Abstract
The aim of this study was to directly compare the prognostic value of cumulative scores and composite ratios in patients with operable rectal cancer. Within a single surgical unit preoperative differential blood cell results including neutrophil (N), lymphocyte (L), monocyte (M) and platelet (P) counts, as well as CRP (C) and albumin (A) levels were recorded. These results were used to construct a series of composite ratios (NLR, PLR, LMR, CAR) and cumulative scores (NLS, PLS, LMS, NPS, mGPS). The relationship between composite ratios and the cumulative scores and clinicopathological characteristics, cancer specific survival (CSS) and overall survival (OS) were examined. A total of 413 patients were included. When adjusted for TNM stage, surgical approach, time of surgery and margin involvement mGPS (p < 0.05) was associated with CSS. In addition, most composite ratios/scores showed correlations with neoadjuvant therapy (p < 0.001). When a direct comparison between NPS (myeloid) and mGPS (liver) was carried out they showed similar associations with both CSS and OS. Therefore, both composite ratios and cumulative scores have been shown to be prognostic in patients with operable rectal cancer.
Similar content being viewed by others
Introduction
Annually there are 1.36 million new cases of colorectal cancer (CRC) worldwide1. In the UK specifically, colorectal cancer is the fourth most prevalent cancer and the second most common cause of cancer death2. Rectal cancers specifically account for 32% of male CRCs and 23% of female CRCs, making rectal cancer the most common GI cancer location below the ileo-caecal valve2. Overall death rates from colorectal cancer have fallen over the last decade, however it is still the case that approximately 40% of patients diagnosed colorectal cancer will die of their disease1.
Recently there has been an increase in the use of neoadjuvant chemoradiotherapy (CRT), particularly in patients with locally advanced or margin threatening rectal cancer3. This multi-modal approach, recommended by 2019 NICE guidelines has led to more patients being treated non-operatively with close follow up after complete pathological responses (cPR) to CRT3. Surgical resection still remains the primary curative treatment in the majority of cases however the treatment pathway has become more diverse. As a result, there is ongoing interest in the identification of patients at a higher risk of developing advanced disease who may benefit from surgical resection despite excellent responses to neoadjuvant therapy.
An increase in the systemic inflammatory response can identify patients at an increased risk of disease progression4,5. Indeed in two recent systematic reviews and meta-analyses Dolan and co-workers have shown that assessment of the systemic inflammation has prognostic value in gastrointestinal cancers4,5. Indeed, in both these reviews composite ratios and cumulative scores were the most widely validated means of assessing the systemic inflammatory response4,5. These scores and ratios were constructed from components of the differential white blood cell counts assessing the systemic inflammatory response in lymphoid tissue, and acute phase proteins assessing the inflammatory response in the liver6.
In a recent study in 801 patients undergoing surgery for colon cancer Dolan and co-workers directly compared cumulative ratios and composite scores including neutrophil/lymphocyte ratio (NLR) and neutrophil lymphocyte score (NLS), platelet/lymphocyte ratio (PLR) and platelet lymphocyte score (PLS), lymphocyte/monocyte ratio (LMR) and lymphocyte monocyte score (LMS) and C-reactive protein/albumin ratio (CAR) and modified Glasgow Prognositic Score (mGPS)6. This study showed that independent of TNM stage both composite ratios and scores had prognostic value6.
With the recent divergence in the management of rectal cancers with cPR away from surgical resection to a more conservative path with watchful waiting treatment regimens, it is increasingly important to accurately identify patients at higher risk of developing disseminated disease. To our knowledge the effectiveness of stratification of both composite ratios and cumulative scores has not been assessed in patients with rectal cancer. Therefore, the aim of the present study was to compare and contrast the prognostic value of composite ratios and cumulative scores, in patients undergoing surgery for rectal cancer.
Patients and methods
Patients were identified from a prospectively maintained database of rectal cancer resections at Glasgow Royal Infirmary. Patients who met the following criteria were included. Firstly, those who up to 30 days prior to surgery had samples taken for serum CRP, albumin and differential blood cell counts; secondly, those who based on preoperative imaging and surgical findings were considered to have undergone potentially curative resection for rectal cancer between January 1997 and June 2015. Patients who did not have pre-operative CRP or albumin readings, whose cancers were related to inflammatory bowel disease and who underwent surgery for a limited resection or for a palliative intent were excluded7. Pre-operative colonoscopy, MRI rectum and CT thorax, abdomen and pelvis was performed in all patients. MRI liver and PET-CT was performed in select patients to confirm the extent of disease or if dubiety existed from standard imaging.
