Abstract
The mammalian transient receptor potential melastatin channel 8 (TRPM8), highly expressed in trigeminal and dorsal root ganglia, mediates the cooling sensation and plays an important role in the cold hypersensitivity characteristic of some types of neuropathic pain, as well as in cancer. Consequently, the identification of selective and potent ligands for TRPM8 is of great interest. Here, a series of compounds, having a β-lactam central scaffold, were prepared to explore the pharmacophore requirements for TRPM8 modulation. Structure-activity studies indicate that the minimal requirements for potent β-lactam-based TRPM8 blockers are hydrophobic groups (benzyl preferentially or tBu) on R1, R2, R3 and R5 and a short N-alkyl chain (≤3 carbons). The best compounds in the focused library (41 and 45) showed IC50 values of 46 nM and 83 nM, respectively, in electrophysiology assays. These compounds selectively blocked all modalities of TRPM8 activation, i.e. menthol, voltage, and temperature. Molecular modelling studies using a homology model of TRPM8 identified two putative binding sites, involving networks of hydrophobic interactions, and suggesting a negative allosteric modulation through the stabilization of the closed state. Thus, these β-lactams provide a novel pharmacophore scaffold to evolve TRPM8 allosteric modulators to treat TRPM8 channel dysfunction.
Similar content being viewed by others
Introduction
Thermo-Transient Receptor Potential receptors (thermoTRPs) belong to a subfamily of ion channels responsible for the activation by changes in temperature, voltage, pressure, acid and different types of endogenous and exogenous chemicals. These channels are involved in thermosensation, from noxious cold (<15 °C) to harmful heat temperatures (>42 °C)1. Moreover, alterations on this family of ion channels contribute to the thermal hypersensitivity associated with pathological pain2. Beyond the implication in thermal transduction, their dysfunction has been associated with pathological processes, such as pulmonary diseases, neurodegeneration, skin sensitivity or cancer, among others3.
Transient Receptor Potential Melastatin 8 (TRPM8) is an ion channel from the thermoTRP family that was initially identified up regulated in prostate tumour cells4. While it is possible to find it in other tissues (bladder, lung or urogenital tract), TRPM8 is predominantly expressed in peripheral nervous system neurons2, 5. Different analysis in Dorsal Root Ganglia neurons (DRGs) showed that TRPM8 is expressed in sensory neurons, mostly in C and Aδ fibres. The functional TRPM8 receptor is a tetrameric membrane protein with four identical subunits assembled around a central aqueous pore. Each TRPM8 subunit shows a membrane domain composed of six transmembrane segments (S1–S6), with an amphipathic region between S5–S6 segments that forms the channel conductive pore, and intracellularly located amino- and carboxyl-termini6. TRPM8 channels are activated by menthol, icilin, voltage and cold temperatures (<26 °C in heterologous systems and <30 °C in sensory neurons) and, therefore, they can be considered as a molecular integrators of noxious stimuli in nociceptors5, 7. Moreover, TRPM8 knockout mice and pharmacological suppression of the TRPM8 activity markedly reduce the thermal hyperalgesia typical from some types of pain8,9,10. Notably, enhanced expression of this thermoTRP channel has been observed in various human chronic pathologies. In patients with peripheral nerve disease, innocuous cold stimulation elicits painful sensations11, 12. Similarly, some platinum-based chemotherapeutic agents, i.e. oxaliplatin, cause cold hypersensitivity, which severely restricts its dosage and the duration of treatment13. In addition, recent studies have demonstrated that the use of TRPM8 antagonists reduced the proliferation rates and proliferation fraction in all prostate tumour cells tested, but not in non-tumour cells14. Thus, TRPM8 has garnered great attention as a therapeutic target not only for pain management, but also for other pathologies15.
Accordingly, validation of TRPM8 as a therapeutic target has increased the efforts dedicated to design TRPM8 modulators, starting from different structural scaffolds. Thus, menthol and compounds with different hydrocarbon skeletons, earlier identified to possess menthol-like cooling effects, were then categorized as TRPM8 agonists16, 17. Among them, D-3263, entered phase I clinical trials for advanced prostate cancer and benign prostatic hyperplasia (Fig. 1)18. Among the TRPM8 antagonists, several families have been reported, including different chemotypes like benzothiophene, benzimidazole, and arylglycine as central scaffolds15, 19,20,21. Some of these compounds have demonstrated in vitro and in vivo activity in animal models of inflammatory and neuropathic pain. Furthermore, BCTC (Fig. 1) has been used together with other antagonists to reduce the proliferation of prostate tumour cells14. Moreover, some benzamide-type antagonists reduced the hyperactivity and painful sensation in bladder syndromes through inhibition of TRPM822. A related isoquinoline derivative, PF-05105679, showed clinical efficacy in cold-related pain in humans23, 24. However, most of current TRPM8 inhibitors showed also agonistic/antagonistic properties towards other receptors and have side effects that justify the need for new, more selective compounds25, 26.
In a previous study we described some β,γ-diaminoesters I with TRPV1, TRPM8 and TRPA1 blocking properties (Fig. 1)27. Within this series, an increase in the general hydrophobicity of the molecule enhanced the ability to block the TRPM8 activation, allowing the identification of substituents and amino acid residues that led to selective modulators. For instance, compound I (R1, R4 = Bn, R2 = Me, R3 = tBu, R5 = Z) showed a 73% TRPM8 blockade at 5 μM, but reduced activity at TRPA1 and especially at TRPV1. Attaching these substituents on a rigid β-lactam scaffold28, could serve to decrease the inherent flexibility of the linear β,γ-diaminoester series, in a way to discover new TRP blockers with higher selectivity. On this basis, we designed an innovative chemical library founded on the β-lactam ring (structure II, Fig. 1). These new derivatives were evaluated by high-throughput screening allowing the study of the structure-activity relationship on this series, and contributing to the establishment of the minimal requirements for potent TRPM8 blockers. Hence, two potent TRPM8 blocking candidates were identified, which in electrophysiological assays revealed great selectivity against TRPM8 activity evoked by either chemical or physical stimuli. Computational studies suggested possible binding sites for these β-lactam-based TRPM8 modulators that contribute to our understanding of TRPM8 modulation.
Results and Discussion
Chemistry
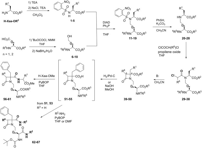
To mount three or four hydrophobic groups into a central scaffold, we designed highly functionalized β–lactam derivatives II (Fig. 1). Following our expertise in amino acid-derived 2-azetidinones29, 30 compounds 39–50 were prepared in a four-step synthetic procedure starting from N-nosyl-Phe- or N-nosyl-Ala-derived compounds 1–5 and alcohols 6–10 (Fig. 2), obtained from Asp and Glu derivatives. In the course of a Mitsunobu reaction31, these nosyl derivatives reacted with the alcohols to afford N-nosyl-N-alkyl amino acid derivatives 11–19 in good yield. Different esters (Me, tBu, Bn) and Z or Boc amino protecting groups were combined to obtain compounds with diverse hydrophobic character. Removal of the Ns group under standard conditions provided amino derivatives 20–28, which upon reaction with chloroacetyl or racemic 2-chloropropanoyl chloride led to key linear synthetic intermediates 29–38. Base-mediated cyclization of these chloroalkanoyl derivatives provided the desired β–lactam derivatives 39–50 in moderate to good yield. It is interesting to note that the cyclization of intermediate 29 afforded the expected compound 40 (56%), along with two related derivatives, resulting from the transesterification of the Me, Bn esters to Me, Me and Bn, Bn analogues (39 and 41, respectively). The preparation of 41, one of the best compound within this series, as indicated later, was improved to 64% yield by direct cyclization of the dibenzyl ester linear intermediate 30. All β–lactam derivatives were formed as mixtures of two diastereoisomers in variable ratio (Table 1S). The diastereoisomeric mixture was resolved by semipreparative chiral HPLC in the case of compound 41, but was not attempted for other derivatives since similar blocking activity was observed for both isomers (see SI, Fig. S1, and discussion later).
