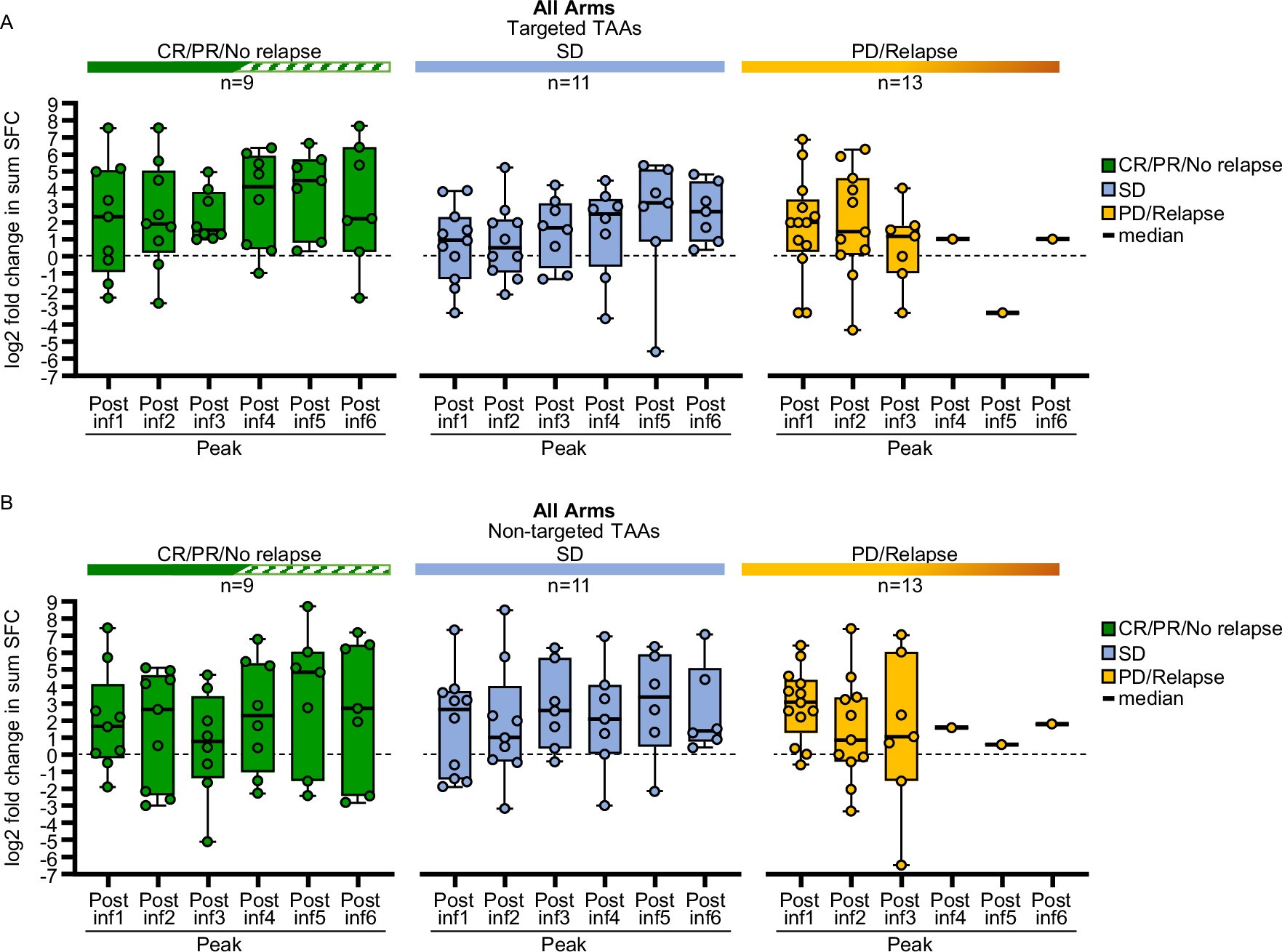
Extended Data Fig. 3: In vivo T cell activity.
From: Autologous multiantigen-targeted T cell therapy for pancreatic cancer: a phase 1/2 trial

In vivo expansion of tumor-reactive T cells. Expansion of T cells specific for targeted (top - A) and non-targeted (bottom - B) TAAs in patients from all 3 Arms grouped in responders (CR/PR/no relapse, n = 9) vs SD (n = 11) vs non-responders (PD/relapse, n = 13). Results are reported as log-transformed fold change in SFC at the specified time points in relation to baseline. Box plots show median and 25th and 75th data quartiles. Whiskers extend to minima and maxima, capturing the full range of the data.