The majority of patients with moderate (cT3b or greater, suspicious lymph node within 1 mm of margin or extra-mural venous invasion) or high risk (tumour within 1 mm or margin, low tumours encroaching intersphincteric plane or with levator muscle involvement) of local recurrence were offered long-course neo-adjuvant chemoradiotherapy (50 Gy radiotherapy in 28 doses with 5-fluorouracil (5-FU) adjuvant chemotherapy) followed by TME surgery performed 8–12 weeks post completion.
Staging was based on the fifth edition of the TNM classification, with additional information being taken from the resectional pathological reports as required8. Following diagnosis, all patients were discussed at a multidisciplinary meeting. A decision on neo-adjuvant therapy or proceeding direct to surgery was made with the oncologists coordinating the administration of CRT. Post surgery, 5-FU adjuvant chemotherapy was offered to patients with stage III or high-risk stage II disease and no significant comorbidities.
Blood tests were collected and recorded prospectively as mentioned above. Composite ratios and scores were constructed as outlined in Table 1. Patients were routinely followed up for 5 years after surgery with 6 monthly CEA measurement, annual CT and colonoscopy at 5 years. Both the cancer registration system and Registrar General (Scotland) were crosschecked to ensure the cause of death was accurate. The censor date for this study was June 30th 2018. Cancer-specific survival (CSS) was measured from date of surgery until date of death from recurrent or metastatic rectal cancer. Overall survival (OS) was measured until the date of death from any cause. The West of Scotland Research Ethics Committee approved the study and all methods were performed in accordance with relevant guidelines and informed consent was obtained.
Statistics
CRP, albumin and differential blood cell count components were expressed as medians and ranges. Receiver operating characteristic (ROC) curve analysis was used to establish cut off values for individual ratios. The threshold values of such characteristics were based on the most prominent point on the ROC curve for ‘‘sensitivity’’ and ‘‘1-specificity,’’ respectively. The optimal threshold values were defined using the Youden index (maximum (sensitivity + specificity − 1)) and these were compared with published validated values to determine the value used in the subsequent analysis9,10. The area under the ROC (AUROC) curve was calculated. The relationship between NLR, PLR, LMR, CAR, NLS, PLS, LMS and mGPS and both cancer specific and overall survival was assessed using Cox proportional hazard regression to calculate hazard ratios (HRs) and 95% confidence intervals (95% CIs). The relationship between NLR, PLR, LMR, CAR, NLS, PLS, LMS and mGPS and patient clinicopathological characteristics was assessed using Pearson Chi-Square tests. In order not to adjust individual variables for multiple comparisons, the correlation of composite ratios and cumulative scores and clinicopathological characteristics, a p < 0.001 was considered significant across all variables. This p-value was similar to that when a Bonferroni correction was applied (0.05/23 = 0.00217). All analyses were performed using SPSS version 22.0 (IBM Corp, Armonk, NY).
Results
A total of 413 patients met the inclusion criteria and were included in the final analysis (Table 2). The majority of patients were > 65 (69%), male (57%), BMI > 25 (54%), ASA ≥ 2 (87%), presented electively (99%), underwent open resection (83%), had surgery post 2005 (69%) and did not require adjuvant therapy (72%). The majority of patients had either TNM stage II or III disease (79%), moderate/well differentiated adenocarcinomas (91%, 18 of which had mucin lakes), venous invasion (57%), an R0 resection (89%), no peritoneal involvement (91%) and no tumour perforation (99%). Over the course of this studies follow up there were 115 (28%) cancer deaths and 197 (48%) deaths overall.
The relationship between clinicopathological characteristics and both composite ratios and cumulative scores is shown in Table 3 (n = 413). Both composite ratios and cumulative scores showed a correlation with neoadjuvant therapy (p < 0.001) and time of surgery (p < 0.001).
The relationship between composite ratios and cumulative scores and their component values were shown in Table 4 (n = 413). Both ratios and scores showed that a majority of patients were not systemically inflammed prior to surgery (NLR > 5 18%, NLS ≥ 1 48%, PLR > 150 58%, PLS ≥ 1 48%, NPS ≥ 1 11%, CAR > 0.22 28%, mGPS ≥ 1 24%).
