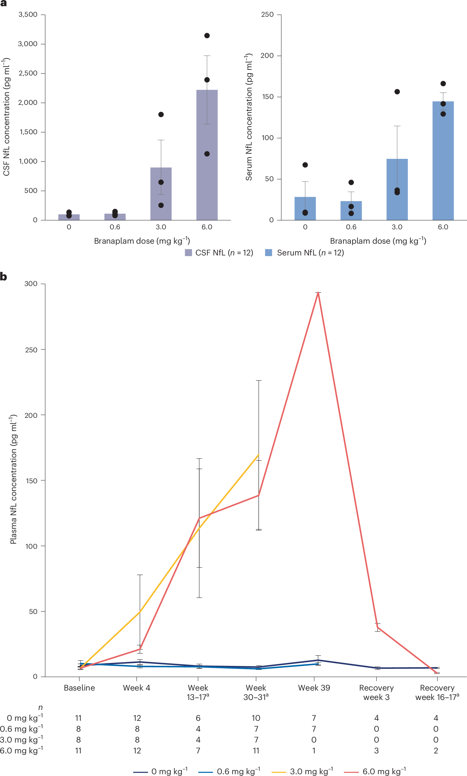
Fig. 2
From: Oral splicing modulator branaplam in Huntington’s disease: a phase 2 randomized controlled trial

NfL levels in NHPs dosed with branaplam twice a week in the 6- and 39-week studies. a, CSF and serum NfL levels at 6 weeks. Bar charts represent mean ± s.e. b, Plasma NfL levels over time up to 39 weeks. Error bars represent s.e. aMeasures were performed at weeks 13, 30 and recovery week 17 in females, and at weeks 17, 31 and recovery week 16 in males.