To assign the configuration at C4 of the obtained diastereoisomers, we prepared and analyzed by 1H NMR a series of dipeptide derivatives 56–61 from compounds 41, 43–46 (Fig. 2). The synthesis was carried out through hydrolysis or hydrogenolysis of one or two esters to the corresponding carboxylic acids 51–55, followed by coupling with the corresponding amino acid, using PyBOP as coupling agent. Following established rules32, 33, for each diastereoisomeric pair, the dipeptide with more shielded chemical shift of the β-H aliphatic side-chain protons and higher retention time in HPLC was assigned as the heterochiral dipeptide (Table S2). These rules were previously validated for a closely related β–lactam derivative34. Thus, major diastereoisomers 56a and 57a were assigned as heterochiral around the 4,1′ positions, and therefore having 4R,1′S,1′′S configuration, as the coupled amino acids were of the natural series L. Minor isomers 56b and 57b have in concordance 4S,1′S,1′′S configuration. Although not separated by chromatography, the major components in compounds 58 and 61 are also heterochiral, showing more shielded Ala β-Me protons and longer retention time in HPLC than their corresponding minor diastereoisomers. In agreement with this, the main isomer in compound 59, incorporating a D-Ala residue, is compatible with a homochiral derivative (considering the 4,1′ positions). These results mean that during the β–lactam ring closure the 4R isomers were predominantly formed, in contrast with that observed for simple L-Phe-derived β–lactams, which provided major 4S isomers due to memory of chirality29, 35. Compulsorily, this reversal selectivity should be attributed to the presence of the additional stereogenic centre (coming from the L-Asp or L-Glu residues) that should regulate the preferential formation of the 4R isomer.
The corresponding benzyl amide derivatives 62–64, as well as some pyridine analogues 65–67 (which can be protonated), were also prepared from diacids 51 and 53 (Fig. 2, Table 3S). Diastereoisomeric pairs of compounds 63 and 67 were easily resolved by column chromatography. Based on the peptide derivatives assignment, 4R configuration was designated to major isomers.
Biological evaluation
Screening of synthesized compounds by Ca2+-microfluorography
All compounds were tested at two different concentrations (50 and 5 µM) on TRPM8 and TRPV1 channels stably expressed in HEK and SH-SY5Y cell lines, respectively. The agonist induced intracellular Ca2+ signals were measured using a fluorescent Ca2+ indicator, in the absence and in the presence of test compounds. Menthol (TRPM8) and capsaicin (TRPV1) were used as the respective agonists. The obtained results were compared to those of 68 (AMTB, TRPM8 antagonist) and ruthenium red (TRPV1 antagonist). The IC50 values for the assay on TRPM8 were also calculated. The obtained results are summarized in Tables 1 and 2.
As shown in Table 1, the first three Phe-derived β–lactam compounds, 39, 40 and 41 are structurally quite similar, sharing a phenyl group in R1, H at positions R4 and R6 and a tert-butoxycarbonyl group (Boc) as substituent R5. Differences among them are located at the ester moieties R2 and R3. According to the evaluation, the presence of benzyl esters both on R2 and R3 (41) confers to the molecule a high blocking effect against TRPM8 (95% at 5 µM), with an IC50 value in the low micromolar range. This activity decreases considerably when the R2 benzyl group was substituted by a small methyl group (40) or drastically when the methyl modification was done on both positions R2 and R3 (39). The importance of the two hydrophobic benzyl esters is reinforced with the results from derivative 42. Similarly to 40, it incorporates conservative hydrophobic substitutions on R3, with a tert-butyl (tBu) group, and a benzyloxycarbonyl (Z) moiety on R5. The activity of 42 was slightly higher compare to 40, 82% and 75% of TRPM8 blockade, respectively, but far from that of the potent 41. Substituting the phenyl group of 40 and 42 by hydrogen (R1 = H) in 43 and 44 causes a dramatic decrease in activity, suggesting that an aromatic ring on this position is essential for the blocking effect. Regarding the R6 substituent, the incorporation of a methyl group at position C3 of compound 41, to give analogue 45, has little influence on the activity, because both compounds displayed similar potency.
To explore the relevance of the N-alkyl chain length for the activity we prepared and evaluated some Glu-derived compounds. Comparison of homologues 41 and 46, with exactly the same substituents but different length of the N-alkyl chain (2 and 3 carbons, respectively), indicates that a small increment on the chain length reduces the blockade activity up to 4-fold. Glu derivative 47, which maintains the 3 carbon chain but replaces the benzyl ester on R3 by a methyl group, while keeping conservative modification at R2 (tBu instead Bn) and R5 (Z instead of Boc), showed poorer blockade of TRPM8 activity compared to 46, in agreement with their lower homologues (42 versus 41). Compound 48, the analogue of 47 that incorporates a small modification at R4 (a Me group instead of H), was slightly more effective (Table 1). The blocking activity of analogue 49 (R5 = H), resulting from the removal of the Z group in 48, was almost inexistent, indicating a crucial importance of the R5 hydrophobic group. As above, no activity was observed for compound 50, Ala analogues of 47, corroborating the significance of the R1 phenyl group. Similarly, removal of both benzyl ester groups (R2, R3 = H) to the corresponding free carboxylic acids resulted in poorer active compounds (51 and 53).
Peptide derivatives, initially prepared to help in the configuration assignment of the parent compounds, were also tested for their ability to block TRPM8 and TRPV1 channels (Table 2). It is noteworthy that, in general, the substitution of the benzyl ester by amino acid residues on R2 and/or R3 leads to worst TRPM8 blockers, while keeping poor or inexistent activity at TRPV1. Thus, isomeric derivatives 56a and 56b, incorporating a big hydrophobic group (L-Phe-OMe) on R2 and R3 instead of the O-benzyl group, showed one order of magnitude reduced effect on TRPM8 respect to compound 41. Although they satisfied the hydrophobic requirements on R2 and R3, the results might suggest that the overall size of these groups is also important, and perhaps that the presence of the methyloxycarbonyl moiety at the distal position is not well tolerated within the supposed hydrophobic pocket occupied by the Bn group. Additionally, the change of the ester oxygen (O) by an NH group might also have a negative influence in the activity, as confirmed for simple amide derivatives. As expected, the introduction of a less hydrophobic Ala residue on isomers 57a and 57b, small analogues of 56a and 56b, resulted in a strong reduction of the blocking activity. Similar outcomes were obtained with dipeptide derivatives 58, 59 and 60. Thus, substituting the R2 group of 47 and 48 by L-Ala-OMe (58, 60) or D-Ala-OMe (59) led to a decrease of the activity in relation to parent compounds.
