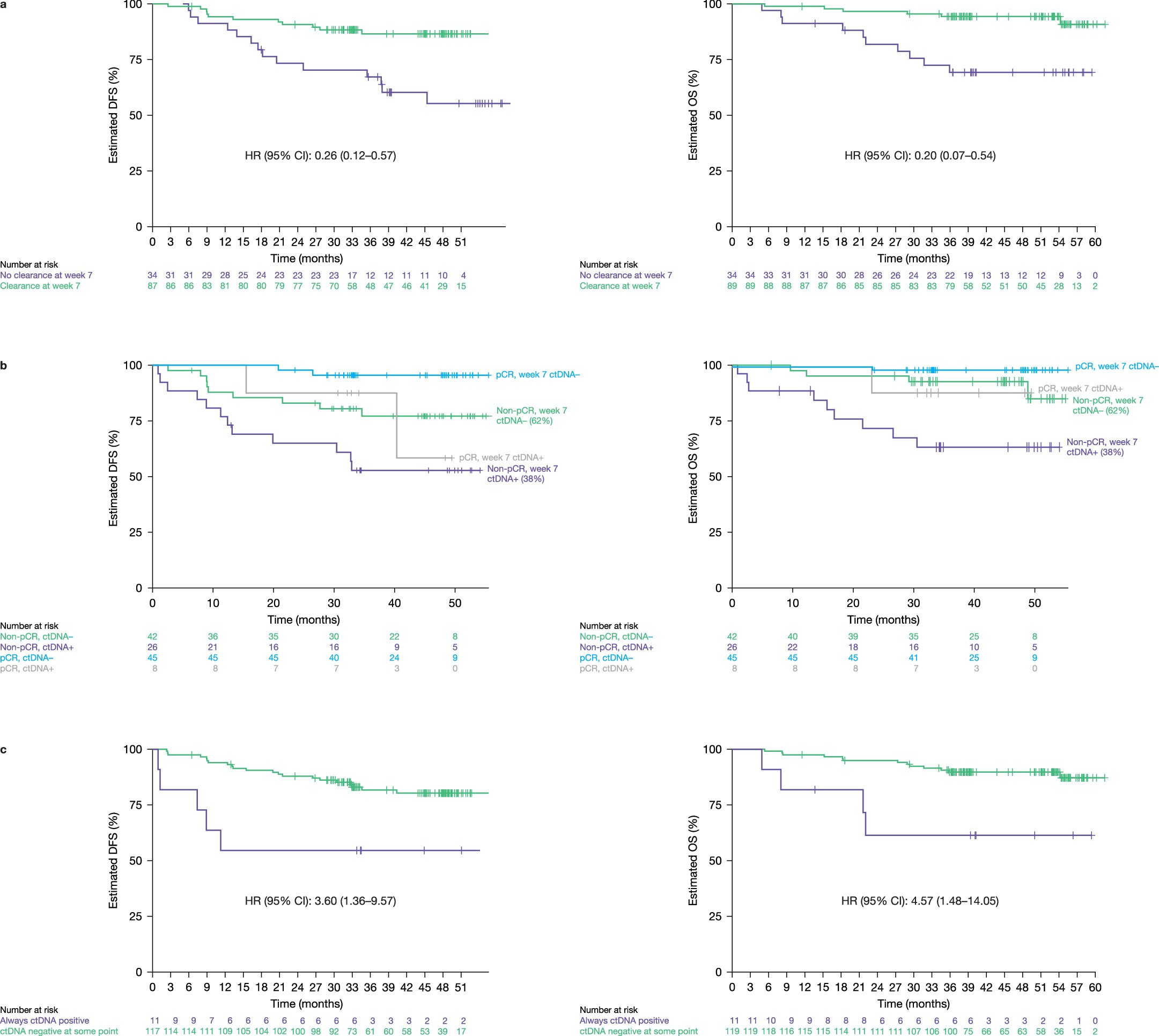
Extended Data Fig. 3: DFS and OS according to.

a, ctDNA cleared versus not cleared at week 7. b, ctDNA cleared versus not cleared at week 7 according to pCR status. c, ctDNA status (always positive (n = 11) versus negative for at least one timepoint (n = 119)).