Abstract
The toxicity of essential oils that can be used in insect pest management to pollinators needs further studies. Apis mellifera Linnaeus and Trigona hyalinata (Lepeletier) (Hymenoptera: Apidae) foragers were exposed by three pathways to ginger, mint, oregano and thyme essential oils to provide their LC50, LD50 and LC90, LD90. Oregano and thyme were more toxic through contact and topically for A. mellifera while the toxicity of mint and ginger was lower. Trigona hyalinata was more tolerant to the essential oils than A. mellifera. In the walking test, the area was treated (totally or partially) with sub-doses (LC50) obtained via contact. The area fully treated with oregano reduced the distance traveled and the movement speed increased the number of stops by A. mellifera. Similar results were observed for T. hyalinata with oregano and thyme oils. Apis mellifera showed irritability remaining shorter time in the area partially treated with ginger, mint and thyme essential oils while T. hyalinata had similar behavior with ginger and thyme. Essential oils did not repel A. mellifera or T. hyalinata, but those of ginger, mint and thyme reduced the time spent by A. mellifera in areas treated with sublethal doses. Oregano and thyme essential oils reduced the survival, mainly, of A. mellifera, while ginger and mint were selective for both pollinators.
Similar content being viewed by others
Introduction
Bees are essential for plant propagation1, but factors such as pathogens, habitat losses and intensive pesticide use are reducing their populations2. The decline of bee colonies, known as Colony Collapse Disorder (CCD), threatens pollination and the production of honey, propolis, royal jelly, and wax3,4.
Bees are exposed to insecticides during the pollen and nectar harvesting through contact with the treated plant surface and the ingestion of sap from seeds coated with systemic insecticides5,6 abamectin, acetamiprid, cartap-hydrochloride, chlorfenapyr, deltamethrin and thiamethoxam were toxic to Apis mellifera Linnaeus, 1758 (Hymenoptera: Apidae) workers by direct spraying; diet treated and contact with pulverized leaves2. Larvae mortality was high and adult mobility of Melipona quadrifasciata Lepeletier, 1836 (Hymenoptera: Apidae) low with diet treated with imidacloprid7. These insecticides act on arthropods, causing physiological and behavioral effects by directly interfering in the acetylcholine receptors7. In addition, insecticides may affect learning, foraging, growth, besides pupa malformation, adult emergence and reproduction8,9 and caused irritability and repelled bees7. Residues in wax, nectar and pollen reduce the quality and value of these products4.
The vulnerability of A. mellifera to pesticides has been studied2,10 but the effect of these products on native stingless bees such as Trigona hyalinata (Lepeletier) (Hymenoptera: Apidae) is little understood. The development period of stingless bees is generally longer than that of Apis spp., and, therefore, their survival is more under threat, besides being native and important in agrosystems11. Behavioral mechanisms, such as escape after the detection of irritants or repellents, may reduce the contact of insects with toxic substances7,12.
Botanical insecticides, used in pest control13,14,15 have advantages such as efficiency in herbivore control, slow induction of insect resistance due the complexity of compounds, lower toxicity to non-target organisms and lower environmental impact given their faster breakdown and volatilization, minimizing the residual contact with pollinators and biological control agents16,17 compared to synthetic chemicals18. However, plant substances may repel or are toxic to bees and natural enemies19,20,21 and therefore require toxicological evaluation.
The essential oils effects of ginger, mint, oregano and thyme plants and their major compounds control several insect pest14,16,19,22,23. However, their possible effects (i.e., toxicity, behavior) on bees were not investigated.
The objective was to determine the lethality (LC50, LD50 and LC90, LD90) of ginger, mint, oregano and thyme essential oils used for pest management, and the walking patterns of A. mellifera and T. hyalinata pollinators in areas treated totally or partially with the LC50 of these botanical products.
Material and methods
Bee collection and preparation of the essential oil concentrations
Apis mellifera and T. hyalinata forager workers were collected in colonies from the Apiary of the Federal University of Viçosa in Viçosa, Minas Gerais state, Brazil using a large mouth vial at their entrance. The tests were conducted in B.O.D. at 32 ± 1 °C and 28 ± 1 °C for A. mellifera and T. hyalinata, respectively.
Ginger, mint, oregano and thyme essential oils produced by steam distillation of leaves (mint and oregano), leaves-flowers (thyme) and roots (ginger) were acquired from an industrial supplier. Chromatography of the essential oils was provided by the company (Table 1).
Toxicity bioassay
The concentrations of the insecticides, established in preliminary tests, were used to obtain the mortality rate of A. mellifera and T. hyalinata. The concentrations of the ginger, mint, oregano and thyme oils were 0.5 to 25% (v/v), varying with exposure and contact mode. Acetone was used as a solvent, as it did not present toxicity to bees in preliminary tests with water and pure acetone. The bees were placed in a refrigerator for five minutes to facilitate their handling before mounting the experiments.
Exposure by contact (surface treated)
Filter paper pieces (9 cm diameter) were soaked in 500 μL of each oil solution and left to dry in the shade for one hour. Ten bees were placed per plastic pot (250 ml) lined with the treated filter paper. These pots were punctured on the side, to insert a tube containing water and honey (1:1), and the caps perforated and covered by organza for ventilation. A cotton swab, soaked with water, was placed at the bottom of the pots. Bee mortality was evaluated after 24 hours24.
