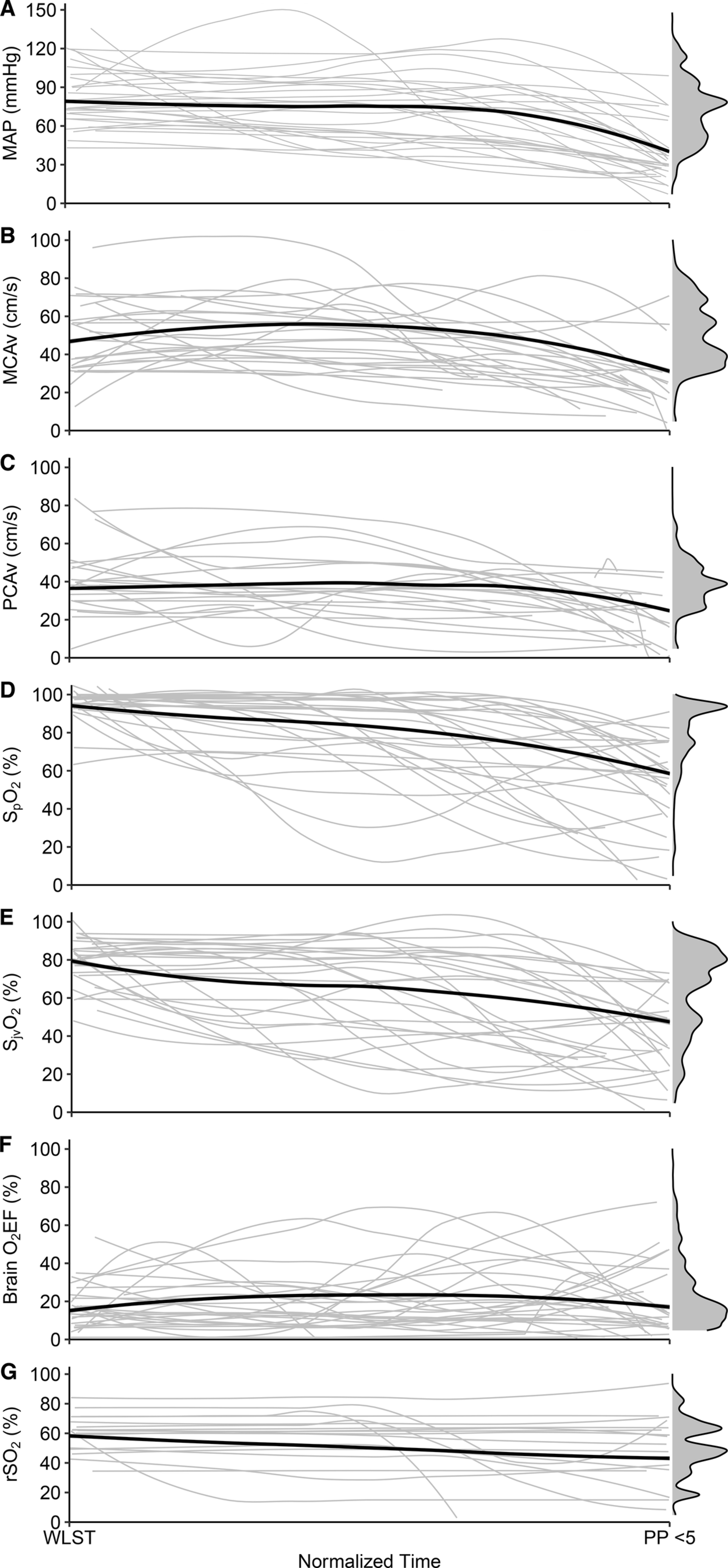
Extended Data Fig. 3: Normalized physiologic signals from WLST to death determination.
From: Characterizing the physiology of circulatory arrest in humans

Local polynomial regressions (a-g) were fit to individual patient data (grey lines). Individual patient data was weighted equally within-patient for the local polynomial regression indicative of the group response (black line). Grey distribution plots denote the spread of data for where most data within each variable was located for magnitude. Abbreviations: MAP, mean arterial pressure; MCAv, middle cerebral artery flow velocity; O2EF, oxygen extraction fraction; PCAv, posterior cerebral artery; rSO2, regional cerebral oxygen saturation; SjvO2, jugular venous oxygen saturation; SpO2, peripheral oxygen saturation.