Abstract
There has been no previous study on the efficacy of the thoracic radiotherapy (TRT) in oligometastatic or polymetastatic extensive stage small-cell lung cancer (ES-SCLC) to the overall survival (OS). In a group of 270 ES-SCLC cases retrospective study, 78 patients (28.9%) had oligometastases and 192 (71.1%) had polymetastases, among which 51 oligometastatic patients (65.4%) and 93 polymetastatic patients (51.6%) received TRT. Propensity score matching (PSM) was utilized. The 2-year OS, progression free survival (PFS) and local control (LC) in oligometastatic and polymetastatic patients were 22.8% and 4.5% (p < 0.001), 12.0% and 3.8% (p < 0.001), and 36.7% and 6.1% (p < 0.001), respectively. The 2-year OS in oligometastatic patients with the chemotherapy + radiotherapy and chemotherapy alone were 25.2% and 12.7% (p = 0.002), in contrast to 10.0% and 6.8% (p = 0.030) in polymetastatic patients. The estimated hazard ratios for survival were 2.9 and 1.7 for both oligometastatic and polymetastatic patients with radiotherapy. The polymetastatic group has a lower LC (6.1% v.s. 36.7%, (p < 0.001)), due to polymetastases patients receiving involved-sites radiotherapy with low dose schemas. TRT improved OS of patients with oligometastases and polymetastases. Our study demonstrated that aggressive TRT might be a suitable addition of chemotherapy when treating ES-SCLC patients with oligometastases and polymetastases.
Similar content being viewed by others
Introduction
Cancer has been the leading cause of death and major public health problems in China as the morbidity and mortality rate increases, according to the Chinese cancer statistics in 20151. Small cell lung cancer (SCLC) accounts for 12–15% of the total lung cancer cases2, 3. Approximately 60–70% of newly diagnosed SCLC cases are in extensive stage1, 3, and the prognosis of OS for ES-SCLC is poor. Some recent studies suggested that thoracic radiotherapy (TRT) play an important role in improving the survival in ES-SCLC4,5,6,7,8,9,10,11. However these studies only used chemotherapy response or extensive stage as the inclusion criteria.
Hellman et al.12 in 1995 first proposed the theory of oligometastases as a transitional state between localized and widespread systemic disease, while the number and site of metastatic tumors are limited. The clinical implication of this hypothesis is that localized forms of cancer treatment may be effective in patients with oligometastases. It has been affirmed in some literatures that oligometastases could be cured by local treatment such as colorectal cancer13,14,15, and studies have also confirmed that the local treatment could improve patients’ survival in NSCLC metastasis16,17,18. It has been reported that polymetastatic sites is an adverse prognostic factor for ES-SCLC19. To the best of our knowledge, there has no previous study about the role of TRT in ES-SCLC with oligometastases and polymetastases. In this study, we retrospectively analyzed the data from single-center to determine whether TRT could improve the prognosis of ES-SCLC patients with oligometastases or polymetastases.
Methods
Study patients and clinical data collection
This study was approved by the Regional Ethics Committee of Tianjin Medical University Cancer Institute & Hospital (NO. bc2017010). We confirm that all methods were carried out in accordance with relevant guidelines and regulations. This study is a retrospective analysis, and 270 patients from May 2010 to May 2015 with no previous ES-SCLC treatment were systemically reviewed. All the pathological types were demonstrated by morphological and immunohistochemical methods to conform with the neuroendocrine tumours of the lung diagnostic criteria20, and combined with clinical manifestations. Inclusion criteria include: (1) histopathological examination and immunohistochemistry were confirmed to be SCLC; (2) the state was stage IV (T any, N any and M1a/b); (3) patients did not receive prior treatment.
Staging criteria were according to American Joint Committee of Cancer (AJCC) 7th edition manual. The pre-treatment staging examination included: complete medical history and physical examination, full blood count, serum biochemistry, chest X-ray, the computed tomography (CT) scans of the neck, chest, abdomen and pelvis, emission computed tomography (ECT)/positron emission tomography CT (PET-CT) scans and brain magnetic resonance imaging (MRI).
The definition of oligometastases and polymetastases
The concept of oligometastases was first proposed in Hellman’s paper12, we further specified the ES-SCLC oligometastases as follows: (1) only one organ metastasis or metastatic lymph node metastases (able to be covered by a safe radiotherapy portal); (2) multiple brain metastases (treated with whole brain radiotherapy); or (3) continuous vertebral bone metastases treated in a single radiotherapy field. The ES-SCLC polymetastases were defined as the metastases excluding oligometastases.