Topical exposure
Bees received, topically, 1 μL of the pre-established concentrations of the oils in the mesonotum between the first and second pairs of legs. Ten bees were placed per plastic pot (250 mL) with the same application conditions via contact. Mortality was assessed after 24 hours25.
Exposure by ingestion
The bees were deprived of food for thirty minutes before offering the essential oils. The essential oils were incorporated into the liquid diet (water: honey) with the Tween® 80 emulsifier, 0.01% (v/v), for solubilization. Ten bees were placed per plastic pot (250 mL) and water provided in all treatments. Mortality was evaluated after 24 hours26.
Walking bioassays with bees
A. mellifera and T. hyalinata in areas totally or partially treated with ginger, mint, oregano and thyme essential oils were evaluated in two bioassays27. These areas were assembled using Petri dishes (9 cm diameter) with the bottom lined with filter paper, the walls coated with Teflon® PTFE (DuPont, Wilmington, USA) and covered with clear plastic film to avoid insect escape. The filter paper was treated with 500 μL of the essential oils in the LC50 obtained in the contact test. The control had only acetone on the paper.
The bioassay, without choice, had two areas, the first fully treated with the essential oil and the other with acetone. The distance traveled, number of stops and walking speed of the bees were evaluated. In the bioassay with choice, one area was half-treated with the essential oil and the other was not. The time spent in each area was evaluated.
In both bioassays, the areas were recorded using a video camera tracking system coupled to a computer (ViewPoint Life Sciences Inc., Montreal, Canada) with a bee released in the center and its movement evaluated for 10 minutes.
Statistical analysis
The toxicity bioassay was developed in a completely randomized experimental design (DIC). The treatments were represented by the concentrations of the oils and the control, with five replications, each plot with 10 bees. The data were corrected by Abbott’s formula28. Concentration-mortality curves were estimated by Probit analysis and lethal concentrations or dose (LC50 or LD50 and LC90 or LD90) and their confidence limits determined. The relative tolerance indices between species (RTI50 = LC50 or LD50 of the product for T. hyalinata/LD50 or LD50 for A. mellifera) was calculated.
The walking test was conducted in DIC with 14 replications, each with a bee. The filter paper and the bees were replaced at each replication. The data was submitted to variance analysis and the means compared by the Tukey test at 5% for the bioassay without choice and the t-test at 5% for the one with choice.
Results
Toxicity bioassay
The toxicity of the ginger, mint, oregano and thyme essential oils varied according to the application mode and rates as well as to bee species. The essential oil toxicity was, in descending order, oregano, thyme, mint and ginger for A. mellifera and T. hyalinata after 24 h (Tables 2 and 3).
Trigona hyalinata was more tolerant (ITR50 > 1.0) to ginger, mint, oregano and thyme than A. mellifera after 24 h by application on contaminated (topical) and topical surfaces (Table 4).
There was a more homogeneous response by A. mellifera and T. hyalinata bees to dosage variability of the ginger, mint, oregano and thyme oils by contact as shown by the greater slope (slope) of the concentration-mortality curve (Tables 2 and 3).
The oregano oil was most toxic, mainly to A. mellifera. This product was more toxic than ginger at 23.17x by contact and 8.86x by topically for A. mellifera. Oregano was more toxic to T. hyalinata than ginger at 3.39 x per contact and 7.14x per topically (Tables 2 and 3).
Thyme oil toxicity was intermediate while those of ginger, mint and oregano, with 8.43x per contact and 5.45x by topically was more toxic than ginger for A. mellifera. Thyme was more toxic to T. hyalinata than ginger at 2.92x(contact) and 5.00 x(topical) (Tables 2 and 3).
Mint and ginger oils were the most selective for A. mellifera and T. hyalinata with higher values in lethal concentrations or dose.
The high mortality of A. mellifera and T. hyalinata, by ingestion with all oil concentrations, prevented the concentration-mortality curve calculation for these bees. The death cause may have been due to food starvation when the bees did not feed on the diet or by toxicity.
Bee walking bioassays
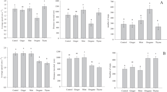
The distance traveled (F1.69 = 2.12, p < 0.05) and the walking speed (F1.69 = 2.72, p < 0.05) were lower and the number of stops higher F1.69 = 2.13, p < 0.05) for A. mellifera adults in areas treated with oregano essential oil. The values of these parameters were similar for the ginger, mint and thyme oils (Fig. 1). The walking speed (F1.69 = 3.62, p < 0.05) and the distance traveled (F1.69 = 3.02, p < 0.05) were lower and the number of stops higher (F1.69 = 1.87, p < 0.05) for T. hyalinata in areas treated with oregano and thyme oils than in the control (Fig. 1). Characteristic patterns of A. mellifera and T. hyalinata walking in fully treated areas showed lower agitation of these insects in treatments with oregano (Fig. 1).
