Abstract
This study presents de novo transcriptome assemblies for Gammarus pulex, a freshwater amphipod widely used in ecotoxicology due to its ecological importance and sensitivity to pollution. Specimens were collected from 13 river sites in Germany and Sweden, encompassing a gradient of micropollutant exposure. Using high-throughput RNA sequencing, we generated transcriptomes for German, Swedish, and combined populations. The assemblies yielded up to 170,000 transcripts with strong metrics, including N50 values over 1,500 base pairs and completeness scores approaching 89%. Functional annotation revealed over 123,000 unique protein hits, nearly 99,000 BLASTx matches, and approximately 30,000 annotated KEGG pathways. We also identified thousands of conserved domains, signal peptides, and transmembrane proteins. These comprehensive resources provide valuable molecular insight into the stress responses of Gammarus pulex and will facilitate the development of gene-based biomarkers for freshwater monitoring. By improving the molecular toolkit for this key sentinel species, our study supports broader applications of ecotoxicogenomics in environmental assessment and conservation.
Similar content being viewed by others
Background & Summary
Ecotoxicogenomics is an emerging field that integrates genomics-based tools (such as genomics, transcriptomics, and proteomics) to investigate the molecular effects of environmental stressors, with applications ranging from model species to non-target and non-model organisms1. It provides valuable insights into the molecular mechanisms underlying responses to pollutants, offering potential biomarkers for monitoring the ecological status of aquatic environments. Invertebrates, particularly crustaceans, play a pivotal role in aquatic ecosystems due to their positions in food webs and their sensitivity to natural and chemical stressors2. Gammarids have long been used as model organisms in ecotoxicology due to their ecological importance, wide distribution, and sensitivity to pollutants. The common freshwater amphipod, Gammarus pulex, has gained considerable attention in ecotoxicology studies as a non-target and non-model organism due to its wide distribution3, ecological relevance4,5, and susceptibility to emerging chemicals2,6,7. Despite this, genomic resources as transcriptomes or genomes for Gammarus pulex (and gammarids in general), remain limited, hindering deeper insights into their molecular responses to environmental stress. Existing transcriptome assemblies8,9 are based on restricted sample sizes or specific tissues, and report lower completeness and annotation quality. In contrast, the present study provides a multi-population transcriptome resource for Gammarus pulex that addresses these limitations. Although a fragmented genome exists for Gammarus lacustris10 and a reference genome is available for Hyalella azteca11, no high-quality genome is currently available for Gammarus pulex, emphasizing the need for comprehensive molecular resources for this ecologically important taxon.
The development of transcriptomic resources for non-model species like Gammarus pulex is essential to enhance our ability for environmental monitoring. Transcriptome data, which provides a snapshot of gene expression, is particularly valuable for understanding organismal responses to environmental stressors and chemical pollution12. Unlike genomic data, transcriptomics focuses on the expressed portion of the genome, allowing the identification of genes that are actively involved in stress responses13. Moreover, generating high-quality transcriptome resources for species lacking published reference genomes not only facilitates the identification and interpretation of differentially expressed genes (DEGs) but also enables the use of streamlined workflows that do not rely on replicating a computationally demanding de novo assembly. Transcriptome assembly and annotation provide a foundation for gene expression analysis, enabling the identification of DEGs linked to environmental stress. These DEGs can act as molecular biomarkers of exposure and effects, even revealing the underlying molecular mechanisms of ecotoxicity. Furthermore, transcriptomic databases provide complementary information that is especially useful for genome annotation and insights into gene functioning14. As more transcriptome profiles are archived, they will allow for enhanced meta-analytical approaches, improving our ability to elucidate specific functional response pathways and providing crucial insights into baseline gene expression profiles and stress responses.
A key challenge in ecotoxicology is linking molecular biomarkers to higher-level ecological effects. The Adverse Outcome Pathway (AOP) framework provides a structured approach to bridging this gap by connecting molecular initiating events (MIEs) to adverse outcomes pathways (AOPs) through key events (KEs) and key event relationships (KERs)15. By integrating transcriptomic data within this framework, researchers can establish mechanistic links between molecular disruptions and organismal or population-level effects, offering a predictive and regulatory-relevant perspective on ecotoxicological impacts16. The integration of AOPs with transcriptomic data is particularly valuable in non-model organisms like Gammarus pulex, whose ecological significance and sensitivity make it an ideal species for investigating molecular responses to stressors. For instance, transcriptomic insights can help identify MIEs related to endocrine disruption, immune suppression, or metabolic dysfunction, which, through a cascade of key events, could lead to population declines or ecosystem instability. Furthermore, identifying stress-responsive genes involved in detoxification pathways or oxidative stress responses can support biomonitoring efforts by providing early-warning indicators of pollution exposure. Additionally, understanding the genetic basis of pollutant tolerance may help identify populations with higher adaptive potential, informing conservation and restoration strategies.