The median values for the components of the composite ratios and cumulative scores are shown in Table 4. An NLR 3–5 was associated with a median neutrophil and lymphocyte count of 5.1 × 109/l and 1.3 × 109/l respectively, both within normal reference ranges. In contrast, an NLR > 5 was associated with a median neutrophil and lymphocyte count of 6.0 × 109/l and 0.8 × 109/l respectively, with lymphocytes being outside the normal reference range. A PLR > 150 was associated with a median platelet and lymphocyte count of 277 × 109/l and 1.2 × 109/l respectively, both within normal reference ranges. An LMR < 2.4 was associated with a median lymphocyte and monocyte count of 1.0 × 109/l and 0.6 × 109/l respectively, both within normal reference ranges. A CAR > 0.22 was associated with a median CRP concentration of 19 mg/l and a median albumin concentration of 36 g/l, CRP being outside the normal reference range.
No correlation between the systemic inflammatory response (mGPS and NPS) and neoadjuvant therapy was seen. In addition, Kaplan Meier analysis showed that there was no relationship between neoadjuvant therapy and survival in patients undergoing surgery between 1997 and 2015 (p = 0.872). Furthermore, additional Kaplan Meier analysis showed no relationship between neoadjuvant therapy and survival in patients undergoing surgery between 1997 and 2005 (p = 0.854) or between 2007 and 2015 (p = 0.466).
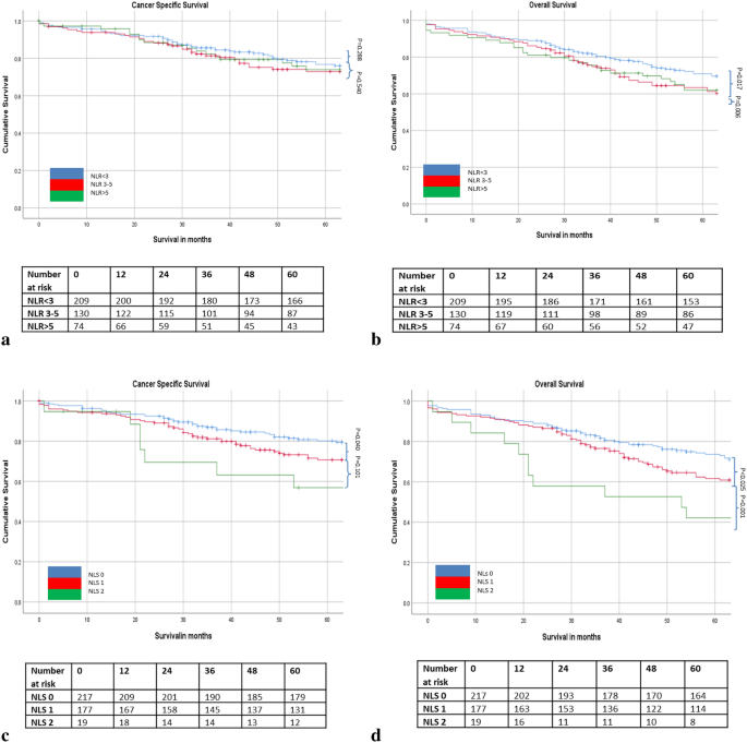
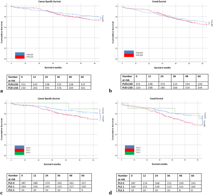
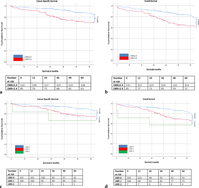
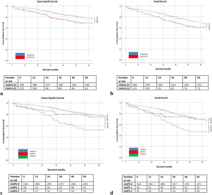
The relationship between ratios, scores and 5 year cancer specific survival is shown in Table 5 and Figs. 1, 2, 3 and 4. On ROC analysis using cancer specific survival as an end-point the AUC for TNM stage was 0.622, Type of Surgery was 0.575, Time of Surgery was 0.608, NLR was 0.525, NLS was 0.565, PLR was 0.535, PLS was 0.566, LMR was 0.559, LMS was 0.612, NPS was 0.538, CAR was 0.554 and mGPS was 0.577. When adjusted for TNM stage, Type of Surgery, Time of Surgery and Margin Involvement mGPS 2 (p < 0.05) remained associated with cancer specific survival.
(a–d) The relationship between the NLR and NLS and both CSS and OS in patients undergoing surgery for rectal cancer. Number at risk depicts the number of patients alive or not censored entering each time period.