Treatment
ES-SCLC patients underwent platinum-contained chemotherapy with or without radiotherapy. The chemotherapy regimen was EP or CE regimen [cisplatin (DDP, 40 mg d1-3) or carboplatin (CBP, 400 or 500 mg d1) + etoposide (VP-16, 100 mg d1-5)]. The median number of chemotherapy cycles in all patients were 6 cycles.
For total 270 patients reviewed, 169 (62.6%) patients were in the chemotherapy responsive group, and 101 (37.4%) were in the non-chemotherapy responsive group. A total of 144 patients (53.7%) received radiotherapy after chemotherapy. Among these, 15 (10.4%) patients underwent the conservative anterior-posterior field radiotherapy, while 129 (89.6%) patients received intensity-modulated radiotherapy (IMRT) or 3D conformal radiotherapy (3DCRT). The conservative radiotherapy fields covered primary lesions, hilar and bilateral mediastinal lymph nodes. The gross tumour volume (GTV) included the primary lesion and positive metastatic lymph nodes. The clinical target volume (CTV) mainly included 0.5–0.8 cm of the primary lesion and the draining area of positive lymph nodes. The planned target volume (PTV) was defined as the CTV plus a 0.5–1.0 cm margin and PGTV (for all polymetastatic patients) was expanded from GTV with a 0.5–1.0 cm margin. The median dose was 45 Gy with the dose range of 30–60 Gy, and the fractionated radiotherapy dose was 1.8–3 Gy.
Evaluation of the response to therapy
The response to the therapy was assessed following the response evaluation criteria in solid tumors21. The evaluation was performed every other cycle during the chemotherapy or 3 months after radiotherapy. The entire group of patients also received evaluation every 6–8 weeks post-treatment until disease progression.
Follow-up and statistical analysis
The endpoints of the study included OS, PFS and LC, which were measured from the date of diagnosis till the date of events or last date of follow-up. The comparison of survival curves between the different groups was examined using the log-rank method, while the comparison of categorical data was performed by chi-square method. Multivariate analysis was performed using a Cox proportional hazard model. Because of the nonrandomized nature of this study, the data were matched and analyzed using PSM performed by SPSS 18.0 (SPSS Inc, Chicago, IL) software and R version 2.8.0 statistical package, for the control of confounding variables. P < 0.05 was considered to indicate a statistical significant difference.
Results
Patient characteristics
The clinical features of 270 patients were shown in Table 1. The ratio of male to female patients was 3.5:1.0, and the median age was 59 years (ranging from 18–85 years). 251 patients (93.0%) presented with good Karnofsky Performance Status score (KPS ≥80). 78 patients (28.9%) had oligometastases while 192 (71.1%) had polymetastases. 51 oligometastatic patients (65.4%) and 93 polymetastatic patients (51.6%) received TRT.
Response to therapy and survival for all patients with oligometastases and polymetastases
The rates of complete response (CR), partial response (PR), stable disease (SD) and progression rate after the first course chemotherapy were 0 (n = 0), 62.6% (n = 169), 16.7% (n = 45) and 20.7% (n = 56), respectively. The rates after TRT are 0 (n = 0), 74.4% (n = 201), 5.6% (n = 15) and 20% (n = 54) respectively. The consolidative TRT significantly enhanced PR and reduced SD, with a comparable progression rate.
The 2-year OS, PFS and LC for all groups were 14.5%, 7.6% and 23.6% respectively for a median follow-up time of 36.4 months.
Evaluation of candidate prognostic factors
Each clinical characteristic was assessed for prognostic significance against OS using the Kaplan-Meier method and COX regression analysis to evaluate whether there was an important relationship with prognosis. Patients having female gender, smoking index <400, oligometastases, chemotherapy cycles ≥4, response to chemotherapy, TRT and prophylactic cranial irradiation(PCI), showed favorable expectation using the univariate analysis. Other clinical features, such as age, family history of malignant tumors, weight loss >5%, KPS, state of stages, brain metastases and metastatic organs did not suggest any significant relationship to OS using the univariate analysis. Patients having oligometastases, chemotherapy cycles ≥4, response to chemotherapy and TRT showed favorable expectation using the COX regression analysis.