Gammarus pulex plays a crucial ecological role as a detritivore, contributing to the breakdown of organic matter in freshwater ecosystems4,5. Its sensitivity to pollutants, including metals17, pesticides18, pharmaceuticals19, and complex mixtures of micropollutants2,6,20, makes it an excellent sentinel species for assessing the health of aquatic ecosystems. Wastewater treatment plants (WWTPs) have been shown to negatively impact Gammarus pulex populations, causing decreased feeding rates20, increased mutation rates6, and oxidative stress21. These studies have primarily focused on behavioural and physiological endpoints (e.g., feeding rates, reproduction, and survival). However, such phenotypic observations offer limited insight into the underlying molecular mechanisms of stress responses. So far, molecular and physiological analyses in Gammarus pulex have been hampered by a lack of omics data8,22. Although widely used in environmental monitoring, Gammarus pulex still lacks comprehensive molecular resources such as high-quality transcriptomes, limiting mechanistic ecotoxicological studies compared to established model invertebrates like Drosophila melanogaster or Caenorhabditis elegans.
To address the current gap and enhance the application of transcriptomics in ecotoxicogenomics, this study focuses on generating three de novo transcriptome assemblies for Gammarus pulex using RNA sequencing (RNA-Seq). Gammarus pulex were collected in streams and rivers characterised by complex mixtures of micropollutants including pesticides, pharmaceuticals, and industrial chemicals and areas with low micropollution pressure in Sweden23,24 and Germany25,26,27. The objectives are threefold: (1) to assemble high-quality transcriptomes for each of the sampling areas, and a joint assembly using the entire dataset, (2) to annotate the assembled transcripts with functional information, and (3) to assess the completeness and quality of the transcriptome assemblies and annotation. These resources are expected to not only advance molecular research on Gammarus pulex but also provide actionable data for integrating transcriptomic insights into biomonitoring programs and AOP-based regulatory frameworks. By providing comprehensive transcriptome resources for Gammarus pulex, this work will support future ecotoxicogenomics research, enabling the identification of molecular markers for environmental monitoring and a better understanding of the species’ molecular response to environmental stressors.
Methods
Ethic statement
No specific permits were required to collect Gammarus pulex from the different sampling sites. They are not on any list of endangered or protected species.
Study area and sample collection
Thirteen sampling sites, located in streams and small rivers across Southern Sweden and Central Germany, were selected for Gammarus pulex collection (Fig. 1). These sites represented distinct land-use patterns and micropollutant profiles, facilitating a comprehensive analysis of gene expression responses. In Southern Sweden, characterised by intensive agriculture and the Malmö-Lund metropolitan area, two sites (HOJ and BAM) within natural reserves served as low-anthropogenic-pressure references. Three sites (M42, SKI, and SAX) were situated in agricultural regions, while two (SNT and LOM), located upstream and downstream of Lund’s wastewater treatment plant (WWTP), reflected urban influences. Similarly, in the River Holtemme (Central Germany), one site (H1), upstream of Silstedt’s WWTP, represented low anthropogenic pressure, two (H3 and H6) were in agricultural areas, and three (H2, H4, and H5), including two downstream of WWTPs, captured urban impacts. Previous micropollutant characterization and risk assessment studies in both regions have highlighted potential risks to aquatic invertebrates28,29.
Maps showing the location of the sampling sites. (A) Sweden and (B) Germany (B). Land uses are also summarised in the legend.
Gammarus pulex specimens were sampled following a standardised sampling protocol30 in the summer of 2021 (Germany) and 2022 (Sweden). Twenty habitat-weighted samples were taken from a total area of 1 m2 at each site with a Surber sampler (500 μm mesh size). After collection, specimens were flash-frozen on dry ice or a cryoshipper (Voyageur-12, Air Liquide) and stored at −80 °C until RNA isolation, eliminating the need for RNAlater. In total, RNA was extracted from 65 specimens (5x specimen per sampling site), from 5 rivers/small streams in Skåne region in Sweden and the River Holtemme (Saxony-Anhalt) in Germany. Stream and/or river names and respective geocoordinates are listed in Supplementary Table 1.
RNA extraction, library preparation and sequencing
Samples were crushed in liquid nitrogen using a mortar and pestle, and total RNA was extracted individually from each specimen using the RNeasy Plus Mini Kit (Qiagen, Germany) according to the manufacturers’ instructions. In addition, genomic DNA was removed using DNAse I (ThermoFisher Scientific, Germany). RNA was eluted in 60 µL RNAse-free water, which was passed twice through the spin column to maximise the concentration of eluted RNA. The quantity and quality of extracted RNA were assessed using the Qubit RNA Assay Kit in a Qubit 2.0 Flurometer (ThermoFisher Scientific) and NanoDrop 2000c (ThermoFisher Scientific), respectively. RNA Integrity Number (RIN) was measured using a 2200 TapeStation (Agilent Technologies, Germany) and only samples with RIN > 7 were sequenced.