Eight derivatives were designed modifying the positions R2 and R3 to include an amide instead of an ester group, as a strategy to increase the metabolic stability of compounds within this series. Thus, compounds 62–64, analogues of 41, 45, and 46, where the benzyl esters on R2 and R3 were substituted by benzyl amides, were synthesized and evaluated. This O → NH change was detrimental for the activity, because it increased the IC50 value from 0.42 μM in 41 to 7.1 μM in 62. Similarly, the introduction of benzyl amide residues on R2 and R3 reduced the activity of the parent diester 45 (IC50 = 0.8 μM), up to 8.1 μM for the SSS-stereoisomer 63b, and in a lower extent to 5.7 μM for 63a, having RRS configuration. This modification in the higher homologue 46 afforded derivative 64, also with reduced activity compared to the diester and its shorter analogue 62. It is well known that the bioisosteric change of a phenyl group by a pyridine moiety may serve to increase the aqueous solubility of compounds because it can be protonated. According to this, in an attempt to improve the solubility of these highly hydrophobic compounds, pyridine derivatives 65, 66 and 67 were designed, synthesized from diacid 51, and evaluated. The substitution of the benzyl group on R2 and R3 of 62 by a highly similar (4-pyridine)methyl moiety gave to compound 65, showing a strong reduction of the activity compared to 62 and to the corresponding diester partner 41. Interestingly, shorter analogues in which the benzyl group was directly substituted by either a 3-pyridine ring in 66 or a 4-pyridine moiety in 67a,b recovered significant blockade activity, comparable to that of 62. As expected, compound 66 showed improved solubility respect to 62 and 41 (>5- and >50-fold, respectively, see Table 4S in SI).
All together, these results support the premise that high TRPM8-blocking activity within this series requires hydrophobic moieties on R1, R2, R3 and R5 and a short N-alkyl chain, and also suggested that these compounds should interact with the receptor in a large binding pocket, able to accommodate different structures and sterereochemistries, and that the forces maintaining the interaction are probably mainly hydrophobic.
Regarding to the activity of these compounds on TRPV1, almost all of them were inactive over these channels (Tables 1 and 2), with only significant antagonist properties for a few compounds at the higher concentration evaluated (50 μM). No signs of agonist activity for this family of compounds were found in the TRP channels assayed (see Fig. 1S in SI).
Compounds 41 and 45 potently and selectively blocks TRPM8 activity
The initial screening and the SAR analysis identified Asp-derivatives 41 and 45 as the most potent TRPM8 channel blockers within the synthesized compounds. In addition, these β-lactam derivatives did not display apparent cytotoxicity in the MTT assay (see Fig. 2S in SI). The inhibitory activity of these candidates was further demonstrated electrophysiologically in HEK-CR1 expressing TRPM8 channel by patch clamp technique in whole cell configuration.
As depicted in Fig. 3, perfusion with 500 µM menthol activated a large TRPM8 inward current at −60 mV (Fig. 3, control). The pre-application (20 s) of compound 41 (Fig. 3A) or 45 (Fig. 3B) at different concentrations, followed by co-application with 500 µM menthol, revealed a dose-dependent inhibition with almost totally absence of current at 1 µM in both compounds. The dose-response curves for compounds 41 and 45 were fit to obtain the IC50 values and the Hill coefficient. The extent of TRPM8 activity shown in Fig. 3 corresponds to the ratio of channel activity between the second (P2) and the first (P1) pulses (ratio P2/P1) of menthol in order to take into account the channel desensitization (supplementary information Fig. 3S)36, 37.
Compounds 41 and 45 strongly inhibited TRPM8-mediated currents. Left: Representative whole-cell voltage clamp recordings from TRPM8-expressing HEK-CR1 cells and compound 41 (A) and 45 (B). Voltage was held at −60 mV. Pre-application of compounds (20 s) was followed by co-application with 500 µM menthol (Control) for 20s. Current traces of different colours denote the different concentrations of compounds tested. Right: Dose response of compound 41 (A, red), 45 (B, blue) TRPM8 blocked activity. Solid line depicts the fitting to a Hill equation. Data are given as mean ± SEM, with n > 4 cells per data point.
Against TRPM8 activity evoked by menthol, derivative 41 blocked potently the receptor, reporting an IC50 of 46 ± 6 nM with nH of −1.5 ± 0.3 (Fig. 3A). The dose-response of the 3-methyl analogue 45 reported an IC50 of 83 ± 11 nM with nH = −1.1 ± 0.2 (Fig. 3B), a slight decrease in the potency compared to compound 41 (Table 5S). Both compounds (41 and 45) were potent TRPM8 blockers, with activity in the nanomolar range, which position them within the most potent blockers of TRPM8 channel described to date.
Remarkably, co-application of separated diastereoisomers 41a and 41b (1 μM concentration) with 500 µM menthol resulted in a significant and quite similar reduction of current through the TRPM8 channel, slightly higher in the case of isomer 41a (see supporting data, Fig. 4S). It seems that both isomers are able to tightly interact with the TRPM8 protein, suggesting a roomy binding pocket for the accommodation of the different hydrophobic substituents, in spite of their relative arrangement within each diastereoisomer.
As demonstrated by electrophysiology experiments, compound 41 bind to TRPM8 channels in a reversible manner (see Fig. 5S in SI). Four minutes after the compound has been removed from the bath, the channel can be activated again by menthol eliciting similar currents to prior compound application.
Patch clamp experiments in cells expressing hTRPV1, TRPA1, Kv1.1 and NaV1.6 indicated that compounds 41 and 45 exhibited high specificity and selectivity for TRPM8 channels (Table 5S in Supporting data).
Compounds 41 and 45 blocks all type of TRPM8 activation
TRPM8 is a polymodal channel, gated by chemical and physical stimuli. It has already been demonstrated that compounds 41 and 45 were able to block menthol-mediated TRPM8 activity. Hence, the possible inhibition of voltage- and cold-mediated TRPM8 activation was explored using patch clamp in whole cell configuration.
In the absence of compound 41, TRPM8 channel is activated by voltage steps, showing outward currents at positive voltages (Fig. 4A, top), which were notably reduced in the presence of 1 µM 41 (Fig. 4A, bottom). Figure 4B illustrates the current-voltage relationship (I-V) of voltage evoked TRPM8 response in absence of compound 41 (black), characterized by absence of current at negative potential and reversion near 0 mV to show strong outward rectifying currents at positive voltages. When 1 µM of 41 was applied (Fig. 4B, red), a strong reduction on the voltage-mediated TRPM8 activity at depolarizing voltages (+120 mV) was observed (90 ± 2%).
Compound 41 abolished the voltage-evoked response on TRPM8. (A) Representative families of TRPM8 ionic currents in absence (Control) or presence of 1 μM 41 elicited with a voltage step protocol consisting of 200-ms depolarizing pulses from −60 to +120 mV in steps of 20 mV (inset). Holding potential −60 mV, time between pulses = 5s. (B) I-V relationships of TRPM8 channel activity in the absence (black) and presence of 1 µM 41 (red).
It was also addressed the question of whether compound 41 might reduce the thermal activation of TRPM8, produced when mild cold is applied (Fig. 5). In absence of 41, the application of two pulses of buffer at 16 °C evoked similar currents though the TRPM8 channel, and no desensitization processes were observed (Fig. 5A). In contrast, the application of β–lactam based compound 41 (Fig. 5B) at 1 µM together with the second thermal pulse revealed a significant decrease in the current intensity.