Routes and walking speeds of cumulative activities, distance traveled and number of stops by Apis mellifera (A) and Trigona hyalinata (B) (Hymenoptera: Apidae) of adults workers in contact with a surface treated in no-choice bioassays exposed with sublethal doses of four essential oils insecticides. Means followed by the same letter do not differ by the Tukey test (p < 0.05).
Ginger (t1.28 = 4.89), mint (t1.28 = 2.17) and thyme (t1.28 = 2.82) essential oils reduced the time spent by A. mellifera on the treated half of the plate (Fig. 2). The time spent by T. hyalinata was lower in areas treated with ginger (t1.28 = 2.84) and thyme (t1.28 = 2.09) (Fig. 2). Characteristic patterns of A. mellifera and T. hyalinata walking in the partially treated areas showed that these bees did not avoid those contaminated by the oils (Fig. 2).
Time proportion (mean ± standard error) for Apis mellifera (A) and Trigona hyalinata (B) (Hymenoptera: Apidae) adults in half-treated or untreated area with each essential oil. *Asterisk indicates that the time proportion for the insect staying in this half of the area was greater than in the other according to the t test at P < 0.05.
Discussion
Toxicity to A. mellifera and T. hyalinata
Chemical and biological control of pests require selective products for integrated pest management programs and insecticides should not impact pollinator insects, which are indispensable for the propagation of many cultivated and native plants2,10,11. The botanical product toxicity to insects such as natural enemies and pollinators should be evaluated due to the demand for organic food29,30. Insecticide stress in arthropods is not restricted to lethal effects, and sublethal ones are as important because the insects remain exposed to sublethal concentrations.
Differences in the toxicity between ginger, mint, oregano and thyme essential oils may be related to their penetration rates in A. mellifera and T. hyalinata as found for the lower Trigona spinipes Fabricius, 1793 (Hymenoptera: Apidae) survival at the concentrations of 3% to 7% of Azadirachta indica (Meliaceae)29. The penetration of these substances into the cuticle of the insects is proportional to their lipophilicity, with greater ease for lipophilic compounds similar to those of the cuticle31,32. Additionally, concentrations and activity of allelochemicals in botanical products, such as terpenes and insect and pathogen protective substances determine the toxicity of these products22,23.
Differences in the susceptibility between A. mellifera and T. hyalinata to ginger, mint, oregano and thyme essential oils differ from reports that the larger the bee, the lower the pesticide impact24,33. The vulnerability to insecticides depends on factors such as morphological changes (fat deposit levels), physiological (hemolymph pH) and presence of detoxifying enzymes (number of detoxifying genes in cytochrome P450)34,35. The penetration of substances and their translocation to the action target are also related to characteristics such as thickness, nature and lipophilic specific surface of insect cuticle31,32.
The lower slope (slope) of the concentration-mortality curve, for topical application than for contact, suggests differences in the susceptibility of A. mellifera and T. hyalinata adults according to the application mode. The curve decline may indicate the insecticide potency and the degree of genetic homogeneity involved in the tolerance, for example, due to the genes for enzyme detoxification36. The slope values of the curves are higher for insect populations with homogeneous responses, indicating that small variations in the dose of the product cause significant changes in mortality and increase the probability of selecting resistant individuals37. Insecticides with this response should be avoided at foraging times to reduce harmful effects on pollinators in the field.
The higher toxicity of oregano oil to A. mellifera by contact and topical application suggests caution in its use and the adoption of principles of ecological selectivity, applying them during low foraging and out-of-flowering times to minimize the impact on bees38. The major compound of botanical insecticides is generally responsible for its toxic action, isolated or synergistically with the others22. The higher toxicity of oregano oil can be attributed to its phenol compound (carvacrol), more toxic than ginger hydrocarbons (zingiberene) and alcohol in menthol22. The mode of action of terpenoids, also present in essential oils, in insects, differs. Monoterpenoid phenols usually have high insecticidal potential, and insect mortalit primarily through neurotoxic effects39,40. Carvacrol and thymol may inhibite the enzyme acetylcholinesterase, consequently leading to overstimulation of neurons in insects39,40. Oregano oil was the more toxic to A. mellifera, but with CLs higher for these pollinators than reported for the pests Anticarsia gemmatalis (Lepidoptera: Noctuidae) (LC25 = 0.13%)14, Euproctis chrysorrhoea (Lepidoptera: Lymantriidae) (LC50 = 0.05%)22, Thaumetopoea wilkinsoni Tams. (Lepidoptera: Thaumatopoeidae) (CL50 = 0.31%)41 and the citrus mealybug [Planococcus citri (Risso) (Hemiptera:Pseudococcidae)] (LC25 = 0.06%)42. Oregano oil is promising for integrated pest management with Trichogramma pretiosum (Riley) (Hymenoptera: Trichogrammatidae) an important biological control agent of agricultural and forest pests43. The oregano oils showed toxicity to the natural enemy Chrysoperla externa (Neuroptera: Chrysopidae) (LD50 < 0.2%), but it was relatively safe compared to natural pyrethrins, making it a potential candidate for selective and efficient botanical insecticide44. This information should be considered for the use of these oils. The intermediate impact of oregano oil on A. mellifera and T. hyalinata and their potential for pest control indicate the importance of application at the recommended doses and at times of lower pollinator activity.
