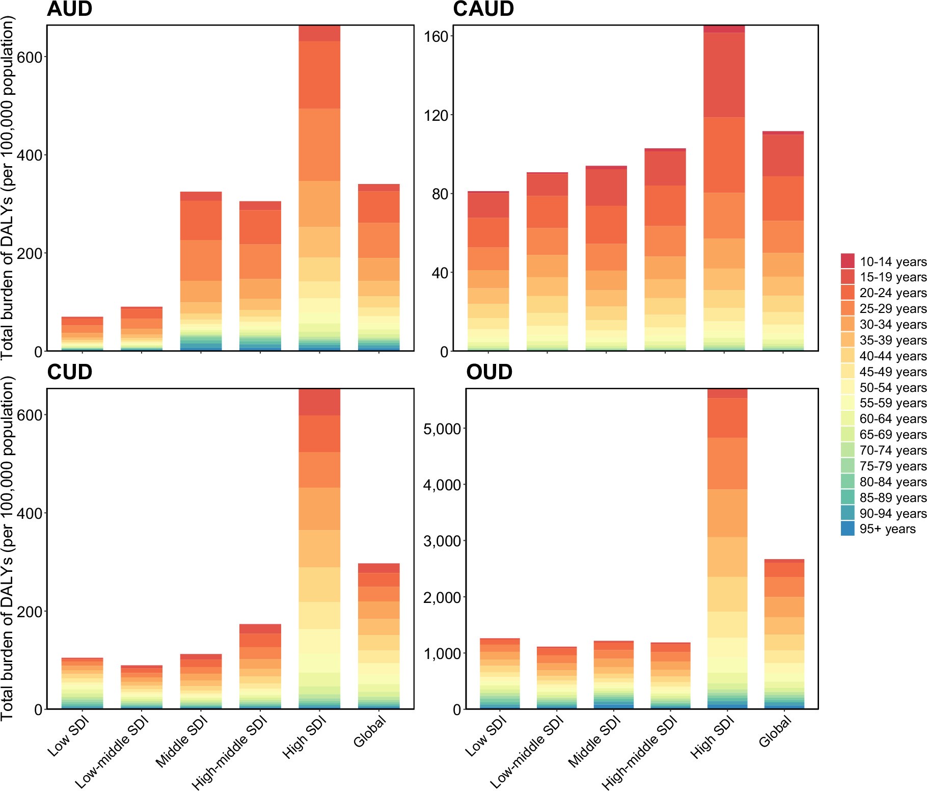
Extended Data Fig. 5: DALY per 100,000 population of drug use disorders for both sexes by SDI and age group, 2023.

Countries were categorized into five SDI groups according to the GBD SDI classification, low (32 countries), low-middle (41 countries), middle (40 countries), high-middle (47 countries), and high (44 countries). Abbreviations: AUD, amphetamine use disorders; CAUD, cannabis use disorders; CUD, cocaine use disorders; DALYs, disability-adjusted life year; OUD, opioid use disorders; SDI, socio demographic index.