Compound 41 abolished the cold thermal activity response on TRPM8. Left: Representative families of TRPM8 ionic currents at +80mV in absence (A) or presence of 1µM 41 (B) activated by cold temperature (16 °C) obtained with a 300-ms ramp from −80 to +80 mV in intervals of 2 s during 3 minutes. Holding potential −60 mV. Right: I-V relationships of TRPM8 channel in basal conditions (a, black line), activated by cold in the absence (b, green line) and presence of 1 µM 41 (c, blue line). (C) Ratio currents between pulse 2 and pulse 1 induced by menthol in the absence (black bar) or in the presence (blue bar) of compound 41.
Similar results were found for the 3-Me analogue 45, which was also able to reduce significantly the outward currents triggered by voltage and low temperature (see Fig. 6S in SI).
These results not only support the ability of compounds 41 and 45 to block the polymodal activation of TRPM8 channels, but also suggest that these compounds could be negative allosteric modulators, inhibiting the activation of the channel by interfering with its gating process.
Molecular modeling of the interaction between compound 41 and TRPM8 channel
Computational studies were performed to investigate the possible binding mode of compound 41 to TRPM8. Since the three-dimensional structure of TRPM8 has not been solved yet, a closed state, homology model of the TRPM8 was built, based on the recently published 3,4 Å-resolution structure of TRPV138. The starting conformations of compound 41 (configuration SSS) were obtained by minimization. Then, series of docking simulations with the software implemented in Yasara39, 40, were ran to investigate whether the TRPM8 tetramer was able to bind the newly-synthesized small molecule, and to test the influence of this binding on the channel conformation. After 500 trials of simulations, the docking studies predicted two major solutions, site 1 and site 2 (Fig. 7S, SI).
The most favourable in terms of energy was site 1 (binding energy 141.4 kcal/mol, Table 3), localized in a hydrophobic pocket formed by the transmembrane segments S1, S2, S3 and the TRP domain (Figs 6 and 8S). On this site, compound 41 displays a network of hydrophobic interactions with wide contact surface. Namely, the phenyl ring of the benzyl substituent R1 is surrounded by the side-chain of residues F700 and L704 of transmembrane helix S1, and L750 and L751 of helix S2. The phenyl ring of the 4-CO2Bn ester (R2) occupies a second pocket defined by L697 (S1), and L1009 and Y1005 of the TRP domain. In addition, the hydrocarbonated part of E1004 and R1008 side chains, both at the TRP domain, also contribute to this second hydrophobic pocket. Residue L697 establishes a hydrophobic interaction with the CH2 of the β–lactam ring. Two leucine residues of TRPM8, L843 (S4) and L1001 (TRP domain), the β–CH2 of N799, along with the phenol ring of Y754 contribute to fix the phenyl ring of the other benzyl ester (R3) within a third hydrophobic box. Finally, the position of the tBu group (R5) is stabilized by Van der Waals forces with I701 side-chain (S1), and γ–CH3 groups of T803 (S3) and T840 (S4).
This site is different, but relatively close, to that occupied by agonists like menthol41, icilin39, and isoxazole derivatives42, as well as that proposed for the SKF96365 antagonist43, all of them having Y745 as a key interacting residue. However, it is very similar to that described for tryptamine-based ligands44, although in our case we did not find a π-π-stacking interaction with Y754. In agreement with tryptamine antagonists, our complex maintains H-bonds among Y754, E1004 and R1008 side-chains, which were disrupted upon binding of a tryptamine-based agonist.
The molecular modelling analysis also showed another energetically probable option, site 2 (binding energy 94.3 kcal/mol, Table 3, Fig. 9S). On this solution, compound 41 was localized in a hydrophobic pocket formed by the transmembrane segments S3-S4-S5 from a subunit and the S6 from a contiguous monomer. The docked compound 41 exhibited hydrophobic interactions among the phenyl group of the R1 substituent and side-chains of F869, F872, and L873 residues (all situated on S5, subunit 1). Benzyl ester R2 establishes Van der Waals contacts with the indole ring of W798 (S3 of subunit 1), L864 and I865 side-chains, both located in S5 of subunit 1. Similarly, the phenyl ring of substituent R3 interacts with residues located at the S5 of subunit 1 (L864 and F868) and at the S6 of the contiguous monomer (I962 and L965, Fig. 8S). The tBu group of the Boc moiety shows close contacts with D802 (S3) and Y836 (S4) side-chains of subunit 1.
In order to determine which residues, among the suggested by docking studies, are more important for ligand binding, we have performed a computational alanine scanning of the key amino acids mentioned above for TRPM8 and compound 41 interaction. The mutations of individual amino acids followed by binding energy determinations showed that residues Y754, L697 and E1004 are the most important ones for the binding of compound 41 to site 1. In the case of site 2, the in silico mutagenesis studies revealed that W798, Y836 and F869 were essential residues for binding of compound 41 (See Table 6S in SI).
Once determined these important residues in TRPM8 as part of 41 binding site, we located the equivalent residues in other TRP channels, as determined by superposition of their structures. The results are shown in Table 7S. Side chain differences indicated important changes in the residues from site 1 and 2. For instance, in site 1 the aromatic Y754 of TRPM8 become a positively charged amino acid in TRPV1 and TRPA1; the hydrophobic L697 become polar in TRPV1, TRPA1 and TRPV2, and the negative charge E1004 become hydrophobic in TRPA1 or TRPV6. Similarly, the aromaticity of site 2 in TRPM8 disappears in two of the three positions tested in all TRPs.
To further predict the selectivity of compound 41 and 45 for TRPM8 versus TRPV1, we also performed computational studies on TRPV1 (see supporting information for details, Figs 10S and 11S). The TRPV1 sites (1 and 2) are larger and more open than in TRPM8. Accordingly the network of hydrophobic interactions is significantly reduced, especially in site 1. As a result, the theoretical binding energy calculated for both sites of TRPV1 is notably lower than that found for TRPM8 (Table 3). The hydrogen bond between the ester oxygen of the 3-CO2Bn and the side-chain NH of N57 (S1) could account for the higher binding energy of 41 at TRPV1 site 1 respect to that of site 2, regardless of the lower number of hydrophobic interactions in the first case. Similar results were observed for other TRP channels, such as TRPA1, TRPV2 and TRPV6 (Table 3). The binding energies of both compounds in sites 1 and 2 were lower than those obtained for TRPM8, indicating a marked preference for TRPM8. It is observed a notably low binding energy of derivatives 41 and 45 for TRPV2 and TRPV6.
The high number of hydrophobic interactions found in the energetically most favourable solution (TRPM8, site 1) could explain the good affinity of the molecule for the receptor and the high potency of compound 41 (Fig. 6). We propose that the physical proximity of this hypothetical binding site to the TRP box region and the interactions with the S1-S2-S3-S4-TRP domain could preserve the closed state of the channel. Moreover, it has been reported that structural changes in the S2 helix can severely affect the activity of the channel45. Regarding the importance of the TRP domain, recent papers have remarked the central role of this region in the gating mechanism of TRPM8 channels. Thus, activating stimuli seems to disrupt interactions in the proximal 980–992 region of the TRP domain, favouring channel opening46. Interestingly, other TRP channel such as TRPV1 or TRPV4 also showed a similar gating mechanism, suggesting a conserved function for this region47. Furthermore, the SAR results (Tables 1 and 2) revealed that substitutions on R1 (44, 45, 50), and on R2, R3 (39, 51, 62, 65) that reduced the hydrophobic character of compounds, and hence the number of hydrophobic interactions, diminished the activity of these compounds. Altogether, these results support the hypothesis of a stabilization of the closed state of TRPM8 by the highly hydrophobic β–lactam analogues on site 1.