Library preparation and sequencing were performed by Novogene (Cambridge, United Kingdom). Briefly, messenger RNA (mRNA) was purified from 3 µg total RNA using poly-T oligo-attached magnetic beads (Invitrogen, USA). The RNA strands were subsequently fragmented with divalent cations in NEB First Strand Synthesis reaction buffer (NEB, USA), followed by first- and second-strand cDNA synthesis. The library was ready after end repair, A-tailing, adapter ligation, size selection, amplification, and purification. The library was checked with Qubit 2.0, real-time PCR for quantification, and 2100 BioAnalyzer (Agilent) for size distribution detection. Quantified libraries were pooled and sequenced on Illumina NovaSeq. 6000, generating 150 bp paired-end reads.
De novo transcriptome assembly, refinement, and quality assessment
The bioinformatic workflow for transcriptome assembly and annotation is illustrated in Fig. 2. A total of 30 paired-end libraries were processed for the German transcriptome (DE), 35 for the Swedish transcriptome (SWE), and 65 for the combined DE-SWE transcriptome. Initial quality control of the raw reads was performed using FastQC31 to evaluate sequence quality. Following this, low-quality reads and adapter sequences were removed with Trimmomatic32, using a quality threshold of phred + 33 and ensuring a minimum base quality score of 25. Reads shorter than 50 bp were also filtered out to improve downstream analysis accuracy.
Workflow chart of the bioinformatic pipeline. Starting from the read cleaning of the raw data to the annotation of the de novo transcriptomes.
The Trinity v2.9.133 assembler was employed to generate each dataset’s de novo transcriptome assemblies. Trimmed reads were subsequently mapped back to the assembled transcriptome using Salmon34, which was used to estimate transcript abundance. We first used the script TrinityStats.pl contained in TRINITY for assembly quality assessment, followed by BUSCO v5.7.235, which evaluated assembly completeness by comparing the results against the Arthropoda Odb10 datasets (updated January 2024). An expression matrix was generated, and low-expressed transcripts (TPM < 1.0) were removed using Trinity’s native functions. The expression levels were then normalized to transcripts per million (TPM) to standardize transcript quantification across samples.
Transcriptome annotation
Annotation was performed to identify protein-coding regions using TransDecoder v5.7.033 to predict open reading frames (ORFs). Functional annotation of the transcriptomes involved aligning the filtered transcripts to protein databases using DIAMOND v2.0.836 for sequence alignment and identifying signal peptides and transmembrane domains with SignalP 6.037 and TMHMM v2.038, respectively. Additionally, HMMER v3.3.239 was used to search for conserved protein domains, and Infernal 1.1.540 identified non-coding RNA features. Additional gene annotation was performed using eggNOG-mapper v2.1.141 with the eggNOG 5.042 database. The results from these tools were integrated into a local SQLite database using the Trinotate v4.0.243 pipeline, which produced a comprehensive functional annotation of the transcriptomes. Finally, gene lists from the BLASTp and BLASTx outputs were used to perform an overrepresentation analysis of functional pathways using the Gene Ontology (GO) and KEGG databases, facilitated by the g:Profiler web application44.
Statistics
Trinotate outputs were statistically summarised using TrinotateR package (https://github.com/cstubben/trinotateR) implemented in R version 4.3.0.
Data Records
The raw RNA-seq reads from Gammarus pulex individuals collected at 13 sampling sites in Germany and Sweden are publicly available in the NCBI Sequence Read Archive (SRA) under accession number SRP571512, accessible via the persistent identifier: http://identifiers.org/dbest:SRP57151245. Transcriptome assemblies were deposited in the NCBI Transcriptome Shotgun Assembly (TSA) Sequence Database under accession numbers GLGZ0000000046 (version GLGZ01000000), GLHA0000000047 (version GLHA01000000), and GLHB0000000048 (version GLHB01000000), corresponding to the German (DE), Swedish (SWE), and combined (DE_SWE) transcriptomes, respectively.
All additional data resources—including de novo transcriptome assemblies (FASTA), predicted amino acid sequences (PEP), normalized expression matrices (TABULAR), functional annotations (TSV and structured text), transcriptome completeness metrics from BUSCO (TXT, GFF3, and TABULAR), and high-resolution figures (TIFF)—are organized by assembly (DE, SWE, DE_SWE). Each assembly has subdirectories containing folders for annotation, assembly, BUSCO validation, and expression data in our Figshare repository https://doi.org/10.6084/m9.figshare.28451624.v349. Supplementary Table 1, which lists each RNA-seq library with its internal sample name, collection date, geographic coordinates, and corresponding SRA run accession (SRR), BioSample accession (SAMN), and Experiment accession (SRX), provides essential metadata for reproducibility and reuse.