Superior outcome with oligometastases
Patients with oligometastases were compared with those with polymetastases. The oligometastases and polymetastases groups were made comparable after PSM (see Table 2).
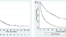
The difference in survival between the two groups was statistically significant. The 2-year OS, PFS and LC in patients with oligometastases and polymetastases were 22.8% and 4.5% (p < 0.001); 12.0% and 3.8% (p < 0.001); and 36.7% and 6.1% (p < 0.001), respectively.
Superior outcome with TRT in oligometastases and polymetastases
The authors compared oligometastatic and polymetastatic patients with chemotherapy + TRT to those with only chemotherapy. The bias due to the cofounding variables between group of chemotherapy with TRT and chemotherapy alone were reduced after PSM (see Tables 3 and 4).
The 2-year OS, PFS, and LC in oligometastatic patients treated with the chemotherapy + radiotherapy and the chemotherapy alone were 25.2% and 12.7% (p = 0.002); 19.3% and 4.8% (p = 0.006); and 57.6% and 9.6% (p < 0.001), respectively. The estimated hazard ratio for survival with chemotherapy + radiotherapy as compared with chemotherapy alone was 2.9 (95%CI, 1.4 to 6.0). Figure 1 shows the estimated survival distribution according to treatment group.
The 2-year OS, PFS, and LC in polymetastatic patients treated with the chemotherapy + radiotherapy and chemotherapy alone were 10.0% and 6.8% (p = 0.030); 5.0% and 1.4% (p < 0.001); and 32.3% and 1.6% (p < 0.001), respectively. The estimated hazard ratio for survival with chemotherapy + radiotherapy as compared with only chemotherapy was 1.7 (95%CI, 1.2 to 2.3). Figure 2 shows the estimated survival distribution according to treatment group.
Discussion
For ES-SCLC patients, chemotherapy remained the standard therapeutic modality, with a median survival of 7-12 months3. As of today, the first-line chemotherapy for ES-SCLC is the platinum-based combination regimen. The response rate with EP regimen was as high as 70–90%22. A large number of sensitive SCLC cells died after chemotherapy, and then the chemotherapy-resistance cells were promoted to proliferate increasingly. As a result, leading to relapse and metastasis, therefore patients have higher recurrence23. Platinum-based chemotherapy combined with TRT significantly improved OS and PFS in ES-SCLC patients4, 16, 20, 24, 25.
In the past when applying simple platinum-based chemotherapy as a standard treatment for ES-SCLC, thoracic radiotherapy was used only to palliate local symptoms and to improve quality of life26. Several clinical trials have demonstrated platinum-based chemotherapy combined with TRT to improve the prognosis of ES-SCLC patients4, 16, 20, 24, 25. According to the previous literatures4, 16, 20, 24, 25, the 2-year OS of patients with ES-SCLC who received chemotherapy plus TRT increased from 13% to 38%. For patients with a single chemotherapy regimen, when treated with additional TRT, the 2-year OS shows enhancement from 6% to 21%4, 10, 16, 25. It clearly shows that radiotherapy significantly improves the prognosis of patients with ES-SCLC, however the number of tumor metastasis were not considered in the studies.