(a–d) The relationship between the PLR and PLS and both CSS and OS in patients undergoing surgery for rectal cancer. Number at risk depicts the number of patients alive or not censored entering each time period.
(a–d) The relationship between the LMR and LMS and both CSS and OS in patients undergoing surgery for rectal cancer. Number at risk depicts the number of patients alive or not censored entering each time period.
(a–d) The relationship between the CAR and mGPS and both CSS and OS in patients undergoing surgery for rectal cancer. Number at risk depicts the number of patients alive or not censored entering each time period.
On ROC analysis using overall survival as an end-point the following AUC for TNM stage was 0.596, Type of Surgery was 0.614, Time of Surgery was 0.698, NLR was 0.595, NLS was 0.585, PLR was 0.532, PLS was 0.594, LMR was 0.590, LMS was 0.589, NPS was 0.569, CAR was 0.549 and mGPS was 0.553. When adjusted for TNM stage, Type of Surgery, Time of Surgery and Margin Involvement NLR 3–5 (p < 0.05), NLS 2 (p < 0.05), LMR < 2.4 (p < 0.05), LMS 1 (p < 0.05) and NPS 1 (p < 0.05), and mGPS 2 (p < 0.01) remained associated with overall survival (Table 5 and Figs. 1, 2, 3 and 4).
The prognostic values of the NPS and mGPS were examined in the context of TNM staging in Table 6. Within TNM stage II disease the 5-year cancer specific survival rate was 74%. This varied between 77% and 59% according to the NPS and between 76% and 68% according to the mGPS. The 5-year overall survival rate was 56%. This varied between 62% and 23% according to the NPS and between 60% and 46% according to the mGPS.
Within TNM stage III disease the 5 year cancer specific survival rate was 69%. This varied between 70 and 56% according to the NPS and between 71 and 58% according to the mGPS. The 5 year overall survival rate was 53%. This varied between 56 and 31% according to the NPS and between 56 and 39% according to the mGPS (Table 6).
When those patients who received neoadjuvant treatment were considered only 34 patients died of their cancer on follow up. This precluded further meaningful statistical analysis.
Discussion
This study for the first time directly compares the prognostic value of measuring the systemic inflammatory response with composite ratios and cumulative scores in patients undergoing surgery for rectal cancer. The results are very similar to those reported by Dolan and co-workers in patients with colon cancer which showed that both composite ratios and cumulative scores had prognostic value, independent of TNM stage6. Furthermore, when cumulative scores and composite ratios constructed from lymphoid/myeloid tissue or from acute phase proteins were compared directly they had similar prognostic value6. When these results are interpreted together they highlight the importance of active monitoring of the systemic inflammatory response in patients with rectal cancer.
As has previously been found in colon cancer, ROC curve derived thresholds did not always differentiate normal and abnormal values of the individual component parts of the ratio6. Indeed, as can be seen in Fig. 5a when a line of best fit was applied, an NLR > 5 and an NLR > 3 were associated with a median neutrophil count of approximately 6.0 and 4.0 respectively, both within the normal reference range. Similar results were found for a PLR > 150 and an LMR < 2.4 which were associated with a platelet count of approximately 175 × 109/l and a lymphocyte count of 1.2 × 109/l, both within the normal reference range (Fig. 5b,c). As a result, it is apparent that a number of composite ratios contain individual readings within normal reference ranges. In addition, when compared with cumulative scores, composite ratios classify more patients as being systemically inflamed (Table 5).
(a–e) Plot of preoperative neutrophil count and NLR, platelet count and PLR, lymphocyte count and LMR, CRP and CAR, NLR and CAR in all patients undergoing surgical resection for rectal cancer.
As was the case in patients with colon cancer the results of this study provide further evidence for discontinuing the use of composite ratios to monitor the systemic inflammatory response in patients with rectal cancer6. Indeed, when composite ratios of lymphoid and myeloid cells (NLR) and acute phase proteins (CAR) are plotted against each other (Fig. 5e) they do not follow a mirror image pattern. In contrast, when cumulative scores of the differential white cell count (NPS) and acute phase proteins (mGPS) were compared directly they showed closer agreement for both their systemic inflammatory response status and prognostic value (Table 6). Therefore, the use of cumulative score, based on normal reference ranges, builds on a fuller understanding of activation of the innate systemic inflammatory response seen in patients with colon cancer6. In addition cumulative scores have a greater level of simplicity and consistency which adds to their clinical relevance in patients with rectal cancer.
