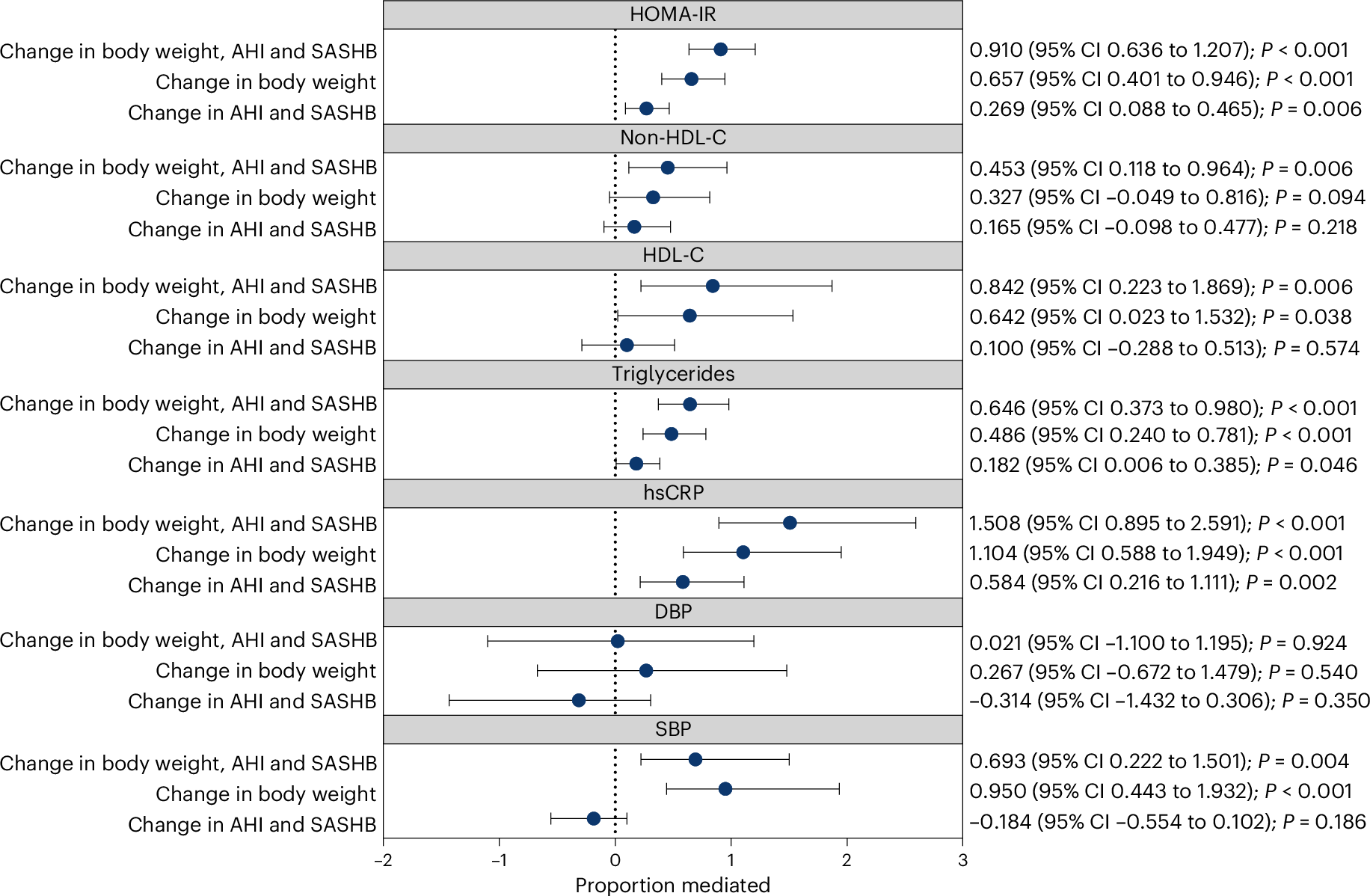
Fig. 2: Proportion of tirzepatide effect on cardiometabolic risk measures mediated by body weight, AHI and SASHB.

The data are presented as model-based estimate for the mean (95% CI). Statistical analyses were performed using the bootstrap method. All hypothesis testing was conducted using a two-sided framework, and the results are summarized with 95% CIs, which were derived from the corresponding 2.5th and 97.5th percentiles of the bootstrapped estimates (HOMA-IR n = 336; non-HDL-C n = 341; HDL-C n = 342; triglycerides n = 341; hsCRP n = 342; DBP n = 364; SBP n = 364). *P < 0.05, **P < 0.01, ***P < 0.001 representing significant proportion mediated.