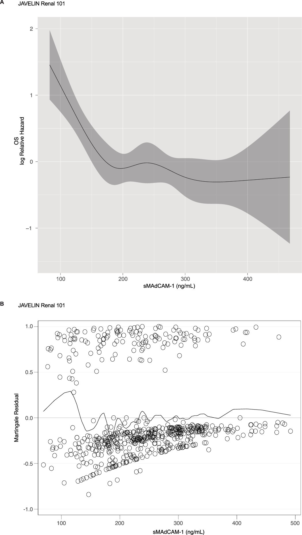
Extended Data Fig. 2: Prognostic analysis of sMAdCAM-1.
From: Soluble MAdCAM-1 as a biomarker in metastatic renal cell carcinoma

a, Restricted cubic spline plot showing the predicted risk score (log relative hazard, solid line) and 95% confidence interval (shaded area) for overall survival (OS) based on the continuous sMAdCAM-1 values (ng/mL). Lower sMAdCAM-1 values were associated with a higher risk of death, and the curve tended to be flattened after values >180 ng/mL. b, Martingale residual plot.