Technical Validation
Validation of transcriptome completeness and annotation quality. To assess the quality and functional breadth of the assembled transcriptomes, we incorporated Gene Ontology (GO) and KEGG pathway enrichment analyses as part of the annotation validation process. These analyses were not used to interpret biological outcomes or test specific hypotheses, but to verify that key cellular functions and core metabolic pathways were well represented, indicating successful transcriptome assembly and annotation. Differences in functional categories among DE, SWE, and DE-SWE assemblies further reflect annotation depth and transcript diversity, supporting their value as reusable data resources.
Quality of the raw reads and transcriptome validation
Each of the three assemblies (DE, SWE, DE-SWE) was filtered to ensure high data quality, with summary statistics provided in Table 1. Filtering reduced the total assembled bases substantially in each assembly: DE decreased by 75.8%, SWE by 69.7%, and DE-SWE by 69.1%, indicating the effectiveness of the quality measures. Consequently, the total number of Trinity genes and transcripts also decreased, with DE genes reduced by 64.8%, SWE by 55.5%, and DE-SWE by 57.3%, producing a curated set of contigs. The DE-SWE combined assembly retained the largest number of genes and transcripts post-filtering, indicative of higher sequence diversity in the combined dataset.
GC content remained relatively consistent, with minor increases: DE increased from 42.1% to 42.5%, SWE from 43.1% to 43.3%, and DE-SWE from 42.2% to 42.7%, suggesting that quality control did not significantly alter the base composition. Contig N10 and N50 values were also reduced, reflecting the retention of shorter, high-confidence contigs. Average contig lengths also decreased across each transcriptome after filtering, with DE showing a reduction of 24.7%, SWE by 24.4%, and DE-SWE by 22.6%, aligning with the expected outcome of removing low-confidence, longer contigs. Following this quality filtering, a BUSCO completeness assessment of each transcriptome confirmed high completeness levels across all filtered assemblies (Fig. 3), underlining the robustness of these datasets for downstream analyses.
BUSCO completeness assessment of the three transcriptomes using the Arthropoda Odb10 dataset. Colours represent different BUSCO categories, with percentages indicating the proportion of each category within the total BUSCO groups analysed.
Quality of the transcriptome annotation
Annotation was achieved for all three transcriptome assemblies (DE, SWE, and DE-SWE), with results summarized in Table 2. Each transcriptome was annotated using various databases, capturing various functional and structural features. The DE assembly produced 545,059 unique transcripts, SWE yielded 758,632, and the combined DE-SWE assembly comprises 1,123,011 unique transcripts. BLASTx hits revealed 48,506 unique annotations for DE (8.9% of transcripts), 57,928 for SWE (7.6%), and 98,785 for DE-SWE (8.8%), with GO annotation following similar trends, suggesting that combined data increases annotation depth. Protein hits also scaled with assembly size, with DE yielding 59,958 unique protein hits, SWE 75,331, and DE-SWE 123,828. Transmembrane regions and signal peptides were more prevalent in larger assemblies, with DE-SWE displaying the most diversity (6,815 transmembrane regions and 16,472 signal peptides). Functional pathway annotation via KEGG was highest in DE-SWE (29,894 unique hits), reflecting enriched metabolic diversity, with similar increases seen in BLASTp and Pfam annotations across assemblies. EggNOG and non-coding RNA annotations followed the same pattern, with DE-SWE capturing the broadest range. Overall, the combined DE-SWE assembly displayed the highest functional and structural diversity.
The annotation of the three de novo transcriptomes revealed a core set of 12,458 shared annotated genes, while each assembly retained unique subsets: 1,721 genes were exclusive to the Germany (DE) transcriptome, 3,230 to the Sweden (SWE) transcriptome, and 6,291 to the combined DE-SWE transcriptome. A Venn diagram (Fig. 4) illustrates these overlaps, highlighting both conserved and unique annotations. The DE-SWE assembly demonstrated the highest completeness, sharing 8,675 genes with DE and 8,385 with SWE, likely due to increased sequencing depth, improved transcript reconstruction, and broader representation of population-specific expression. Its higher number of unique genes reflects enhanced detection of lowly expressed or rare transcripts, better isoform resolution, and reduced assembly fragmentation. These outcomes further confirm the suitability of the dataset as a reference transcriptome for functional studies.
Overlap of annotated genes across assemblies as a measure of coverage and diversity. A Venn diagram illustrates the core set of shared annotated genes and unique subsets in each assembly, supporting the increased depth provided by the combined DE-SWE transcriptome.