The toxicity of thyme compared to the other oils, especially for A. mellifera, corroborates reports of a reduction in movement and wax production by this bee exposed to this product19. Concern regarding this extract is due to the thymol compound and used to control the ectoparasite mite Varroa destructor Anderson and Trueman (Acari: Varroidae) in A. mellifera19,45. This oil is used to control this mite, but it should be applied at suitable times (large infestations) and with the doses recommended to avoid or reduce the impact on the hive. The toxic concentration of this product to T. hyalinata and A. mellifera was higher than that recommended for the control of the pests A. gemmatalis (LC25 = 0,41%)14, Choristoneura rosaceana (Lepidoptera: Tortricidae) (LC50 = 0,56%), Trichoplusia ni (Lepidoptera: Noctuidae) (LC50 = 1,1%)23 and the citrus mealybug, P. citri (LC25 = 0.06%)42. The botanicals insecticides should be less toxic than synthetic insecticides, such as the thymol being 50 times less toxic to bees than the dimethoate10. The T. vulgaris oil also is promising for integrated pest management with T. pretiosum43. The natural insecticide azadirachtin was less toxic than the imidacloprid to Partamona helleri Friese, 1900 and Scaptotrigona xanthotricha Moure 1950 (Hymenoptera: Apidae) at field doses46.
The low toxicity of mint and ginger essential oils to A. mellifera and T. hyalinata adults may be due to the absence of susceptibility of these insects and/or the lower penetration rate of their metabolites in the bee cuticle32,47. These products can be used in pest control during flowering when the bees forage in the plants. In addition, the residual half-life of botanical insecticides is generally shorter in the field, reducing the exposure time of non-target organisms. The botanical substance toxicity to bees was in decreasing order of oxalic acid> oregano; thymol> menthol is similar to control30. The product Apilife Var®, used to control V. destructor, presents menthol in its composition, but this substance was not detected in the brain or body of bees or in the wax produced19. The low mint oil toxicity was also reported for Apis sp. larvae, LC50 = 382.8 μg/larva, while that of thyme and oregano was toxic to this insect with LC50 = 150.7 and 236.4 μg/larva, respectively25. Mint oil was effective in controlling Anarta trifolii (Hufnagel) (Lepidoptera: Noctuidae)48 and Tetranychus cinnabarinus (Boisduval) (Acarina: Tetranychidae)49 with lower LC50 (<0.2%) than those found for A. mellifera and T. hyalinata. Mentha piperita oil prevented the emergence of Callosobruchus chinensis (L.) (Coleoptera: Bruchidae) and Musca domestica (L.) (Diptera: Muscidae)50 and reduced the emergence of Acanthoscelides obtectus (Say) (Coleoptera: Bruchidae) by 32%51. Thus, mint oil can be a reasonable alternative to chemical pesticides to control these pests due to its efficiency and low pollinator toxicity. However, measures to avoid toxicity and contact with non-target organisms should be prioritized.
Changes in the color, taste and odor of the diet treated with the ginger, mint, oregano and thyme oils may have chased away and prevented the bees from feeding. Neem oil was toxic through contact to A. mellifera but had no effect on ingestion due to the anti-nutritive property of its active ingredient azadirachtin52. Formulations of insect repellent compounds for bees may be useful to prevent their contact with areas recently treated with toxic insecticides.
Bee walking bioassays
Monoterpenoids can affect learning, memory and gene expression in the brain of the A. mellifera53. This indicates the importance of risk assessment for botanical products on the behavior of pollinators due to bees potentially showing variability in their sensitivity.
Total treated area
The shorter distance traveled and the slower speed of A. mellifera adults in contact with oregano essential oils and T. hyalinata in contact with oregano and thyme oils shows a tendency of this bee to slow walking or stop35. Insect walking behavior is affected by the insecticides tested and the overall reduced activity observed with exposure may be an adaptive response leading to reduced exposure to toxic residues54. This may allow the insect to avoid or reduce contact with the insecticide and the amount of pesticide accumulated in the tarsus54. The high toxicity and residual effect of insecticides can reduce insect movement55.
Partially treated area
The shorter time spent by A. mellifera in areas treated with ginger, mint and thyme and by T. hyalinata in those with ginger and thyme suggests a reduction in these parameters due to behavioral changes and irritability for these pollinators12,35. The irritable behavior from insecticides may be associated with a neurotoxic response after exposure to the causative agent56. This characteristic and lower toxicity may reduce the ginger and mint oil impact on bees in the field. However, insects may be encouraged to change behavior and leave the environment after contact with the treated surface57. The repellent effect of the oils, when the bee avoided treated areas, was not observed with oregano oil, although it is toxic for both species tested. This may be related to rapid oil intoxication, altering pollinator behavior that stopped more often and with a similar period in the two halves of the treated area. Insecticides with repellent effects decrease the number of bees foraging on flowers, which might lead not only to inadequate nectar and pollen gathering but also to deficient crop pollination.