The recently reported structure of TRPV1 solved by cryo-electron microscopy describes an electron density assigned to capsaicin located pocket between helices S3 and S438, in agreement with previous reports on vanilloid binding48, 49. Moreover, it has been reported that capsaicin contact with S4-S5 and S6 from an adjacent subunit produces a structural rearrangement that stabilized the TRPV1 channel in the open state50. We hypothesized that compound 41 in site 2 (Fig. 8S), could be acting on TRPM8 in a similar way as capsaicin in TRPV1. Despite the fact that capsaicin is an agonist of TRPV1 channel and 41 is a selective TRPM8 blocker, these differences suggest that the binding pocket of capsaicin could be a conserved site for regulation of TRP channels. In fact, the synthetic analogue of capsaicin, capsazepine51, a competitive antagonist of capsaicin, support this hypothesis, where different interactions in the same binding pocket formed by S3-S4-S5 and S6 from an adjacent subunit are able to confer agonist or antagonist effect to ligands.
Taken together, these computational studies on the TRPM8 channel suggest the existence of more than one binding site where ligands can exert their negative allosteric modulation, although for compound 41 the difference in binding energy indicates site 1 as the most probable interaction pocket.
Conclusions
In conclusion, we showed that compounds 41 and 45 are strong and selective TRPM8 blockers and represent the first potent members of a novel class of TRP channels modulators based on a privileged β-lactam scaffold. This central core, traditionally used in the synthesis of antibiotics, is nowadays earning new and promising therapeutic applications. Unlike most of the TRPM8 antagonists described to date, compounds 41 and 45 have revealed an important selectivity versus other TRP members as well as other ion channels. Functionally, compounds 41 and 45 are TRPM8 modulators that block all modes of activation by a putative negative allosteric modulation. Computational studies with 41 suggest two possible binding sites for these β-lactam derivatives. These drug binding sites seems to be conserved among thermoTRP channels, although they differ in the network of potential interactions, thus providing new opportunities to design and develop better receptor blockers for the thermoTRP channel family. Because of its potency and selectivity, together with the simplicity of its synthesis, compounds 41 and 45 represent new hits for TRPM8 modulation, which are now being further modified to discover new analogues with improved properties for prospective therapeutic application in pain and cancer. Future in vivo studies with ameliorated compounds will unveil the therapeutic potential of these novel TRPM8 blockers, either for systemic or topical applications.
Methods
Chemistry
For experimental details and description of all new synthetic intermediates, and the characterization of most β–lactam derivatives see the supporting data.
Synthesis of 2-azetidinones
BTPP (2.4 mmol, 0.75 mL) or Cs2CO3 (3.2 mmol, 1.04g) was added to a solution of N-alkyl-N-chloroalkanoyl derivatives 29–38 (1.6 mmol) in dry CH3CN (4 mL), under Ar atmosphere. The reaction mixture was stirred until the starting material disappeared. The solvent was removed and the residue was extracted with EtOAc, and washed with H2O and brine, successively. Finally, the organic phase was dried over Na2SO4, filtered, and concentrated. The residue was purified by flash chromatography on silica gel, using the eluent mixture indicated in each case.
4R,S-Benzyl-4-benzyloxycarbonyl-1-[(3′S-benzyloxycarbonyl-3-tert-butoxycarbonylamino-3′-benzyloxycarbonyl)prop-1′-yl]-2-oxoazetidine (41). Syrup. Yield: 4% (from 29, B:BTPP), 64 % (from 30, B:BTPP). Eluent: EtOAc:Hexane (1:1). HPLC: tR = 17.22 min (gradient of 5% to 100% of A, in 20 min). HPLC (Chiral C column): tR = 20.15, 22.18 min (Isocratic 9/91 (Acetone/Hexane). Diastereoisomers ratio M, m = 53:47 from 29 (86:14, from 30). Diastereoisomers were separated by semipreparative HPLC (Chiral C column). Eluent: Acetone:Hexane, 2:98, Isomer 4S tR = 9.78 min, Isomer 4R tR = 10.75 min.
Isomer 4R (41a). Syrup. HPLC: tR = 17.22 min (gradient of 5% to 100% of A, in 20 min). [αD] = +4.82 1H NMR (400 MHz, CDCl3): δ 7.35–7.02 (m, 15H, Ar), 5.17 (d, 1H, J = 12.4 Hz, OCH2), 5.16 (s, 2H, OCH2), 5.11 (d, 1H, J = 12.4 Hz, OCH2), 5.01 (m, 1H, 3-NH), 4.25 (m, 1H, 3′-H), 3.25(d, 1H, J = 14.2 Hz, 4-CH2), 3.24 (m, 2H, 1′-H), 3.15 (d, 1H, J = 14.8 Hz, 3-H), 3.14 (d, 1H, J = 14.2 Hz, 4-CH2), 2.88 (d, 1H, J = 14.8 Hz, 3-H), 2.18 (m, 1H, 2′-H), 1.97 (m, 1H, 2′-H), 1.44 (s, 9H, CH3 tBu).13C NMR (75 MHz, CDCl3): 172.0 (COO), 171.2 (COO), 166.5 (CON), 155.6 (OCON), 135.5, 134.94, 134.5, 129.8, 129.0, 128.9, 128.8, 128.7, 128.5, 127.7 (C Ar), 80.3 (C tBu), 67.9, 67.5 (OCH2), 63.3 (C4), 52.1 (C3′), 46.0 (C3), 40.1 (C1′), 39.0 (4-CH2), 31.1 (C2′), 28.5 (CH3 tBu). MS (ES)+: 587.46 [M+H]+. Exact Mass calculated for C34H38N2O7: 586.26790, found: 586.26869.
Isomer 4S (41b). Syrup. HPLC: tR = 17.22 min (gradient of 5% to 100% of A, in 20 min). [αD] = +103.65 1H NMR (400 MHz, CDCl3): δ 7.35–7.03 (m, 15H, Ar), 5.14 (s, 4H, OCH2), 5.03 (d, 1H, J = 6.6 Hz, 3-NH), 4.21 (m, 1H, 3′-H), 3.25 (d, 1H, J = 14.0 Hz, 4-CH2), 3.14 (d, 1H, J = 14.8 Hz, 3-H), 3.13 (m, 3H, 1′-H, 4-CH2), 2.86 (d, 1H, J = 14.8 Hz, 3-H), 2.20 (m, 1H, 2′-H), 1.92 (m, 1H, 2′-H), 1.44 (s, 9H, CH3 tBu). 13C NMR (75 MHz, CDCl3): 171.9 (COO), 171.2 (COO), 166.4 (CON), 155.9 (OCON), 135.4, 134.8, 134.4, 129.8, 129.0, 128.9, 128.7, 128.6, 128.5, 127.6 (Ar), 80.2 (C tBu), 67.8, 67.4 (OCH2), 63.1 (C4), 51.9 (C3′), 45.8 (C3), 39.8 (C1′), 38.9 (4-CH2), 30.8 (C2′), 28.4 (CH3 tBu). MS (ES)+: 587.46 [M+H]+. Exact Mass calculated for C34H38N2O7: 586.26790, found: 586.26866.