Taxonomic validation of annotation
The analysis of taxonomic assignments in the three transcriptome assemblies revealed a consistent pattern across all samples when compared against the SwissProt database (Fig. 5). Over 90% of the hits for each assembly were attributed to Eukaryota, with the DE assembly showing 37,354 hits (93.6%), SWE 41,352 hits (91.6%), and the DE-SWE combined assembly exhibiting 77,701 hits (93.3%). Bacterial hits accounted for 5 to 7% of the total, with DE having 2,286 hits (5.7%), SWE 3,419 hits (7.6%), and DE-SWE 5,006 hits (6.0%). In contrast, Archaea and Viruses represented only marginal percentages, comprising less than 1% of the hits across all assemblies. When assessing the genus level, a similar pattern was found for all three assemblies, with top hits belonging to the genus Homo, Bos, Mus, Drosophila and Arabidopsis (Fig. 6). These findings provide additional quality control evidence and confirm the expected taxonomic composition of the dataset.
Top-level taxonomic assignments from SwissProt BLASTp hits as a quality control check. Panels (A–C) show results for the German (DE), Swedish (SWE), and combined (DE-SWE) transcriptomes, respectively.
Most abundant genera in SwissProt annotations for transcriptome validation. Top genera and total genus-level diversity are shown for DE, SWE, and DE-SWE assemblies.
GO enrichment to assess annotation breadth
To evaluate the diversity of functional categories captured by the annotation, we performed Gene Ontology (GO) enrichment analyses. The GO enrichment analysis and classification of transcripts across the three assemblies (DE, SWE, and DE-SWE) reveals key differences and similarities in functional categories (Fig. 7). Molecular Function category was dominated by “catalytic activity” and “protein binding,” with DE showing 1,612 and 2,939 genes, SWE 1,610 and 3,073 genes, and DE-SWE 1,958 and 3,716 genes, respectively. Enriched functions such as “protein-macromolecule adaptor activity” and “single-stranded DNA binding” underline molecular interactions central to cellular processes. For the Cellular Component, “cytoplasm” had the highest enrichment, showing substantial gene counts in each assembly (i.e., 2,619 in DE, 2,709 in SWE, and 3,259 in DE-SWE). “Spliceosomal complex” was also prominent, involving 88 genes in both DE and SWE, and 95 in DE-SWE. Other enriched components included “preribosome,” “core mediator complex,” and “mediator complex,” indicating shared cellular structures across datasets. Finally, for Biological Function, “organonitrogen compound metabolic process” was the most enriched across all assemblies, with the DE assembly containing 1,444 genes, SWE 1,468 genes, and DE-SWE 1,768 genes. These categories confirm that key biological processes are well captured, serving as evidence of annotation completeness and diversity.
GO term enrichment profiles used to validate annotation completeness. Top ten pathways from each main GO category are shown for the German (DE), Swedish (SWE), and combined (DE-SWE) assemblies. Bars indicate gene counts and enrichment significance (–log10 FDR).
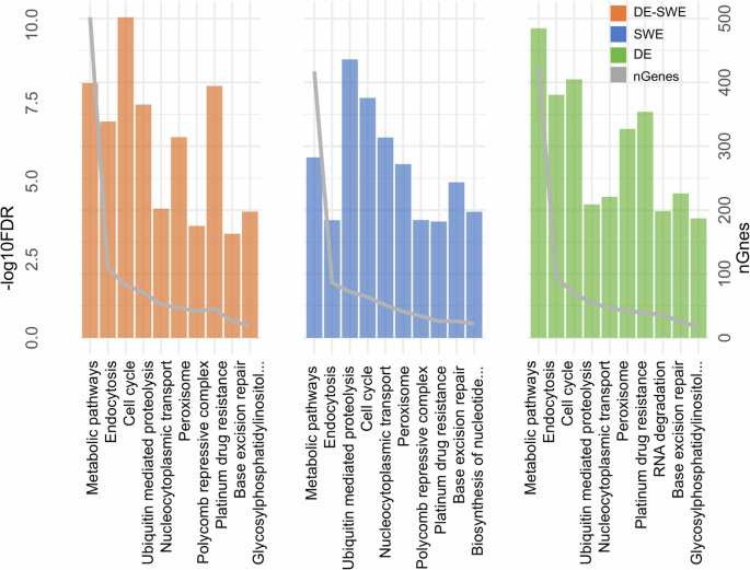
KEGG pathway analysis for functional coverage validation
The top ten KEGG pathways from the enrichment analysis (Fig. 8), reveal shared enrichment trends across the DE, SWE, and DE-SWE assemblies, with metabolic pathways and the cell cycle pathway highly enriched in all three. Metabolic pathways involved 425 genes in DE, 417 in SWE, and 502 in DE-SWE, while the cell cycle pathway included 69 genes in DE, 72 in SWE, and 83 in DE-SWE. Distinct enrichments appeared in each assembly: endocytosis was prominent in DE-SWE (108 genes) compared to DE (95) and SWE (86), and pathways like platinum drug resistance (45 genes) and the polycomb repressive complex (42 genes) were more enriched in DE-SWE. Ubiquitin-mediated proteolysis showed variability, with 71 genes in DE-SWE, 55 in DE, and 64 in SWE. These results reflect the functional diversity of the assemblies and serve to validate the completeness and utility of the transcriptomes for future functional genomics applications.
