaccinated individuals. Unvaccinated individuals comprise a very small proportion of the population in Clalit Health Services, particularly in the 60–100 years age group (8% at the study start date). This small group of unvaccinated individuals may have various cultural, behavioral and clinical factors that are substantially different from the current study population, which includes the vast majority of citizens who chose to receive the first booster.
An important drawback of the study is the absence of safety data, given that it was out of the scope of this short-term study. Future studies will be needed to assess the longer-term safety of the second booster dose.
Although this study is observational in nature, we believe that its substantial findings and the observed potential for avoiding the most severe COVID-19 outcomes could assist decision-makers in assessing the benefit of providing the second booster to targeted populations. The study shows that in participants 60 years and older, at least 4 months after a BNT162b2 vaccine booster, mortality and hospitalizations due to COVID-19 were significantly lower after a second booster shot. Studies with long-term follow-up to determine the durability of the second-booster effectiveness against severe disease and safety are warranted.
Methods
Study population
This observational, retrospective cohort study was based on data obtained from the electronic medical records of Clalit Health Services, a large healthcare organization covering approximately 52% of the entire Israeli population and almost two-thirds of the country’s older population. The study included all Clalit Health Services members aged 60–100 years who were entitled to receive a second booster vaccine at the study start date.
The exclusion criteria included documented previous SARS-CoV-2 infection, and the receiving of a first booster dose less than 4 months before the study start date or a fourth COVID-19 vaccine dose before the study start date. To minimize calendar time bias, participants who became entitled to the second booster during the study follow-up period were also excluded from the study. Given that Clalit Health Services started administering the mRNA-1273 (ModernaTX) vaccine in August 2021, primarily to patients who already had recovered from COVID-19, mRNA-1273 recipients were also excluded. Participants who received an oral anti-COVID-19 therapy (nirmatrelvir–ritonavir or molnupiravir) during the study period were also excluded.
Study design
The study started on 3 January 2022, the initiation day of Israel’s second booster vaccination campaign for the population aged 60 years and above. The study follow-up period started on 10 January 2022, 7 days after the initiation of the campaign. The study period ended on 20 February 2022, the last date with confirmed COVID-19 mortality at the data extraction date (27 February 2022). During the study period the dominant SARS-CoV-2 variant in Israel was B.1.1.529 (Omicron) (Extended Data Fig. 5).
The study population was divided into two groups, those who had received a second booster dose (second-booster group) and those who had not (first-booster group). Participants were included in the second-booster group 7 days after receiving their second booster vaccine dose (effective date) to allow time for the antibodies to increase to an effective level7,8. Up until that date, participants were evaluated as part of the first-booster group. Participants infected with SARS-CoV-2 during the 7 day period after receiving the second booster dose were excluded from the analysis. A description of the transition from first-booster to second-booster status is given in Extended Data Fig. 2.
The study was approved by the Clalit Health Services Community Institutional Review Board Committee and the Clalit Health Services Data Utilization Committee. The study was exempt from the requirement for informed consent from the patients, owing to the retrospective design.
Study outcomes
The study’s primary outcome was death due to COVID-19. A subgroup analysis was performed by age group: 60–69 years, 70–79 years and 80–100 years. A secondary outcome was hospitalization due to COVID-19
Data sources and organization
We evaluated integrated patient-level data maintained by Clalit Health Services from two primary sources: the primary care operational and COVID-19 databases. The operational database includes sociodemographic data and comprehensive clinical information such as coexisting chronic illnesses, history of community care visits, medications, and results of laboratory tests. The COVID-19 database includes information on polymerase chain reaction (PCR) test and state-regulated rapid antigen test results, vaccinations, and COVID-19-related hospitalizations and mortality and is updated daily from the central COVID-19 repository of the Israeli Ministry of Health. These same databases were used in the primary studies that evaluated the effectiveness and safety of the BNT162b2 vaccine in real-world settings21,22.
For each participant in the study, the following sociodemographic data were extracted: age, sex, demographic group (general Jewish population, Ultra-Orthodox Jewish population or Arab population), and the score for socioeconomic status (ranging from 1 (lowest) to 10 (highest)).
The following clinical data were extracted: COVID-19 vaccination dates and vaccine type, PCR and state-regulated rapid antigen test dates and results, hospitalizations, and deaths due to COVID-19. Data regarding the following clinical risk factors for severe COVID-19 in the general population23 were also collected: diabetes mellitus, chronic obstructive pulmonary disease, asthma, chronic kidney failure, lung cancer, hypertension, ischemic heart disease, chronic heart failure, obesity and a history of stroke, transient ischemic attack and smoking. Data on patients who received one of the two oral anti-COVID-19 medications approved in Israel in January 2022 for high-risk populations, molnupiravir and nirmatrelvir–ritonavir, were also extracted.
