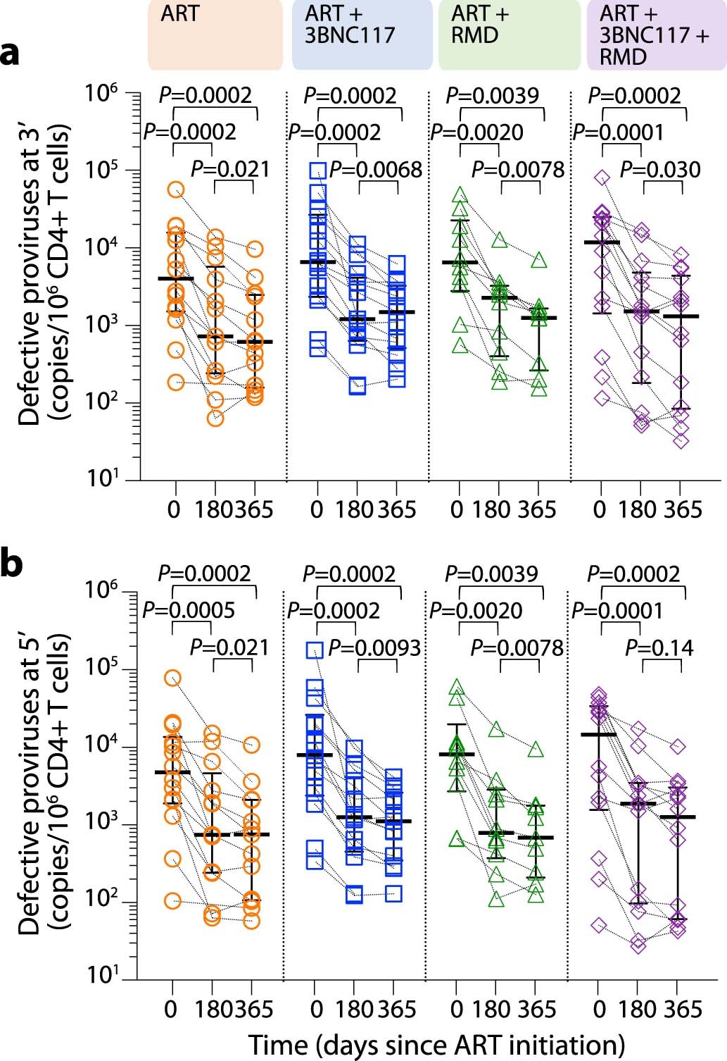
Extended Data Fig. 7: The frequency of defective HIV-1 proviruses.

The frequency of 3’ (a) and 5’ (b) defective HIV-1 proviruses at ART initiation and after 180 and 365 days of ART among individuals in the four groups (lines at median, error bars represent interquartile ranges). P values comparing within group were calculated using paired two-tailed Wilcoxon test. ART only n = 14, ART + 3BNC117 n = 14, ART + RMD n = 10, ART + 3BNC117 + RMD n = 14. ART, antiretroviral therapy; RMD, romidepsin.