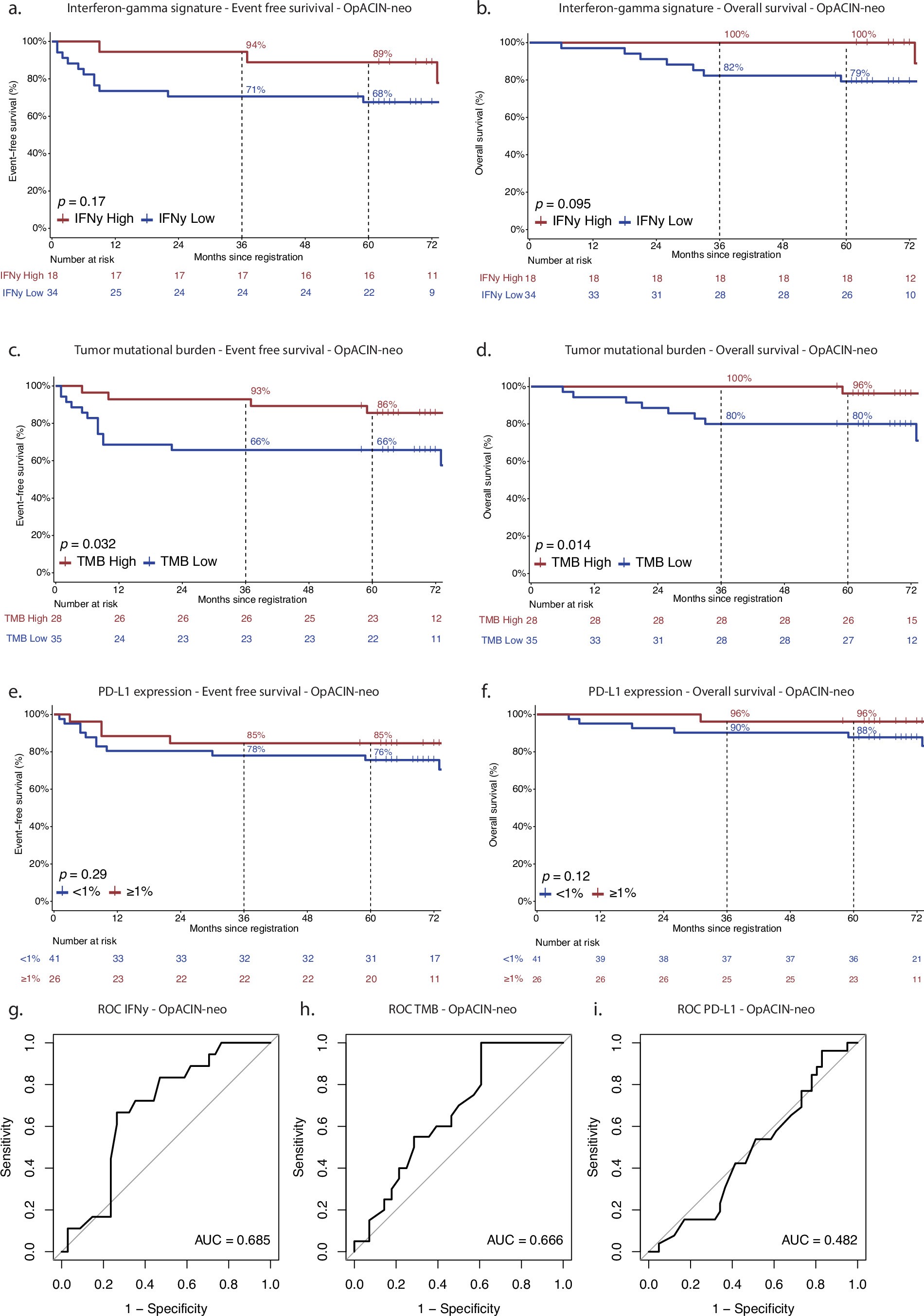
Extended Data Fig. 6: Outcome according to single baseline biomarkers for the conformation-cohort OpACIN-neo.

a-e, Kaplan Meier curves of event-free survival and overall survival curve including log-rank P value, according to baseline based IFNγ score high (n = 18) vs low (n = 34) (a,b), according to baseline TMB high (n = 28) vs low (n = 35) (c,d), and according to baseline PD-L1 expression, TPS score <1% (n = 41) vs TPS score ≥1% (n = 26) (e,f). g-i, ROC curves for IFNγ (AUC = 0.685) (g), TMB (AUC = 0.666) (h), and PD-L1 (AUC = 0.482) (i). ROC curve analyses used a binary outcome (event within five years), since follow-up among all event-free patients was ≥58 months for all but one patient.