4R,S-Benzyl-4-benzyloxycarbonyl-1-[(3′S-benzyloxycarbonyl-3′-tert-butoxycarbonylamino)prop-1′-yl]-(3R,S)-methyl-2-oxoazetidine (45). Syrup. Yield: 61% (from 34, B:BTPP). Eluent: EtOAc:Hexane (1:2). HPLC: tR = 17.58 min (gradient of 5% to 100% of A, in 20 min). Diastereoisomers ratio M, m = 58:42.1H NMR (400 MHz, CDCl3): δ 7.37–7.04 (m, 15H, Ar), 5.22 (s, 2H, OCH2), 5.12 (s, 2H, OCH2), 5.03 (d, 1H, J = 6.6 Hz, 3-NH, M), 4.98 (d, 1H, J = 6.6 Hz, 3-NH, m), 4.14 (m, 1H, 3′-H), 3.51 (d, 1H, J = 15.1 Hz, 4-CH2), 3.45 (d, 1H, J = 14.5 Hz, 4-CH2), 3.03 (m, 4H, 4-CH2, 1′-H, 3-H), 2.24 (m, 1H, 2′-H), 1.97 (m, 1H, 2′-H), 1.43 (s, 9H, CH3 tBu), 1.08 (d, 3H, J = 7.6 Hz, 3-CH3, M), 1.07 (d, 3H, J = 7.6 Hz, 3-CH3, m). 13C NMR (75 MHz, CDCl3): 172.0 (COO), 171.2 (COO), 171.1 (COO), 169.7 (CON), 169.6 (CON), 155.5 (OCON), 135.5, 135.0, 134.9, 134.8, 129.8, 129.15, 129.1, 129.00, 128.95, 128.9, 128.8, 128.6, 128.5, 128.4, 128.3, 127.7, 127.6 (Ar), 79.9 (C tBu), 69.0 (C4), 67.7 (C4), 67.2, 67.1 (OCH2), 54.0 (C3), 53.8 (C3), 52.1 (C3′), 40.9 (4-CH2), 40.7 (4-CH2), 40.1 (C1′), 40.0 (C1′), 30.8 (C2′), 30.7 (C2′), 28.4 (CH3 tBu), 10.4 (3-CH3), 10.3 (3-CH3). MS (ES)+: 601.52 [M+H]+. Exact Mass calculated for C35H40N2O7: 600.28355, found: 600.28432.
Synthesis of dipeptide and amide derivatives
A solution of the corresponding 4-carboxy β–lactam derivative (0.33 mmol) and the corresponding amino acid derivative or amine (0.66 or 0.33 mmol) in dry THF (4 mL) was successively treated with PyBOP (0.66 mmol, 0.34g) and TEA (0.18 mL, 1.32 mmol) at room temperature. The stirring was continued until complete disappearance of the starting material (1–2 days). The isomers ratio was determined by HPLC on the crude reaction mixtures. To characterize the obtained peptide or amide derivatives, the solvent was evaporated, and the residue was dissolved in EtOAc and washed with citric acid (10%), NaHCO3 (10%), and brine. The organic layer was dried (Na2SO4) and evaporated, leaving a residue which was purified on a silica gel column or by semipreparative HPLC, as specified in each case (see supporting data).
Biological evaluation
High-throughput screening with calcium microfluorography
For fluorescence assays, cells expressing TRP channels (SH-SY5Y-TRPV1 and HEKCR1-TRPM8) were seeded in 96-well plates (Corning Incorporated, Corning, NY) at a cell density of 40,000 cells 2 days before treatment. The day of treatment the medium was replaced with 100 µL of the dye loading solution Fluo-4 NW supplemented with probenecid 2.5 mM. Then the compounds dissolved in DMSO were added at the desired concentrations and the plate(s) were incubated at 37 °C in a humidified atmosphere of 5% CO2 for 60 minutes.
The fluorescence was measured using instrument settings appropriate for excitation at 485 nm and emission at 535 nm (POLARstar Omega BMG LABtech). A baseline recording of 4 cycles was recorded prior to stimulation with the agonist (10 µM capsaicin for TRPV1 and 100 µM menthol for TRPM8). The corresponding antagonist
(10 µM Ruthenium Red forTRPV1 and 10 µM 68 for TRPM8) was added for the blockade. The changes in fluorescence intensity were recorded during 15 cycles more. DMSO, at the higher concentration used in the experiment, was added to the control wells. The blocking percentage was calculated as follow (Eq. 1):
where Fo is the fluorescence after the addition of menthol in the presence of the compound, Fi is the fluorescence before the addition of menthol in the presence of the compound, FCo is the fluorescence after the addition of menthol in the absence of the compound, FCi is the fluorescence before the addition of menthol in the absence of the compound. To guarantee that our results were useful we only used assays with a Z-factor higher than 0.5.
The statistical Z-factor to determine the quality of the HTS experiment as was calculated using the equation 2:
where: Meanmax is the mean of the maximum fluorescence in the presence of agonist, SDmax is the standard deviation of the maximum fluorescence in the presence of agonists, Meanmin is the mean of the maximum fluorescence in the presence of agonist and antagonist and SDmin is the standard deviation of the maximum fluorescence in the presence of agonist and antagonist.
Patch clamp electrophysiology
Electrophysiological recording was carried out 1–3 d after cells seeded. Membrane currents and voltages were recorded by patch clamp using the whole-cell configuration. For whole-cell recordings of HEK-hTRPV1 and HEK-TRPM8 cells, pipette solution contained (in mM) 140 CsCl, 5 EGTA, and 10 HEPES, adjusted to pH 7.2 with CsOH, and bath solution contained (in mM) 140 NaCl, 5 KCl, 2 CaCl2, 2 MgCl2, 5 EGTA, 10 D-glucose, 10 Mannitol and 10 HEPES, adjusted to pH 7.4 with NaOH. In calcium-free bath solution, CaCl2 was replaced with 5mM EGTA. For potassium and sodium recordings, CsCl was substituted by KCl and the pH was adjusted to pH 7.2 with KOH. Patch pipettes were prepared from thin-walled borosilicate glass capillaries (World Precision Instruments, Sarasota, FL, USA), pulled with a horizontal puller (P-97, Sutter Instruments, Novato, CA, USA) to have a tip resistance of 2–4 MΩ when filled with internal solutions. Data were sampled at 10 kHz (EPC10 amplifier with PatchMaster 2.53 software, HEKA Electronics, Lambrecht, Germany) and low-pass filtered at 3 kHz for analysis (PatchMaster 2.53 and GraphPad Prism 5, Graphpad Software, USA). The series resistance was <10 MΩ and to minimize voltage errors was compensated to 60–80%. All measurements were performed at 24–25°C. The temperature was adjusted with a water-cooled Peltier device placed at the inlet of the chamber and controlled by a feedback device (Automatic Temperature Controller TC-324B, Warner Instruments). Cold-sensitivity was investigated with a temperature decrease to 16–18 °C.