Essential oils from plants with insecticidal activity and safety from natural enemies can play important roles in IPM programs. The organic food production is the main market niche of plant essential oils57,58, and they are an economically viable alternative for small farmers to control pests59. The compounds evaluated in our study can be considered through their direct use or by serving as precursors for the synthesis of new selective insecticide active ingredients. Important synthetic insecticides from different chemical groups used in agriculture were originated from plant metabolites, but these compounds should not be exempt from a risk assessment, including the evaluation of possible lethal and sublethal effects on non-target organisms. In addition, possible phytotoxic effects on crops of interest should be evaluated. Essential oils, especially ginger, mint and thyme, have potential as insecticide for insect pest management, as these substances are toxic to pests and have low toxicity to A. mellifera and T. hyalinata.
Conclusions
Mint and ginger oils were the most selective for A. mellifera and T. hyalinata and, therefore, can be used for pest management.
Oregano and thyme oils were mainly toxic to A. mellifera and should be used with caution in pest control. Trigona hyalinata was more tolerant to ginger, mint, oregano and thyme oils than A. mellifera.
Contact in areas treated with sublethal doses of oregano and thyme oils reduced the distance traveled and the movement speed and increased the number of stops by T. hyalinata. Oregano was the only oil that had this effect on A. mellifera.
Essential oils did not repel A. mellifera or T. hyalinata, but those of ginger, mint and thyme reduced the time spent by A. mellifera in areas treated with sublethal doses. This time reduction was observed with ginger and thyme for T. hyalinata.
References
Silva, C. A. & Milene, F. V. Flowering and pollinators of three distylous species of Psychotria (Rubiaceae) co-occurring in the Brazilian Atlantic Forest. Rev. Árvore 39, 779–789, https://doi.org/10.1590/0100-67622015000500001 (2015).
Costa, E. M. et al. Toxicity of insecticides used in the Brazilian melon crop to the honey bee Apis mellifera under laboratory conditions. Apidologie 45, 34–44, https://doi.org/10.1007/s13592-013-0226-5 (2014).
Barth, O. M. Melissopalynology in Brazil: A review of pollen analysis of honeys, propolis and pollen loads of bees. Sci. Agric. 61, 342–350, https://doi.org/10.1590/S0103-90162004000300018 (2004).
Dively, G. P. & Kamel, A. Insecticide residues in pollen and nectar of a cucurbit crop and their potential exposure to pollinators. J. Agric. Food Chem. 40, 4449–4456, https://doi.org/10.1021/jf205393x (2012).
Chauzat, M. P. et al. A survey of pesticide residues in pollen loads collected by honey bees in France. J. Econ. Entomol. 99, 253–262, https://doi.org/10.1603/0022-0493-99.2.253 (2006).
Girolami, V. et al. Translocation of neonicotinoid insecticides from coated seeds to seedling guttation drops: a novel way of intoxication for bees. J. Econ. Entomol. 102, 1808–1815, https://doi.org/10.1603/029.102.0511 (2009).
Tomé, H. V. V., Martins, G. F., Lima, M. A. P., Campos, L. A. O. & Guedes, R. N. C. Imidacloprid-Induced impairment of mushroom bodies and behavior of the native stingless bee Melipona quadrifasciata anthidioides. PLoS ONE 7(6), e38406, https://doi.org/10.1371/journal.pone.0038406 (2012).
Koskor, E. et al. The chronic effect of the botanical insecticide Neem EC on the pollen forage of the bumble bee Bombus terrestris L. Agron. Res. 7, 341–346 (2009).
Belzunces, L. P., Tchamitchian, S. & Brunet, J. L. Neural effects of insecticides in the honey bee. Apidologie 43, 348–370, https://doi.org/10.1007/s13592-012-0134-0 (2012).
Albo, G. N. et al. Evaluation of some essential oils for the control and prevention of American foulbrood disease in honey bees. Apidologie 34, 417–427, https://doi.org/10.1051/apido:2003040 (2003).
Slaa, E. J. Population dynamics of a stingless bee community in the seasonal dry lowlands of Costa Rica. Insectes Soc. 53, 70–79, https://doi.org/10.1007/s00040-005-0837-6 (2006).
Castro, A. A. et al. Survival and behavior of the insecticide-exposed predators Podisus nigrispinus and Supputius cincticeps (Heteroptera: Pentatomidae). Chemosphere 93, 1043–1050, https://doi.org/10.1016/j.chemosphere.2013.05.075 (2013).
Martinez, L. C., Plata-Rueda, A., Zanuncio, J. C. & Serrão, J. E. Bioactivity of six plant extracts on adults of the beetle Demotispa neivai. Insect Sci. 15, 170, https://doi.org/10.1093/jisesa/iev021 (2015).
Ribeiro, R. C. et al. Feeding and oviposition of Anticarsia gemmatalis (Lepidoptera: Noctuidae) with sublethal concentrations of ten condiments essential oils. Ind. Crop. Prod. 74, 139–143, https://doi.org/10.1016/j.indcrop.2015.03.057 (2015).
Plata-Rueda, A. et al. Insecticidal activity of garlic essential oil and their constituents against the mealworm beetle, Tenebrio molitor Linnaeus (Coleoptera: Tenebrionidae). Sci. Rep. 7, 46406, https://doi.org/10.1038/srep46406 (2017).