Individualized treatment of NSCLC has been widely adopted, such as the targeted therapy, or radical treatment for patients with few oligometastases27,28,29. Resection or radiotherapy become a treatment option that provides high local control with minimal morbidity. De Ruysscher et al. reported their result of radical treatments (chemotherapyplus radiotherapy or surgery) for NSCLC patients with less than five oligometastases30, and the results indicating radical treatment had long-term PFS. Recently, Endo et al.31 reported a prospective phase II study of surgery for primary lesions (cT1-2N0-1) and surgery for synchronous or metachronous single organ metastases (e.g., brain, lung or others) with promising outcomes. Niibe et al.32 reviewed previous studies of oligometastatic NSCLC and advocated that local treatment approaches such as surgery or ablative radiation are only indicated for isolated brain or adrenal gland metastasis in terms of the survival results, and the most favorable lesion is 12 metachronous (recurrent) metastases. Punglia et al.33 demonstrated the hypothetical benefit of local therapy on the survival with increasing effectiveness of systemic therapy. Most reports concerning oligometastasectomy have showed that NSCLC with oligometastases can benefit from aggressive local therapy due to less biologically aggressive cancers. There was rare literature to report that the different role of TRT in oligometastatic and polymetastatic patients. Therefore, we analyzed the prognosis of ES-SCLC patients with oligometastases and polymetastases, and focused on whether TRT could improve the survival in ES-SCLC patients with different metastases. An interesting finding in this study is that the combination of platinum-based chemotherapy and TRT significantly improved the prognosis of ES-SCLC patients with oligometastases and polymetastases. Because of the high response rate (near 70%), the polymetastases maybe well treated. So TRT also significantly improves the prognosis of patients with polymetastases. The estimated hazard ratio for survival of oligometastatic patients with chemotherapy + radiotherapy was 2.9 compared with only chemotherapy; while that was 1.7 in polymetastatic patients. And the oligometastatic patients with chemotherapy + radiotherapy had superior survival benefits than polymetastatic patients. The 2-year OS in oligometastatic patients treated with the chemotherapy + radiotherapy and only chemotherapy were 25.2% and 12.7% (p = 0.002), and those were 10.0% and 6.8% (p = 0.030) in polymetastatic patients. In the meanwhile, the RTOG 0937 demonstrated a delay in progression of disease but no improve in 1-year OS with addition of consolidative extra-cranial irradiation34. Slotman et al.35 also reported that patients with 0–2 distant metastases, receiving TRT had significantly longer PFS (HR = 2.02; p = 0.003), but patients with more than 2 distant metastases, receiving TRT had not significantly longer PFS (HR1.25; p = 0.14); TRT did not lead to a significant benefit in OS in patients with 0–2 distant metastases or more than 2 distant metastases.
Another interesting finding of LC is that the actual LC in oligometastatic patients was superior to that in polymetastatic patients (36.7% v.s. 6.1%, (p < 0.001)), but the LC should be similar theoretically. We usually use involved-field radiotherapy (involved-sites radiotherapy usually in polymetastases) with low dose, so this was not improved in-field control and the LC was inferior in patients with polymetastases, and the local recurrences were still higher in patients with oligometastases. So we suggested that patients with oligometastases and polymetastases should receive the more aggressive TRT.
The limitations of this study include the small number of patients and retrospective analysis method. Therefore, some large prospective studies with dedicated designed chemotherapy and radiotherapy dose schemes are needed to confirm the findings. The optimal radiotherapy fields and prescription of ES-SCLC also need to be further studied.
Conclusion
Overall, the combination of platinum-based chemotherapy and radiation therapy can improve OS and PFS in ES-SCLC patients with oligometastases or polymetastases. Patients with oligometastases compared to polymetastases benefited more from radiotherapy. The optimal options of thoracic radiotherapy in ES-SCLC need to be prospectively investigated to obtain more convincing evidence.
References
Chen, W. et al. Cancer statistics in China, 2015. CA: a cancer journal for clinicians 66, 115–132 (2016).
van Meerbeeck, J. P., Fennell, D. A. & De Ruysscher, D. K. Small-cell lung cancer. Lancet 378, 1741–1755 (2011).
Byers, L. A. & Rudin, C. M. Small cell lung cancer: where do we go from here? Cancer 121, 664–672 (2015).
Jeremic, B. et al. Role of radiation therapy in the combined-modality treatment of patients with extensive disease small-cell lung cancer: A randomized study. Journal of clinical oncology: official journal of the American Society of Clinical Oncology 17, 2092–2099 (1999).
Ou, S. H., Ziogas, A. & Zell, J. A. Prognostic factors for survival in extensive stage small cell lung cancer (ED-SCLC): the importance of smoking history, socioeconomic and marital statuses, and ethnicity. Journal of thoracic oncology: official publication of the International Association for the Study of Lung Cancer 4, 37–43 (2009).
Zhu, H. et al. Thoracic radiation therapy improves the overall survival of patients with extensive-stage small cell lung cancer with distant metastasis. Cancer 117, 5423–5431 (2011).
Zhang, X. et al. Consolidative thoracic radiotherapy for extensive stage small cell lung cancer. Oncotarget 14759 (2017).
Mahmoud, O., Kwon, D., Greenfield, B., Wright, J. L. & Samuels, M. A. Intrathoracic extensive-stage small cell lung cancer: assessment of the benefit of thoracic and brain radiotherapy using the SEER database. International journal of clinical oncology 21, 1062–1070 (2016).