Molecular modeling
The molecular model for TRPM8 was modeled using the structures of the TRPV1 ion channel in the closed state (Protein Data Bank code 3J5P) determined by electron microscopy at 3.4-Å resolution. Figures were drawn with open source Pymol (The PyMOL Molecular Graphics System, Version 1.8 Schrödinger, LLC) at http://www.pymol.org. Sequence alignment between rat TRPV1 and TRPM8 was performed with ClustalO from the European Bioinformatic Institute (EBI, http://www.ebi.ac.uk). After visual inspection, the transmembrane alignments were adjusted manually. The homology modelling was performed with the standard homology modelling protocol implemented in Yasara (version 16.12.29)39, 40. The visualization and edition of the molecules were also done with Yasara (http://www.yasara.org). The computational analysis of selectivity was performed with known structures of TRP channels, having the following PDB codes: TRPV1, 3j5p.pdb; TRPA1, 3j9p.pdb; TRPV2, 5hi9; and TRPV6, 5iwk.pdb. Structural alignments of TRP channels were accomplished with MUSTANG (Konagurthu AS, Whisstock JC, Stuckey PJ and Lesk AM (2006) Proteins, 64,559-574) software implemented in Yasara. The mutagenesis to determine the residues involved in ligand binding were accomplished with Yasara by doing a search through rotamer space to find the best side-chain conformation. See detailed experimental procedures within SI.
Data Availability
All data generated or analyzed during this study are included in this published article (and its Supplementary Information files).
References
Clapham, D. E., Runnels, L. W. & Strubing, C. The TRP ion channel family. Nat Rev Neurosci 2, 387–396 (2001).
McKemy, D. D., Neuhausser, W. M. & Julius, D. Identification of a cold receptor reveals a general role for TRP channels in thermosensation. Nature 416, 52–58 (2002).
Ferrer-Montiel, A. et al. Advances in modulating thermosensory TRP channels. Expert Opin Therap Pat 22, 999–1017 (2012).
Tsavaler, L., Shapero, M. H., Morkowski, S. & Laus, R. Trp-p8, a novel prostate-specific gene, is up-regulated in prostate cancer and other malignancies and shares high homology with transient receptor potential calcium channel proteins. Cancer Res 61, 3760–3769 (2001).
Peier, A. M. et al. TRP Channel that Senses Cold Stimuli and Menthol. Cell 108, 705–715 (2002).
Latorre, R., Brauchi, S., Madrid, R. & Orio, P. A cool channel in cold transduction. Physiology 26, 273–285 (2011).
Viana, F., de la Pena, E. & Belmonte, C. Specificity of cold thermotransduction is determined by differential ionic channel expression. Nat Neurosci 5, 254–260 (2002).
Knowlton, W. M., Daniels, R. L., Palkar, R., McCoy, D. D. & McKemy, D. D. Pharmacological blockade of TRPM8 ion channels alters cold and cold pain responses in mice. PLoS One 6, e25894 (2011).
Bautista, D. M. et al. The menthol receptor TRPM8 is the principal detector of environmental cold. Nature 448, 204–208 (2007).
Lippoldt, E. K., Elmes, R. R., McCoy, D. D., Knowlton, W. M. & McKemy, D. D. Artemin, a glial cell line-derived neurotrophic factor family member, induces TRPM8-dependent cold pain. J Neurosci 33, 12543–12552 (2013).
Basbaum, A. I., Bautista, D. M., Scherrer, G. & Julius, D. Cellular and Molecular Mechanisms of Pain. Cell 139, 267–284 (2009).
Bowsher, D. & Haggett, C. Paradoxical burning sensation produced by cold stimulation in patients with neuropathic pain. Pain 117, 230 (2005).
Lehky, T. J., Leonard, G. D., Wilson, R. H., Grem, J. L. & Floeter, M. K. Oxaliplatin-induced neurotoxicity: acute hyperexcitability and chronic neuropathy. Muscle Nerve 29, 387–392 (2004).
Valero, M., Morenilla-Palao, C., Belmonte, C. & Viana, F. Pharmacological and functional properties of TRPM8 channels in prostate tumor cells. Pflugers Arch 461, 99–114 (2011).
Perez de Vega, M. J., Gomez-Monterrey, I., Ferrer-Montiel, A. & Gonzalez-Muniz, R. Transient Receptor Potential Melastatin 8 Channel (TRPM8) Modulation: Cool Entryway for Treating Pain and Cancer. J Med Chem 59, 10006–10029 (2016).
Watson, H. R., Hems, R., Rowsell, D. G. & Spring, D. J. New compounds with the menthol cooling effect. J Soc Cosmet Chem 29, 185–200 (1978).
Journigan, V. B. & Zaveri, N. T. TRPM8 ion channel ligands for new therapeutic applications and as probes to study menthol pharmacology. Life Sci 92, 425–437 (2013).
Calvo, R. R. et al. Discovery of vinylcycloalkyl-substituted benzimidazole TRPM8 antagonists effective in the treatment of cold allodynia. Bioorg Med Chem Lett 22, 1903–1907 (2012).
Matthews, J. M. et al. The design and synthesis of novel, phosphonate-containing transient receptor potential melastatin 8 (TRPM8) antagonists. Bioorg Med Chem Lett 22, 2922–2926 (2012).
Parks, D. J. et al. Design and optimization of benzimidazole-containing transient receptor potential melastatin 8 (TRPM8) antagonists. J Med Chem 54, 233–247 (2011).
Zhu, B. et al. Arylglycine derivatives as potent transient receptor potential melastatin 8 (TRPM8) antagonists. Bioorg Med Chem Lett 23, 2234–2237 (2013).
Lashinger, E. S. et al. AMTB, a TRPM8 channel blocker: evidence in rats for activity in overactive bladder and painful bladder syndrome. Am J Physiol Renal Physiol 295, F803–810 (2008).
Winchester, W. J. et al. Inhibition of TRPM8 channels reduces pain in the cold pressor test in humans. J Pharmacol Exp Ther 351, 259–269 (2014).
Andrews, M. D. et al. Discovery of a Selective TRPM8 Antagonist with Clinical Efficacy in Cold-Related Pain. ACS Med Chem Lett 6, 419–424 (2015).
Malkia, A. et al. Bidirectional shifts of TRPM8 channel gating by temperature and chemical agents modulate the cold sensitivity of mammalian thermoreceptors. J Physiol 581, 155–174 (2007).
Meseguer, V. et al. Transient receptor potential channels in sensory neurons are targets of the antimycotic agent clotrimazole. J Neurosci 28, 576–586 (2008).
Perez-Faginas, P. et al. New transient receptor potential TRPV1, TRPM8 and TRPA1 channel antagonists from a single linear β,γ-diamino ester scaffold. RSC Adv 6, 6868–6877 (2016).
Patchett, A. A. & Nargund, R. P. Chapter 26. Privileged structures — An update. Ann Rep Med Chem 35, 289–298 (2000).
Gerona-Navarro, G., Bonache, M. A., Herranz, R., Garcia-Lopez, M. T. & Gonzalez-Muniz, R. Entry to New Conformationally Constrained Amino Acids. First Synthesis of 3-Unsubstituted 4-Alkyl-4-carboxy-2-azetidinone Derivatives via an Intramolecular Nα-Cα-Cyclization Strategy. J Org Chem 66, 3538–3547 (2001).