Isman, M. B. Plant essential oils for pest and disease management. Crop. Prot. 9, 603–608, https://doi.org/10.1016/S0261-2194(00)00079-X (2000).
Legaspi, J. C., Miller, N., Wolaver, D., Haseeb, M. & Zanuncio, J. C. Repellency of mustard (Brassica juncea) and arugula (Eruca sativa) plants, and plant oils against the sweetpotato whitefly, Bemisia tabaci (Hemiptera: Aleyrodidae). Subtropical Agriculture Environ. 67, 28 (2016).
Fernandes, M. E. S. et al. Lethal and sublethal effects of seven insecticides on three beneficial insects in laboratory assays and field trials. Chemosphere 156, 45–55, https://doi.org/10.1016/j.chemosphere.2016.04.115 (2016).
Carayon, J. L. et al. Thymol as an alternative to pesticides: persistence and effects of Apilife Var on the phototactic behavior of the honeybee Apis mellifera. Env. Sci. Pollut. Res. Int. 21, 4934–4939, https://doi.org/10.1007/s11356-013-2143-6 (2014).
Poderoso, J. C. M., Correia-Oliveira, M. E., Chagas, T. X., Zanuncio, J. C. & Ribeiro, G. T. Effects of plant extracts on developmental stages of the predator Podisus nigrispinus (Hemiptera: Pentatomidae). Fla. Entomol. 99, 113–116, https://doi.org/10.1653/024.099.0121 (2016).
Zanuncio, J. C. et al. Toxic effects of the neem oil (Azadirachta indica) formulation on the stink bug predator, Podisus nigrispinus (Heteroptera: Pentatomidae). Sci. Rep. 6, 30261, https://doi.org/10.1038/srep30261 (2016).
Erler, F. & Cetin, H. Components from the essential oils from two Origanum species as larvicides against Euproctis chrysorrhoea (Lepidoptera: Lymantriidae). J. Agric. Urban. Entomol. 26, 31–40, https://doi.org/10.3954/1523-5475-26.1.31 (2009).
Machial, C. M., Shikano, I., Smirle, M., Bradbury, R. & Isman, M. B. Evaluation of the toxicity of 17 essential oils against Choristoneura rosaceana (Lepidoptera: Tortricidae) and Trichoplusia ni (Lepidoptera: Noctuidae). Pest. Manag. Sci. 66, 1116–1121, https://doi.org/10.1002/ps.1988 (2009).
Moraes, S. S., Bautista, A. R. L. E. & Viana, B. F. Avaliação da toxicidade aguda (DL50 e CL50) de inseticidas para Scaptotrigona tubiba (Smith) Hymenoptera: (Apidae): via de contato. An. Soc. Entomol. Bras. 29, 31–37, https://doi.org/10.1590/S0301-80592000000100004 (2000).
Gashout, H. A. & Guzmán-Novoa, E. Acute toxicity of essential oils and other natural compounds to the parasitic mite, Varroa destructor, and to larval and adult worker honey bees (Apis mellifera L.). J. Apic. Res. 48, 263–269, https://doi.org/10.1016/j.chemosphere.2016.04.115 (2009).
Tomé, H. V. V., Barbosa, W. F., Martins, G. F. & Guedes, R. N. C. Spinosad in the native stingless bee Melipona quadrifasciata: Regrettable non-target toxicity of a bioinsecticide. Chemosphere 124, 103–109, https://doi.org/10.1016/j.chemosphere.2014.11.038 (2015a).
Guedes, N. M. P., Guedes, R. N. C., Ferreira, G. H. & Silva, L. B. Flight take-off and walking behavior of insecticide-susceptible and resistant strains of Sitophilus zeamais exposed to deltamethrin. Bull. Entomol. Res. 99, 393–400, https://doi.org/10.1017/S0007485309006610 (2009).
Abbott, W. S. A method of computing the effectiveness of an insecticide. J. Econ. Entomol. 18, 265–267 (1925).
Correia-Oliveira, M. E., Poderoso, J. C. M., Ferreira, A. F., de Olinda, R. A. & Ribeiro, G. T. Impact of aqueous plant extracts on Trigona spinipes (Hymenoptera: Apidae). Sociobiology 59, 849–858, http://www.producao.usp.br/handle/BDPI/37112 (2012).
Ebert, T. A., Kevan, P. G., Bishop, B. L., Kevan, S. D. & Downer, R. A. Oral toxicity of essential oils and organic acids fed to honey bees (Apis mellifera). J. Apic. Res. 46 (220–224), 11101398, https://doi.org/10.1080/00218839.2007.11101398 (2007).
Hornsby, A. G., Wauchope, R. & Herner, A. E. Pesticide properties in the environment. New York; Springer, 227 p. (1996).
Leite, G. L. D., Picanço, M., Guedes, R. N. C. & Gusmão, M. R. Selectivity of insecticides with and without mineral oil to Brachygastra lecheguana (Hymenoptera: Vespidae): a predator of Tuta absoluta (Lepidoptera: Gelechiidae). Ceiba 39, 3–6 (1998).
Valdovinos-Núñes, G. R. et al. Comparative toxicity of pesticides to stingless bees (Hymenoptera: Apidae: Meliponini). J. Econ. Entomol. 102, 1737–1742 (2009).