Palma, D. A. et al. Thoracic Radiotherapy for Extensive Stage Small-Cell Lung Cancer: A Meta-Analysis. Clinical lung cancer 17, 239–244 (2016).
Slotman, B. J. et al. Use of thoracic radiotherapy for extensive stage small-cell lung cancer: a phase 3 randomised controlled trial. Lancet 385, 36–42 (2015).
Slotman, B. J. & van Tinteren, H. Which patients with extensive stage small-cell lung cancer should and should not receive thoracic radiotherapy? Translational lung cancer research 4, 292–294 (2015).
Hellman, S. & Weichselbaum, R. R. Oligometastases. Journal of clinical oncology: official journal of the American Society of Clinical Oncology 13, 8–10 (1995).
Nordlinger, B. et al. Perioperative FOLFOX4 chemotherapy and surgery versus surgery alone for resectable liver metastases from colorectal cancer (EORTC 40983): long-term results of a randomised, controlled, phase 3 trial. The Lancet. Oncology 14, 1208–1215 (2013).
Ruers, T. et al. Radiofrequency ablation combined with systemic treatment versus systemic treatment alone in patients with non-resectable colorectal liver metastases: a randomized EORTC Intergroup phase II study (EORTC 40004). Annals of oncology: official journal of the European Society for Medical Oncology 23, 2619–2626 (2012).
Glimelius, B., Tiret, E., Cervantes, A., Arnold, D. & Group, E. G. W. Rectal cancer: ESMO Clinical Practice Guidelines for diagnosis, treatment and follow-up. Annals of oncology: official journal of the European Society for Medical Oncology 24, vi81–88 (2013).
Pfannschmidt, J. & Dienemann, H. Surgical treatment of oligometastatic non-small cell lung cancer. Lung cancer 69, 251–258 (2010).
Plones, T., Osei-Agyemang, T., Krohn, A. & Passlick, B. Surgical Treatment of Extrapulmonary Oligometastatic Non-small Cell Lung Cancer. The Indian journal of surgery 77, 216–220 (2015).
Ashworth, A., Rodrigues, G., Boldt, G. & Palma, D. Is there an oligometastatic state in non-small cell lung cancer? A systematic review of the literature. Lung cancer 82, 197–203 (2013).
Fukui, T. et al. Prognostic factors affecting the risk of thoracic progression in extensive-stage small cell lung cancer. BMC cancer 16, 197 (2016).
Yao, J. C. et al. One hundred years after “carcinoid”: epidemiology of and prognostic factors for neuroendocrine tumors in 35,825 cases in the United States. Journal of clinical oncology: official journal of the American Society of Clinical Oncology 26, 3063–3072 (2008).
Eisenhauer, E. A. et al. New response evaluation criteria in solid tumours: revised RECIST guideline (version 1.1). European journal of cancer 45, 228–247 (2009).
Grilley-Olson, J. E. et al. A randomized phase II study of carboplatin with weekly or every-3-week nanoparticle albumin-bound paclitaxel (abraxane) in patients with extensive-stage small cell lung cancer. The oncologist 20, 105–106 (2015).
Kalemkerian, G. P. et al. Small cell lung cancer. Journal of the National Comprehensive Cancer Network: JNCCN 11, 78–98 (2013).
Yee, D. et al. Clinical trial of post-chemotherapy consolidation thoracic radiotherapy for extensive-stage small cell lung cancer. Radiotherapy and oncology: journal of the European Society for Therapeutic Radiology and Oncology 102, 234–238 (2012).
Wu, C. et al. Effect of radiotherapy on the treatment of patients with extensive stage small cell lung cancer. Genetics and molecular research: GMR 13, 8577–8585 (2014).
Jackman, D. M. & Johnson, B. E. Small-cell lung cancer. Lancet 366, 1385–1396 (2005).
Group, N. M.-A. C. Chemotherapy in addition to supportive care improves survival in advanced non-small-cell lung cancer: a systematic review and meta-analysis of individual patient data from 16 randomized controlled trials. Journal of clinical oncology: official journal of the American Society of Clinical Oncology 26, 4617–4625 (2008).