Statistical analysis
Descriptive statistics were used to characterize the study participants. Kaplan–Meier analysis with log-rank testing was performed for univariate analysis. Given that the independent variable (second booster) varied over time, univariate and multivariate survival analyses were performed with time-dependent covariates according to the study design. Participants were censored in the case of death from any cause or at the end of follow-up. Participants from the first-booster group were censored 7 days after receiving a second booster vaccine as per the study design. We used a multivariate Cox proportional hazards regression model to estimate the association of all covariates and second-booster vaccination uptake.
The association between the second booster and outcomes was estimated using a multivariate Cox proportional hazards regression model with time-dependent covariates, adjusted for sociodemographic factors and coexisting illnesses. All covariates were tested for interactions with the variable of interest (second booster vaccination). The proportional hazards assumption was tested for each variable by comparing survival curves and by using Schoenfeld’s global test. Variables that met the testing criteria and were significantly associated with the outcome served as the inputs for multivariate regression analysis.
R v3.5.0 (R Foundation) was used for the univariate and multivariate survival analysis with time-dependent covariates. The following R packages were used: survival, foreign, ggplot2, ggfortify, ggpubr, survminer, gmodels and g summary. All R packages are freely available. SPSS v26 (IBM) was used for all other statistical analyses.
A two-sided P value less than 0.05 was considered to indicate statistical significance in all analyses.
Socioeconomic status measure
The socioeconomic status measure was based on the small statistical areas (SSAs) used in the 2008 Israeli census. The SSAs contain 3,000–4,000 people and are created to maintain homogeneity in terms of the sociodemographic composition of the population24. The Israeli Central Bureau of Statistics used demography, education, employment, housing conditions and income to define the SSAs, and these were grouped into 20 categories. These data were updated by the Points Location Intelligence Company (www.points.co.il/en) to improve the accuracy of the socioeconomic status measure, using up-to-date sociodemographic, commercial and housing data25. The entire Clalit Health Services population was grouped into 10 categories ranging from 1 (lowest) to 10 (highest).
Reporting summary
Further information on research design is available in the Nature Research Reporting Summary linked to this article.
Data availability
Due to the Clalit Health Services data privacy regulations and as per the institutional Helsinki and data utilization committee approvals for this study, the patient-level data used for this study cannot be shared.
References
Burki, T. K. Fourth dose of COVID-19 vaccines in Israel. Lancet Respir. Med. 10, e19 (2022).
Bar-On, Y. M. et al. Protection by a fourth dose of BNT162b2 against Omicron in Israel. N. Engl. J. Med. 386, 1712–1720 (2022).
EU drug regulator expresses doubt on need for fourth booster dose. Reuters (12 January 2022); https://www.reuters.com/business/healthcare-pharmaceuticals/eu-drug-regulator-says-more-data-needed-impact-omicron-vaccines-2022-01-11/
Hunter, D. J. et al. Addressing vaccine inequity: COVID-19 vaccines as a global public good. N. Engl. J. Med. 386, 1176–1179 (2022).
Chagla, Z. & Pai, M. COVID-19 boosters in rich nations will delay vaccines for all. Nat. Med. 27, 1659–1660 (2021).
Gruell, H. et al. mRNA booster immunization elicits potent neutralizing serum activity against the SARS-CoV-2 Omicron variant. Nat. Med. 28, 477–480 (2022).
Magen, O. et al. Fourth dose of BNT162b2 mRNA Covid-19 vaccine in a nationwide setting. N. Engl. J. Med.` 386, 1603–1614 (2022).
Arbel, R. et al. BNT162b2 vaccine booster and mortality due to COVID-19. N. Engl. J. Med. 385, 2413–2420 (2021).
Bar-On, Y. M. et al. Protection of BNT162b2 vaccine booster against COVID-19 in Israel. N. Engl. J. Med. 385, 1393–1400 (2021).
Andrews, N. et al. Effectiveness of COVID-19 booster vaccines against COVID-19-related symptoms, hospitalization and death in England. Nat. Med. 28, 831–837 (2022).
Ferdinands, J. M. et al. Waning 2-dose and 3-dose effectiveness of mRNA vaccines against COVID-19-associated emergency department and urgent care encounters and hospitalizations among adults during periods of Delta and Omicron variant predominance: VISION Network, 10 states, August 2021–January 2022. MMWR Morb. Mortal. Wkly Rep. 71, 255–263 (2022).
Rubin, E. J., Baden, L. R. & Morrissey, S. Audio interview: understanding the Omicron variant of SARS-CoV-2. N. Engl. J. Med. 386(8), e27 (2022).
Callaway, E. & Ledford, H. How bad is Omicron? What scientists know so far. Nature 600, 197–199 (2021).