Claudianos, C. et al. A deficit of detoxification enzymes: pesticide sensitivity and environmental response in the honeybee. Insect Mol. Biol. 15, 615–636, https://doi.org/10.1111/j.1365-2583.2006.00672.x (2006).
Desneux, N. D., Decourtye, A. & Delpuech, J. M. The sublethal effects of pesticides on benefical arthropods. Annu. Rev. Entomol. 52, 81–106, https://doi.org/10.1146/annurev.ento.52.110405.091440 (2007).
Rinkevich, F. D. et al. Genetics, synergists, and age affect insecticide sensitivity of the honey bee, Apis mellifera. PLoS ONE 10, e0139841, https://doi.org/10.1371/journal.pone.0139841 (2015).
Kerns, D. L. & Gaylor, M. J. Insecticide resistance in field populations of the cotton aphid (Homoptera: Aphididae). J. Econ. Entomol. 85, 1–8, https://doi.org/10.1093/jee/85.1.1 (1992).
Joshi, N. C. & Joshi, P. C. Foraging behaviour of Apis spp. on apple flowers in a subtropical environment. N. Y. Sci. J. 3, 71–76 (2010).
Jukic, M., Politeo, O., Maksimovic, M., Milos, M. & Milos, M. In vitro acetylcholinesterase inhibitory properties of thymol, carvacrol and their derivatives thymoquinone and thymohydroquinone. Phytother. Res. 21, 259–261, https://doi.org/10.1002/ptr.2063 (2007).
Anderson, J. A. & Coats, J. R. Acetylcholinesterase inhibition by nootkatone and carvacrol in arthropods. Pestic. Biochem. Physiol. 102, 124–128, https://doi.org/10.1016/j.pestbp.2011.12.002 (2012).
Cetin, H., Erler, F. & Yanikoglu, A. A. Comparative evaluation of Origanum onites essential oil and its four major components as larvicides against the pine processionary moth, Thaumetopoea wilkinsoni Tams. Pest. Manag. Sci. 63, 830–833, https://doi.org/10.1002/ps.1401 (2007).
Erdemir, T. & Erler, F. Repellent, oviposition-deterrent and egg-hatching inhibitory effects of some plant essential oils against citrus mealybug, Planococcus citri Risso (Hemiptera: Pseudococcidae). J. Plant. Dis. Prot. 124, 473–479, https://doi.org/10.1007/s41348-017-0112-x (2017).
Parreira, D. S. et al. Bioactivity of ten essential oils on the biological parameters of Trichogramma pretiosum (Hymenoptera: Trichogrammatidae) adults. Ind. Crop. Prod. 127 (11–15), https://doi.org/10.1016/j.indcrop.2018 (2019).
Castilhos, R. V., Grützmacher, A. D. & Coats, J. R. Acute toxicity and sublethal effects of terpenoids and essential oils on the predator Chrysoperla externa (Neuroptera: Chrysopidae). Neotrop. Entomol. 47, 311–317, https://doi.org/10.1007/s13744-017-0547-6 (2018).
Charpentier, G., Vidau, C., Ferdy, J. B., Tabart, J. & Vetillard, A. Lethal and sub-lethal effects of thymol on honeybee (Apis mellifera) larvae reared in vitro. Pest. Manag. Sci. 70, 140–147, https://doi.org/10.1002/ps.3539 (2014).
Tomé, H. V. V. et al. Reduced-risk insecticides in Neotropical stingless bee species: impact on survival and activity. Ann Appl Biol 167, 186–196, https://doi.org/10.1111/aab.12217 (2015).
Yu, S. J. Biochemical defense capacity in the spined soldier bug (Podisus maculiventris) and its lepidopterous prey. Pestic. Biochem. Physiol. 28, 216–223, https://doi.org/10.1016/0048-3575(87)90020-4 (1987).
Darabi, K. & Khajehali, J. Bioactivity of essential oils of Mentha species and Cuminum cyminum L. on Anarta trifolii (Hufnagel) (Lepidoptera: Noctuidae). J. Essent. Oil Bear. Pl. 20, 1097–1106, https://doi.org/10.1080/0972060X.2017.1358674 (2017).
Ren, J. J., Shi, G. L., Ma, L. Q., Liu, Y. B. & Wang, Y. N. Effects of Mentha piperita extracts on activities of several enzymes of Tetranychus cinnabarinus. In Information technology and agricultural engineering (pp. 577–588). Springer, Berlin, Heidelberg (2012).
Kumar, P., Mishra, S., Malik, A. & Satya, S. Repellent, larvicidal and pupicidal properties of essential oils and their formulations against the housefly, Musca domestica. Med. Vet. Entomol. 25, 302–310, https://doi.org/10.1111/j.1365-2915.2011.00945.x (2011).
Regnault-Roger, C. et al. Polyphenolic compounds of Mediterranean Lamiaceae and investigation of orientational effects on Acanthoscelides obtectus (Say). J. Stored Prod. Res. 40, 395–408, https://doi.org/10.1016/S0022-474X(03)00031-6 (2004).