Rosell, R. et al. Erlotinib versus standard chemotherapy as first-line treatment for European patients with advanced EGFR mutation-positive non-small-cell lung cancer (EURTAC): a multicentre, open-label, randomised phase 3 trial. The Lancet Oncology 13, 239–246 (2012).
Takeda, A., Sanuki, N. & Kunieda, E. Role of stereotactic body radiotherapy for oligometastasis from colorectal cancer. World journal of gastroenterology 20, 4220–4229 (2014).
De Ruysscher, D. et al. Radical treatment of non-small-cell lung cancer patients with synchronous oligometastases: long-term results of a prospective phase II trial (Nct01282450). Journal of thoracic oncology: official publication of the International Association for the Study of Lung Cancer 7, 1547–1555 (2012).
Endo, C. et al. A prospective study of surgical procedures for patients with oligometastatic non-small cell lung cancer. The Annals of thoracic surgery 98, 258–264 (2014).
Niibe, Y. et al. Oligometastases/Oligo-recurrence of lung cancer. Pulmonary medicine 2013, 438236 (2013).
Punglia, R. S., Morrow, M., Winer, E. P. & Harris, J. R. Local therapy and survival in breast cancer. The New England journal of medicine 356, 2399–2405 (2007).
Gore, E. M. et al. NRG Oncology/RTOG 0937: Randomized Phase 2 Study Comparing Prophylactic Cranial Irradiation (PCI) Alone to PCI and Consolidative Extracranial Irradiation for Extensive Disease Small Cell Lung Cancer (ED-SCLC). Int J Radiat Oncol Biol Phys 94, 5 (2016).
Slotman, B. J. et al. Which patients with ES-SCLC are most likely to benefit from more aggressive radiotherapy: A secondary analysis of the Phase III CREST trial. Lung Cancer 108, 150–153 (2017).
Acknowledgements
The authors would like to thank Shuai Wang for his contribution in data analysis. This work was supported by grants from the National Natural Science Foundation of China (Grant No. 81502656 and 81201753).
Author information
Authors and Affiliations
Contributions
P.W. and L.J.Z. designed the research; L.M.X. and L.J.Z. collected and analyzed data; L.M.X., C.C. and M.L.K. wrote the paper; L.L.G., Q.S.P., J.W., Z.Y.Y., L.J.Z., and P.W. provided study materials. All authors approved the paper.
Corresponding authors
Ethics declarations
Competing Interests
The authors declare that they have no competing interests.
Additional information
Publisher's note: Springer Nature remains neutral with regard to jurisdictional claims in published maps and institutional affiliations.
Rights and permissions
Open Access This article is licensed under a Creative Commons Attribution 4.0 International License, which permits use, sharing, adaptation, distribution and reproduction in any medium or format, as long as you give appropriate credit to the original author(s) and the source, provide a link to the Creative Commons license, and indicate if changes were made. The images or other third party material in this article are included in the article’s Creative Commons license, unless indicated otherwise in a credit line to the material. If material is not included in the article’s Creative Commons license and your intended use is not permitted by statutory regulation or exceeds the permitted use, you will need to obtain permission directly from the copyright holder. To view a copy of this license, visit http://creativecommons.org/licenses/by/4.0/.
About this article
Cite this article
Xu, LM., Cheng, C., Kang, M. et al. Thoracic radiotherapy (TRT) improved survival in both oligo- and polymetastatic extensive stage small cell lung cancer. Sci Rep 7, 9255 (2017). https://doi.org/10.1038/s41598-017-09775-0
Received:
Accepted:
Published:
DOI: https://doi.org/10.1038/s41598-017-09775-0
This article is cited by
-
Lokale Tumortherapie bei kleinzelligem Lungenkarzinom mit begrenzter oder ausgedehnter Metastasierung
Die Onkologie (2025)
-
Efficacy and safety of tyrosine kinase inhibitors with thoracic radiotherapy for patients with oncogene-mutated non-small cell lung cancer: a meta-analysis
Radiation Oncology (2024)
-
PD-L1-driven efficient enrichment and elimination of circulating cancer cells by magnetic MoSe2 nanosheet
Nano Research (2024)
-
Efficacy and safety of thoracic radiotherapy for extensive stage small cell lung cancer after immunotherapy in real world
Clinical & Experimental Metastasis (2023)
-
Oligometastatic Breast Cancer: Is This a Curable Entity? A Contemporary Review of the Literature
Current Oncology Reports (2020)