Top KEGG pathways used for assessing functional diversity in the annotation. Enriched pathways are shown with gene counts and enrichment significance (–log10 FDR) for the German (DE), Swedish (SWE), and combined (DE-SWE) assemblies.
Code availability
No specialized code was used in this research. The software programs employed for de novo transcriptome assembly, pre- and post-assembly steps, and transcriptome annotation are listed with their respective versions in the Methods section. Where specific parameters are not provided, the programs were run using their default settings.
References
Snape, J. R., Maund, S. J., Pickford, D. B. & Hutchinson, T. H. Ecotoxicogenomics: the challenge of integrating genomics into aquatic and terrestrial ecotoxicology. Aquatic Toxicology 67, 143–154 (2004).
Inostroza, P. A., Vera-Escalona, I., Wild, R., Norf, H. & Brauns, M. Tandem Action of Natural and Chemical Stressors in Stream Ecosystems: Insights from a Population Genetic Perspective. Environmental Science & Technology 54, 7962–7971 (2018).
Jażdżewski, K. Range extensions of some gammaridean species in european inland waters caused by human activity. Crustaceana. Supplement 84–107 https://doi.org/10.2307/25027516 (1980).
MacNeil, C., Dick, J. T. A. & Elwood, R. W. The trophic ecology of freshwater Gammarus spp. (Crustacea: Amphipoda): Problems and perspectives concerning the functional feeding group concept. Biological Reviews 72, 349–364 (1997).
Friberg, N. et al. The effect of brown trout (Salmo trutta L.) on stream invertebrate drift, with special reference to Gammarus pulex L. Hydrobiologia 294, 105–110 (1994).
Inostroza, P. A. et al. Anthropogenic stressors shape genetic structure: insights from a model freshwater population along a land use gradient. Environmental Science & Technology 50, 11346–11356 (2016).
De Lange, H. J., Noordoven, W., Murk, A. J., Lürling, M. & Peeters, E. T. H. M. Behavioural responses of Gammarus pulex (Crustacea, Amphipoda) to low concentrations of pharmaceuticals. Aquatic toxicology (Amsterdam, Netherlands) 78, 209–16 (2006).
Gismondi, E. & Thomé, J. P. Transcriptome of the freshwater amphipod Gammarus pulex hepatopancreas. Genomics Data 8, 91–92 (2016).
Cogne, Y. et al. De novo transcriptomes of 14 gammarid individuals for proteogenomic analysis of seven taxonomic groups. Sci Data 6, 184 (2019).
Jin, S. et al. Identification of Candidate Genes for the Plateau Adaptation of a Tibetan Amphipod, Gammarus lacustris, Through Integration of Genome and Transcriptome Sequencing. Front. Genet. 10, 53 (2019).
Poynton, H. C. et al. The Toxicogenome of Hyalella azteca: A Model for Sediment Ecotoxicology and Evolutionary Toxicology. Environ. Sci. Technol. 52, 6009–6022 (2018).
Brasseur, M. V., Leese, F., Schäfer, R. B., Schreiner, V. C. & Mayer, C. Transcriptomic sequencing data illuminate insecticide-induced physiological stress mechanisms in aquatic non-target invertebrates. Environmental Pollution 335, 122306 (2023).
Lowe, R., Shirley, N., Bleackley, M., Dolan, S. & Shafee, T. Transcriptomics technologies. PLoS Comput Biol 13, e1005457 (2017).
Hohenlohe, P. A., Funk, W. C. & Rajora, O. P. Population genomics for wildlife conservation and management. Molecular Ecology 30, 62–82 (2021).
Vinken, M. The adverse outcome pathway concept: A pragmatic tool in toxicology. Toxicology 312, 158–165 (2013).
Leist, M. et al. Adverse outcome pathways: opportunities, limitations and open questions. Arch Toxicol 91, 3477–3505 (2017).
Duman, F. & Kar, M. Evaluation of effects of exposure conditions on the biological responses of Gammarus pulex exposed to cadmium. International Journal of Environmental Science and Technology 12, 437–444 (2015).
Ashauer, R., Hintermeister, A., Potthoff, E. & Escher, B. I. Acute toxicity of organic chemicals to Gammarus pulex correlates with sensitivity of Daphnia magna across most modes of action. Aquatic toxicology (Amsterdam, Netherlands) 103, 38–45 (2011).
De, Lange, H. J., Peeters, E. T. H. M. & Lürling, M. Changes in ventilation and locomotion of Gammarus pulex (Crustacea, Amphipoda) in response to low concentrations of pharmaceuticals. Human and Ecological Risk Assessment: An International Journal 15, 111–120 (2009).