Furthermore, a clear correlation between factors associated with poorer survival such sex, BMI, advanced T-stage and ASA grades were seen for both higher composite ratios and cumulative scores. This adds further weight to the prognostic strength of cumulative scores in particular in patients with rectal cancer. It is of interest that there was significant correlation between cumulative scores and composite ratios and patients who underwent neoadjuvant chemoradiotherapy. This would follow current European clinical practice to offer neoadjuvant chemoradiotherapy to patients with locally advanced cancers with an associated increased tumour load and inflammatory response. It would also suggest that routine monitoring of the systemic inflammatory response will continue to be of increasing importance as management of rectal cancers moves away from a blanket surgical approach to one where watchful waiting plays a much more significant part3.
The present study has a number of possible limitations. Although a relatively large prospective cohort, there were small numbers of observations in some sub-group analysis. In addition the time scale of the study crosses the change in standard chemotherapy regimes in 2005 to an oxaliplatin based treatment standard. However, it is interesting that when entered into cox-regression analysis time of surgery did not prove to be prognostic. Furthermore, data relating to other factors that may have affected markers of the systemic inflammatory response such drugs taken prior to sampling were not available. Prior work performed by Sung11 and Lee12 have shown the predictive values of the NLR & PLR in both pre and post-CRT. Therefore, it would have been interesting to carry out further subgroup analysis to assess the prognostic value of both ratios and scores in the pre neoadjuvant CRT setting in addition to the pre-operative timepoint. However, the available data did not allow for this. Given that cancer related inflammation correlates with poor outcomes13,14, the hope would be that further characterisation of composite ratios will enable a better prediction model to determine those patients who are more likely to have a palliative colorectal cancer as tumour size has been previously shown by De Felice and co-workers15.
In summary, this study for the first time directly compares the prognostic value of measuring the systemic inflammatory response with composite ratios and cumulative scores in patients undergoing surgery for rectal cancer. The results complement those of a recent study by Dolan and co-workers in colon cancer and show that both composite ratios and cumulative scores had prognostic value, independent of TNM stage, surgical approach, complications and margin involvement6. However, as was the case in patients with colon cancer, cumulative scores are simpler to construct and more consistent for clinical use6. Direct comparison of the performance of the two variables would be required to definitively characterise their prognostic accuracy in clinical use, however these results would suggest that mGPS could be used in the initial workup of patients undergoing neoadjuvant therapy for rectal cancer. They could also guide those patients who should be considered for surgical resection irrespective of their response to neoadjuvant therapy.
References
Board, P. D. Q. A. T. E. in PDQ cancer information summaries(National Cancer Institute (US), 2002).
2014, C. Cancer Research UK: Statisitcs and Outlook for Bowel Cancer. https://www.cancerresearchuk.org/about-cancer/type/ (2014).
Chadi, S. A. et al. Factors affecting local regrowth after watch and wait for patients with a clinical complete response following chemoradiotherapy in rectal cancer (InterCoRe consortium): an individual participant data meta-analysis. Lancet. Gastroenterol. Hepatol. https://doi.org/10.1016/s2468-1253(18)30301-7 (2018).
Dolan, R. D., McSorley, S. T., Horgan, P. G., Laird, B. & McMillan, D. C. The role of the systemic inflammatory response in predicting outcomes in patients with advanced inoperable cancer: systematic review and meta-analysis. Crit. Rev. Oncol. Hematol. 116, 134–146. https://doi.org/10.1016/j.critrevonc.2017.06.002 (2017).
Dolan, R. D., Lim, J., McSorley, S. T., Horgan, P. G. & McMillan, D. C. The role of the systemic inflammatory response in predicting outcomes in patients with operable cancer: systematic review and meta-analysis. Sci Rep 7, 16717. https://doi.org/10.1038/s41598-017-16955-5 (2017).
Dolan, R. D. et al. The prognostic value of systemic inflammation in patients undergoing surgery for colon cancer: comparison of composite ratios and cumulative scores. Br. J. Cancer 119, 40–51. https://doi.org/10.1038/s41416-018-0095-9 (2018).
Park, J. H., Watt, D. G., Roxburgh, C. S., Horgan, P. G. & McMillan, D. C. Colorectal cancer, systemic inflammation, and outcome: staging the tumor and staging the host. Ann. Surg. 263, 326–336. https://doi.org/10.1097/sla.0000000000001122 (2016).