Ladurner, E., Bosch, J., Kemp, W. P. & Maini, S. Assessing delayed and acute toxicity of five formulated fungicides to Osmia lignaria Say and Apis mellifera. Apidologie 36, 449–460, https://doi.org/10.1051/apido:2005032 (2005).
Bonnafé, E. et al. Monoterpenoid-based preparations in beehives affect learning, memory and gene expression in the bee brain. Env. Toxicol. Chem. 36, 337–345, https://doi.org/10.1007/s13592-012-0134-0 (2016).
Zhai, J. & Robinson, W. H. Measuring cypermethrin resistance in the German cockroach (Orthoptera: Blattellidae). J. Econ. Entomol. 85, 348–351, https://doi.org/10.1093/jee/85.2.348 (1992).
Tillman, P. G. & Mulrooney, J. E. Effect of selected insecticides on the natural enemies Coleomegilla maculata and Hippodamia convergens (Coleoptera: Coccinellidae), Geocoris punctipes (Hemiptera: Lygaeidae), and Bracon mellitor, Cardiochiles nigriceps, and Cotesia marginiventris (Hymenoptera: Braconidae) in cotton. J. Econ. Entomol. 93, 1638–1643, https://doi.org/10.1603/0022-0493-93.6.1638 (2000).
Haynes, K. Sublethal effects of neurotoxic insecticides on insect behavior. Annu. Rev. Entomol. 33, 149–168, https://doi.org/10.1146/annurev.en.33.010188.001053 (1988).
Watson, E. & Barson, G. A Laboratory assessment of the behavioural responses of three strains of Oryzaephilus surinamensis (L.) (Coleoptera: Silvanidae) to three insecticides and the insect repellent N, N-diethyl-m-toluamide. J. Stored Prod. Res. 32, 59–67, https://doi.org/10.1016/0022-474X(95)00033-4 (1996).
Isman, M. B., Miresmaillim, S. & Machial, C. Commercial opportunities for pesticides based on plant essential oils in agriculture, industry and consumer products. Phytochem. Rev. 10, 197–204, https://doi.org/10.1007/s11101-010-9170-4 (2011).
Mkenda, P. et al. Extracts from field margin weeds provide economically viable and environmentally benign pest control compared to synthetic pesticides. PLoS ONE 10, e0143530, https://doi.org/10.1371/journal.pone.0143530 (2015).
Acknowledgements
We acknowledge the “Conselho Nacional de Desenvolvimento Científico e Tecnológico (CNPq)”, “Coordenação de Aperfeiçoamento de Pessoal de Nível Superior (CAPES)”, “Fundação de Amparo à Pesquisa do Estado de Minas Gerais (FAPEMIG)” and “Programa de Proteção Florestal (PROTEF) do Instituto de Pesquisas e Estudos Florestais (IPEF)” for finantial support. Dr. Phillip John Villani (The University of Melbourne, Australia) revised and corrected the English language used in this manuscript.
Author information
Authors and Affiliations
Contributions
I.M.S., J.C.Z., B.P.B., M.A.S., A.J.V.Z., C.F.W., W.S.T., J.E.S., C.S.S. contributed to performed experiments, analyzed the data and wrote the manuscript.
Corresponding author
Ethics declarations
Competing interests
The authors declare no competing interests.
Additional information
Publisher’s note Springer Nature remains neutral with regard to jurisdictional claims in published maps and institutional affiliations.
Rights and permissions
Open Access This article is licensed under a Creative Commons Attribution 4.0 International License, which permits use, sharing, adaptation, distribution and reproduction in any medium or format, as long as you give appropriate credit to the original author(s) and the source, provide a link to the Creative Commons license, and indicate if changes were made. The images or other third party material in this article are included in the article’s Creative Commons license, unless indicated otherwise in a credit line to the material. If material is not included in the article’s Creative Commons license and your intended use is not permitted by statutory regulation or exceeds the permitted use, you will need to obtain permission directly from the copyright holder. To view a copy of this license, visit http://creativecommons.org/licenses/by/4.0/.
About this article
Cite this article
da Silva, I.M., Zanuncio, J.C., Brügger, B.P. et al. Selectivity of the botanical compounds to the pollinators Apis mellifera and Trigona hyalinata (Hymenoptera: Apidae). Sci Rep 10, 4820 (2020). https://doi.org/10.1038/s41598-020-61469-2
Received:
Accepted:
Published:
Version of record:
DOI: https://doi.org/10.1038/s41598-020-61469-2
This article is cited by
-
Antioxidant activity analysis of new interspecific hybrid germplasm thyme and oregano essential oils with different chemotypes
BMC Plant Biology (2025)
-
High-energy emulsification of Allium sativum essential oil boosts insecticidal activity against Planococcus citri with no risk to honeybees
Journal of Pest Science (2025)
-
The citronella and savory essential oils effect on honeybees (Apis mellifera L.) mortality
International Journal of Tropical Insect Science (2025)
-
Local Agroecological Practices and Chemical Inputs used in Mint Farming Systems, Regions of Fez-Meknes and Casablanca-Settat, Morocco
Agricultural Research (2024)
-
Residual effect of imidacloprid and beta-cyfluthrin on Africanized Apis mellifera L. (Hymenoptera: Apidae) workers
Apidologie (2023)