Könemann, S. et al. Combination of In Situ Feeding Rate Experiments and Chemical Body Burden Analysis to Assess the Influence of Micropollutants in Wastewater on Gammarus pulex. International Journal of Environmental Research and Public Health 16 (2019).
Yildirim, N. C., Tanyol, M., Serdar, O. & Yildirim, N. Gammarus pulex as a Model Organism to Assess the Residual Toxicity of Slaughterhouse Wastewater Treated by Electrocoagulation Process. Bull Environ Contam Toxicol 103, 447–452 (2019).
Gouveia, D. et al. Shotgun proteomics datasets acquired on Gammarus pulex animals sampled from the wild. Data in Brief 27, 104650 (2019).
Bendz, D., Paxéus, N. A., Ginn, T. R. & Loge, F. J. Occurrence and fate of pharmaceutically active compounds in the environment, a case study: Höje River in Sweden. Journal of Hazardous Materials 122, 195–204 (2005).
Bighiu, M. A., Höss, S., Traunspurger, W., Kahlert, M. & Goedkoop, W. Limited effects of pesticides on stream macroinvertebrates, biofilm nematodes, and algae in intensive agricultural landscapes in Sweden. Water Research 174, 115640 (2020).
Beckers, L.-M. et al. Unraveling longitudinal pollution patterns of organic micropollutants in a river by non-target screening and cluster analysis. Science of The Total Environment 727, 138388 (2020).
Inostroza, P. A., Massei, R., Wild, R., Krauss, M. & Brack, W. Chemical activity and distribution of emerging pollutants: Insights from a multi-compartment analysis of a freshwater system. Environmental Pollution 231, 339–347 (2017).
Muschket, M. et al. Sources and Fate of the Antiandrogenic Fluorescent Dye 4-Methyl-7-Diethylaminocoumarin in Small River Systems. Environmental Toxicology and Chemistry 40, 3078–3091 (2021).
Gustavsson, M., Kreuger, J., Bundschuh, M. & Backhaus, T. Pesticide mixtures in the Swedish streams: Environmental risks, contributions of individual compounds and consequences of single-substance oriented risk mitigation. Science of The Total Environment 598, 973–983 (2017).
Weichert, F. G. et al. AI-aided chronic mixture risk assessment along a small European river reveals multiple sites at risk and pharmaceuticals being the main risk drivers. Environment International 197, 109370 (2025).
Hering, D., Moog, O., Sandin, L. & Verdonschot, P. F. M. Overview and application of the AQEM assessment system. Hydrobiologia 516, 1–20 (2004).
Andrews, S. FastQC: A Quality Control Tool for High Throughput Sequence Data [Online]. Available online at: http://www.bioinformatics.babraham.ac.uk/projects/fastqc/ (2010).
Bolger, A. M., Lohse, M. & Usadel, B. Trimmomatic: a flexible trimmer for Illumina sequence data. Bioinformatics 30, 2114–2120 (2014).
Haas, B. J. et al. De novo transcript sequence reconstruction from RNA-seq using the Trinity platform for reference generation and analysis. Nat Protoc 8, 1494–1512 (2013).
Patro, R., Duggal, G., Love, M. I., Irizarry, R. A. & Kingsford, C. Salmon provides fast and bias-aware quantification of transcript expression. Nat Methods 14, 417–419 (2017).
Manni, M., Berkeley, M. R., Seppey, M., Simão, F. A. & Zdobnov, E. M. BUSCO Update: Novel and Streamlined Workflows along with Broader and Deeper Phylogenetic Coverage for Scoring of Eukaryotic, Prokaryotic, and Viral Genomes. Molecular Biology and Evolution 38, 4647–4654 (2021).
Buchfink, B., Xie, C. & Huson, D. H. Fast and sensitive protein alignment using DIAMOND. Nat Methods 12, 59–60 (2015).
Teufel, F. et al. SignalP 6.0 predicts all five types of signal peptides using protein language models. Nat Biotechnol 40, 1023–1025 (2022).
Krogh, A., Larsson, B., von Heijne, G. & Sonnhammer, E. L. L. Predicting transmembrane protein topology with a hidden markov model: application to complete genomes11Edited by F. Cohen. Journal of Molecular Biology 305, 567–580 (2001).
Finn, R. D., Clements, J. & Eddy, S. R. HMMER web server: interactive sequence similarity searching. Nucleic Acids Research 39, W29–W37 (2011).
Nawrocki, E. P. & Eddy, S. R. Infernal 1.1: 100-fold faster RNA homology searches. Bioinformatics 29, 2933–2935 (2013).
Cantalapiedra, C. P., Hernández-Plaza, A., Letunic, I., Bork, P. & Huerta-Cepas, J. eggNOG-mapper v2: Functional Annotation, Orthology Assignments, and Domain Prediction at the Metagenomic Scale. Molecular Biology and Evolution 38, 5825–5829 (2021).