Fleming, I. D. in AJCC Cancer Staging Manual (Lippincott Raven, Philadelphia, 1997).
Ishizuka, M. et al. Clinical significance of the C-reactive protein to albumin ratio for survival after surgery for colorectal cancer. Ann. Surg. Oncol. 23, 900–907. https://doi.org/10.1245/s10434-015-4948-7 (2016).
Youden, W. J. Index for rating diagnostic tests. Cancer 3, 32–35 (1950).
Sung, S., Son, S. H., Park, E. Y. & Kay, C. S. Prognosis of locally advanced rectal cancer can be predicted more accurately using pre- and post-chemoradiotherapy neutrophil-lymphocyte ratios in patients who received preoperative chemoradiotherapy. PLoS ONE 12, e0173955. https://doi.org/10.1371/journal.pone.0173955 (2017).
Lee, I. H. et al. Systemic inflammatory response after preoperative chemoradiotherapy can affect oncologic outcomes in locally advanced rectal cancer. Anticancer Res 37, 1459–1465. https://doi.org/10.21873/anticanres.11470 (2017).
Shen, J. et al. Prognostic role of neutrophil-to-lymphocyte ratio in locally advanced rectal cancer treated with neoadjuvant chemoradiotherapy. Med. Sci. Monit. 23, 315–324. https://doi.org/10.12659/msm.902752 (2017).
Diakos, C. I., Charles, K. A., McMillan, D. C. & Clarke, S. J. Cancer-related inflammation and treatment effectiveness. Lancet Oncol 15, e493-503. https://doi.org/10.1016/s1470-2045(14)70263-3 (2014).
De Felice, F. et al. Clinical predictive factors of pathologic complete response in locally advanced rectal cancer. Oncotarget 7, 33374–33380. https://doi.org/10.18632/oncotarget.8133 (2016).
Funding
This research was funded by the University of Glasgow.
Author information
Authors and Affiliations
Contributions
R.D.D.: data analysis and primary author of the manuscript. M.A.: assistance in re-writing the manuscript and analysis of data. S.T.M.: data analysis and assistance in writing the manuscript. J.H.P.: assistance in writing the manuscript. R.P.S.: assistance in writing the manuscript. C.S.R.: assistance in writing the manuscript. P.G.H.: assistance in writing the manuscript and supervision. D.C.M.: data interpretation, assistance in writing the manuscript and supervision.
Corresponding author
Ethics declarations
Competing interests
The authors declare no competing interests.
Additional information
Publisher's note
Springer Nature remains neutral with regard to jurisdictional claims in published maps and institutional affiliations.
Rights and permissions
Open Access This article is licensed under a Creative Commons Attribution 4.0 International License, which permits use, sharing, adaptation, distribution and reproduction in any medium or format, as long as you give appropriate credit to the original author(s) and the source, provide a link to the Creative Commons licence, and indicate if changes were made. The images or other third party material in this article are included in the article's Creative Commons licence, unless indicated otherwise in a credit line to the material. If material is not included in the article's Creative Commons licence and your intended use is not permitted by statutory regulation or exceeds the permitted use, you will need to obtain permission directly from the copyright holder. To view a copy of this licence, visit http://creativecommons.org/licenses/by/4.0/.
About this article
Cite this article
Dolan, R.D., Alwahid, M., McSorley, S.T. et al. A comparison of the prognostic value of composite ratios and cumulative scores in patients with operable rectal cancer. Sci Rep 10, 17965 (2020). https://doi.org/10.1038/s41598-020-73909-0
Received:
Accepted:
Published:
Version of record:
DOI: https://doi.org/10.1038/s41598-020-73909-0
This article is cited by
-
The prognostic value of a laboratory cachexia score (LCAS) defined by LDH, CRP and albumin in patients with advanced lung cancer
BMC Cancer (2025)
-
The Prognostic Significance of Platelet-to-Lymphocyte Ratio and Lymphocyte-to-Monocyte in Colorectal Cancer: a Meta-Analysis
Journal of Gastrointestinal Cancer (2025)
-
Prognostic role of platelet-to-lymphocyte ratio, neutrophil-to-lymphocyte, and lymphocyte-to-monocyte ratio in operated rectal cancer patients: systematic review and meta-analysis
Langenbeck's Archives of Surgery (2023)