Perez-Faginas, P. et al. Exceptional Stereoselectivity in the Synthesis of 1,3,4-Trisubstituted 4-Carboxy β-Lactam Derivatives from Amino Acids. Org Lett 9, 1593–1596 (2007).
Arya, P., Wei, C.-Q., Barnes, M. L. & Daroszewska, M. A Solid Phase Library Synthesis of Hydroxyindoline-Derived Tricyclic Derivatives by Mitsunobu Approach. J Comb Chem 6, 65–72 (2004).
Gonzalez-Muniz, R. et al. Solid phase synthesis of a fully active analogue of cholecystokinin using the acid-stable Boc-Phe (p-CH2) SO3H as a substitute for Boc-Tyr(SO3H) in CCK8. Int J Pept Protein Res 37, 331–340 (1991).
Fournie-Zaluski, M. C., Lucas-Soroca, E., Devin, J. & Roques, B. P. Proton NMR configurational correlation for retro-inverso dipeptides: application to the determination of the absolute configuration of "enkephalinase" inhibitors. Relationships between stereochemistry and enzyme recognition. J Med Chem 29, 751–757 (1986).
Gerona-Navarro, G., Garcia-Lopez, M. T. & Gonzalez-Muniz, R. General Approach for the Stereocontrolled Construction of the β-Lactam Ring in Amino Acid-Derived 4-Alkyl-4-carboxy-2-azetidinones. J Org Chem 67, 3953–3956 (2002).
Bonache, M. A., Cativiela, C., Garcia-Lopez, M. T. & Gonzalez-Muniz, R. β-Lactams derived from phenylalanine and homologues: effects of the distance between the aromatic rings and the α-stereogenic reactive center on the memory of chirality. Tetrahedron Lett 47, 5883–5887 (2006).
Yudin, Y., Luckas, V., Cao, C. & Rohacs, T. Decrease in phosphatidylinositol 4,5-bisphosphate levels mediates desensitization of the cold sensor TRPM8 channels. J Physiol 589.24, 6007–6027 (2011).
Sarria, I., Ling, J., Zhu, M. X. & Gu, J. G. TRPM8 acute desensitization is mediated by calmodulin and requires PIP(2): distinction from tachyphylaxis. J Neurophysiol 106, 3056–3066 (2011).
Liao, M., Cao, E., Julius, D. & Cheng, Y. Structure of the TRPV1 Ion Channel Determined by Electron Cryo-Microscopy. Nature 504, 107–112 (2013).
Krieger, E., Koraimann, G. & Vriend, G. Increasing the precision of comparative models with YASARA NOVA—a self-parameterizing force field. Proteins 47, 393–402 (2002).
Krieger, E., Darden, T., Nabuurs, S. B., Finkelstein, A. & Vriend, G. Making optimal use of empirical energy functions: force-field parameterization in crystal space. Proteins 57, 678–683 (2004).
Pedretti, A., Marconi, C., Bettinelli, I. & Vistoli, G. Comparative modeling of quaternary structure for the human TRPM8 channel and analysis of its binding features. Biochim Piophys Acta 1788, 973–982 (2009).
Ostacolo, C. et al. Isoxazole derivatives as potent transient receptor potential melastatin type 8 (TRPM8) agonists. Eur J Med Chem 69, 659–669 (2013).
Malkia, A., Pertusa, M., Fernández-Bachiller, G., Ferrer-Montiel, A. & Viana, F. Differential role of the menthol-binding residue Y745 in the antagonism of thermally gated TRPM8 channels. Mol Pain 5, 62 (2009).
Bertamino, A. et al. Tryptamine-based derivatives as transient receptor potential melatatin type 8 (TRPM8) modulators. J Med Chem 59, 2179–2191 (2016).
Bandell, M. et al. High-throughput random mutagenesis screen reveals TRPM8 residues specifically required for activation by menthol. Nat Neurosci 9, 493–500 (2006).
Taberner, F. J., Lopez-Cordoba, A., Fernandez-Ballester, G., Korchev, Y. & Ferrer-Montiel, A. The region adjacent to the C-end of the inner gate in transient receptor potential melastatin 8 (TRPM8) channels plays a central role in allosteric channel activation. J Biol Chem 289, 28579–28594 (2014).
Teng, J., Loukin, S. H., Anishkin, A. & Kung, C. A competing hydrophobic tug on L596 to the membrane core unlatches S4-S5 linker elbow from TRP helix and allows TRPV4 channel to open. Proc Natl Acad Sci USA 113, 11847–11852 (2016).
Jordt, S. E. & Julius, D. Molecular basis for species-specific sensitivity to “hot” chili peppers. Cell 108, 421–430 (2002).
Gavva, N. R. et al. Molecular determinants of vanilloid sensitivity in TRPV1. J Biol Chem 279, 20283–20295 (2004).
Yang, F. et al. Structural mechanism underlying capsaicin binding and activation of the TRPV1 ion channel. Nat Chem Biol 11, 518–524 (2015).
Walpole, C. S. et al. The discovery of capsazepine, the first competitive antagonist of the sensory neuron excitants capsaicin and resiniferatoxin. J Med Chem 37, 1942–1954 (1994).
Acknowledgements
We thank the Ministry of Economy and Competitiveness (BES-2010-037112, BFU 2012-39092-C02, BFU2015-70067-REDC, SAF2015-66275-C2-R), and the Generalitat Valenciana (PROMETEO II/2014/011) for financial support. We express our gratitude to Jessy Medina for technical assistance.
Author information
Authors and Affiliations
Contributions
Idea (R.G.M., A.F.M.); Synthesis of compounds (M.A.B., P.J.L.C., B.B.); Biological assays (R.T.M., A.F.C.); Molecular modelling (R.T.M., G.F.B.); Supervision of experimental work (A.F.C., M.J.P.V., G.F.B., A.F.M., R.G.M.); Coordination (R.G.M.). The manuscript was written through contributions of all authors. All authors have given approval to the final version of the manuscript.
Corresponding author
Ethics declarations
Competing Interests
The authors declare that they have no competing interests.
Additional information
Publisher's note: Springer Nature remains neutral with regard to jurisdictional claims in published maps and institutional affiliations.
Electronic supplementary material
Rights and permissions
Open Access This article is licensed under a Creative Commons Attribution 4.0 International License, which permits use, sharing, adaptation, distribution and reproduction in any medium or format, as long as you give appropriate credit to the original author(s) and the source, provide a link to the Creative Commons license, and indicate if changes were made. The images or other third party material in this article are included in the article’s Creative Commons license, unless indicated otherwise in a credit line to the material. If material is not included in the article’s Creative Commons license and your intended use is not permitted by statutory regulation or exceeds the permitted use, you will need to obtain permission directly from the copyright holder. To view a copy of this license, visit http://creativecommons.org/licenses/by/4.0/.
About this article
Cite this article
de la Torre-Martínez, R., Bonache, M.A., Llabrés-Campaner, P.J. et al. Synthesis, high-throughput screening and pharmacological characterization of β–lactam derivatives as TRPM8 antagonists. Sci Rep 7, 10766 (2017). https://doi.org/10.1038/s41598-017-10913-x
Received:
Accepted:
Published:
DOI: https://doi.org/10.1038/s41598-017-10913-x
This article is cited by
-
Highly functionalized β-lactams and 2-ketopiperazines as TRPM8 antagonists with antiallodynic activity
Scientific Reports (2020)