Huerta-Cepas, J. et al. eggNOG 5.0: a hierarchical, functionally and phylogenetically annotated orthology resource based on 5090 organisms and 2502 viruses. Nucleic Acids Research 47, D309–D314 (2019).
Grabherr, M. G. et al. Full-length transcriptome assembly from RNA-Seq data without a reference genome. Nat Biotechnol 29, 644–652 (2011).
Kolberg, L. et al. g:Profiler—interoperable web service for functional enrichment analysis and gene identifier mapping (2023 update). Nucleic Acids Research 51, W207–W212 (2023).
Escobar-Sierra, C. de novo transcriptome assembly and annotation of Gammarus pulex: a valuable resource for ecotoxicogenomics. NCBI Sequence Read Archive https://identifiers.org/ncbi/insdc.sra:SRP571512 (2025).
Escobar-Sierra, C. Gammarus pulex, transcriptome shotgun assembly (German population). Transcriptome Shotgun Assembly Sequence Database NCBI https://identifiers.org/ncbi/insdc:GLGZ00000000.1 (2025).
Escobar-Sierra, C. Gammarus pulex, transcriptome shotgun assembly (Swedish population). Transcriptome Shotgun Assembly Sequence Database NCBI https://identifiers.org/ncbi/insdc:GLHA00000000.1 (2025).
Escobar-Sierra, C. Gammarus pulex, transcriptome shotgun assembly (German-Swedish population). Transcriptome Shotgun Assembly Sequence Database NCBI https://identifiers.org/ncbi/insdc:GLHB000000000.1 (2025).
Escobar-Sierra, C. et al. de novo transcriptome assembly and annotation of Gammarus pulex: a valuable resource for ecotoxicogenomics. figshare https://doi.org/10.6084/m9.figshare.28451624.v3 (2025).
Acknowledgements
Funding by the Swedish Research Council FORMAS is gratefully acknowledged (project MixTOX, grant No. 2020-00976). Additional funding was provided by the FRAM Centre for Future Risk Assessment and Management Strategies at the University of Gothenburg (www.fram.gu.se). The sampling was partially funded from the RobustNature Cluster of Excellence Initiative provided by the Goethe University Frankfurt, Germany. The computations were enabled by resources provided by the National Academic Infrastructure for Supercomputing in Sweden (NAISS), partially funded by the Swedish Research Council through grant agreement no. 2022-06725. We thank the Regional Computing Centre of the University of Cologne (RRZK) for providing support and computing time on the High-performance computing (HPC) system CHEOPS.
Funding
Open Access funding enabled and organized by Projekt DEAL.
Author information
Authors and Affiliations
Contributions
Camilo Escobar-Sierra: Methodology, Software, Validation, Formal analysis, Data Curation, Writing - Original Draft, Writing - Review & Editing, Visualization. Sameer Hassan: Methodology, Software, Writing - Review & Editing. Fabian G. Weichert: Investigation, Writing - Review & Editing. Henrik Aronsson: Resources, Writing - Review & Editing. Kathrin P. Lampert: Resources, Writing - Review & Editing. Henner Hollert: Resources, Writing - Review & Editing. Thomas Backhaus: Resources, Writing - Review & Editing. Pedro A. Inostroza: Conceptualization, Methodology, Formal analysis, Resources, Writing - Original Draft, Writing - Review & Editing, Visualization, Supervision, Project administration, Funding acquisition.
Corresponding author
Ethics declarations
Competing interests
The authors declare no competing interests.
Additional information
Publisher’s note Springer Nature remains neutral with regard to jurisdictional claims in published maps and institutional affiliations.
Supplementary information
Rights and permissions
Open Access This article is licensed under a Creative Commons Attribution 4.0 International License, which permits use, sharing, adaptation, distribution and reproduction in any medium or format, as long as you give appropriate credit to the original author(s) and the source, provide a link to the Creative Commons licence, and indicate if changes were made. The images or other third party material in this article are included in the article’s Creative Commons licence, unless indicated otherwise in a credit line to the material. If material is not included in the article’s Creative Commons licence and your intended use is not permitted by statutory regulation or exceeds the permitted use, you will need to obtain permission directly from the copyright holder. To view a copy of this licence, visit http://creativecommons.org/licenses/by/4.0/.
About this article
Cite this article
Escobar-Sierra, C., Hassan, S., Weichert, F.G. et al. De novo transcriptome assembly and annotation of the common freshwater amphipod (Gammarus pulex) a valuable resource for ecotoxicogenomics. Sci Data 12, 1502 (2025). https://doi.org/10.1038/s41597-025-05872-2
Received:
Accepted:
Published:
Version of record:
DOI: https://doi.org/10.1038/s41597-025-05872-2