US Food and Drug Administration. Coronavirus (COVID-19) update: FDA authorizes second booster dose of two COVID-19 vaccines for older and immunocompromised individuals; https://www.fda.gov/news-events/press-announcements/coronavirus-COVID-19-update-fda-authorizes-second-booster-dose-two-COVID-19-vaccines-older-and (2022).
Centers for Disease Control and Prevention. Interim clinical considerations for use of COVID-19 vaccines currently approved or authorized in the United States; https://www.cdc.gov/vaccines/COVID-19/clinical-considerations/interim-considerations-us.html (2022).
European Medicines Agency. ECDC and EMA issue advice on fourth doses of mRNA COVID-19 vaccines; https://www.ema.europa.eu/en/news/ecdc-ema-issue-advice-fourth-doses-mrna-covid-19-vaccines (2022).
Regev-Yochay, G. et al. Efficacy of a fourth dose of COVID-19 mRNA vaccine against Omicron. N. Engl. J. Med. 386, 1377–1380 (2022).
COVID-19 Excess Mortality Collaborators Estimating excess mortality due to the COVID-19 pandemic: a systematic analysis of COVID-19-related mortality, 2020–21. Lancet 399, 1513–1536 (2022).
Hammerman, A. et al. Effectiveness of the BNT162b2 vaccine after recovery from Covid-19. N. Engl. J. Med. 386, 1221–1229 (2022).
Dickerman, B. A. et al. Comparative effectiveness of BNT162b2 and mRNA-1273 vaccines in U.S. veterans. N. Engl. J. Med. 386, 105–115 (2022).
Dagan, N. et al. BNT162b2 mRNA COVID-19 vaccine in a nationwide mass vaccination setting. N. Engl. J. Med. 384, 1412–1423 (2021).
Barda, N. et al. Safety of the BNT162b2 mRNA COVID-19 vaccine in a nationwide setting. N. Engl. J. Med. 385, 1078–1090 (2021).
Booth, A. et al. Population risk factors for severe disease and mortality in COVID-19: a global systematic review and meta-analysis. PLoS One 16, e0247461 (2021).
Central Bureau of Statistics Israel. Characterization and Classification of Geographical Units by the Socio-Economic Level of the Population 2008 (CBS, 2013).
Loewenberg Weisband, Y. et al. Area-level socioeconomic disparity trends in nutritional status among 5–6-year-old children in Israel. Arch. Dis. Child. 105, 1049–1054 (2020).
Acknowledgements
No financial or in-kind support was provided for the conduct of the study.
Author information
Authors and Affiliations
Contributions
All authors contributed to the study design. T.B. extracted the data under the supervision of S.Y. and A.P. R.S. cleaned and analyzed the data with the guidance of M.F. R.A. drafted the initial manuscript, and A.H. made the primary revisions. A.P., S.Y. and D.N. revised and approved the clinical aspects of the manuscript. All authors revised the manuscript for critical content and clarity and approved it.
Corresponding author
Ethics declarations
Competing interests
The authors declare no competing interests.
Peer review
Peer review information
Nature Medicine thanks Thomas Harder and the other, anonymous, reviewer(s) for their contribution to the peer review of this work. Jennifer Sargent was the primary editor on this article and managed its editorial process and peer review in collaboration with the rest of the editorial team.
Additional information
Publisher’s note Springer Nature remains neutral with regard to jurisdictional claims in published maps and institutional affiliations.
Extended data
Extended Data Fig. 1
Worldwide Confirmed Cases during the Omicron Surge.
Extended Data Fig. 2
Transition from first-booster to second-booster status.
Extended Data Fig. 3
Comparison of SARS-cov2 Infections per million in selected countries.
Extended Data Fig. 4
Mortality Rates in Israel During the Omicron Surge.
Extended Data Fig. 5
SARS-cov2 Variants in Israel during the Study Period.
Supplementary information
Supplementary Information
Supplementary Tables 1–6
Rights and permissions
About this article
Cite this article
Arbel, R., Sergienko, R., Friger, M. et al. Effectiveness of a second BNT162b2 booster vaccine against hospitalization and death from COVID-19 in adults aged over 60 years. Nat Med 28, 1486–1490 (2022). https://doi.org/10.1038/s41591-022-01832-0
Received:
Accepted:
Published:
Version of record:
Issue date:
DOI: https://doi.org/10.1038/s41591-022-01832-0
This article is cited by
-
Contracting COVID-19 among different sociodemographic groups within the slums of Kolkata
GeoJournal (2025)
-
Clinical characteristics and booster vaccine effectiveness of the Omicron variant
BMC Infectious Diseases (2024)
-
COVID-19 vaccine updates for people under different conditions
Science China Life Sciences (2024)
-
Cost-Effectiveness of the Second COVID-19 Booster Vaccination in the USA
Applied Health Economics and Health Policy (2024)
-
Effectiveness of the second COVID-19 booster against Omicron: a large-scale cohort study in Chile
Nature Communications (2023)




