Abstract
There is increasing evidence supporting the association between gut microbiome composition and mood disorders; however, studies on the circulating microbiome are scarce. This study aimed to analyze the association of the serum microbial DNA composition with depressive and anxiety symptoms in patients with mood disorders. The sera of 69 patients with mood disorders, aged from 19 to 60, were analyzed. Bacterial DNA was isolated from extracellular membrane vesicles and, subsequently, amplified and quantified with specific primers for the V3–V4 hypervariable region of the 16S rDNA gene. Sequence reads were clustered into Operational Taxonomic Units and classified using the SILVA database. There were no significant associations between alpha diversity measures and the total Hamilton depression rating scale (HAM-D) or Beck anxiety inventory (BAI) scores. Only the weighted UniFrac distance was associated with the total HAM-D score (F = 1.57, p = 0.045). The Bacteroidaceae family and Bacteroides genus were negatively associated with the total HAM-D score (β = − 0.016, p < 0.001, q = 0.08 and β = − 0.016, p < 0.001, q = 0.15, respectively). The Desulfovibrionaceae family and Clostridiales Family XIII were positively associated with the total BAI score (β = 1.8 × 10−3, p < 0.001, q = 0.04 and β = 1.3 × 10−3, p < 0.001, q = 0.24, respectively). Further studies with larger sample sizes and longitudinal designs are warranted.
Similar content being viewed by others
Introduction
The gut microbiome is a dynamic ecosystem of microorganisms and their genes that inhabit in the gut1. Research has revealed evidence of the “gut-brain axis”, a bidirectional interaction between gut microbiome and the central nervous system via endocrine, neuronal, and immune pathways2. Therefore, there is increasing interest in the role of the gut microbiome in psychiatry research3. Studies have mainly focused on the gut microbiome and its ability to differentiate disorders from healthy states or differentiate between disorders, including mood disorders3,4,5.
Depression and anxiety are common symptoms in mood disorders. Recent reports have suggested that the effects of microbiome in mood disorders might be a more general phenomenon related to psychiatric symptoms than specific to diagnosis6,7. Investigating the relationship between these symptoms and the microbiome composition will enable us to compare with previous reports focusing on the composition differences between diseased states and healthy controls (HC), to see if the microbial composition that differed between diseased states and HC, are actually related to psychiatric symptoms7. It will also give us further knowledge of the biological basis of these symptoms.
Some studies on the gut microbiome have shown an association between microbial composition and psychiatric symptoms, with controversial results6,7,8,9,10,11,12,13,14,15. Recently a systematic review summarizing the results of gut microbiota analysis in anxiety and depression was published16. Most of these studies were based on simple correlation analyses6,10,11,12,13,14 and did not control significant covariates, including demographics that were associated with these symptoms. Studies should control significant covariates and consider the nature of relative microbial abundances.
Moreover, no study, to our knowledge, has investigated the relationship between the circulating microbial DNA and psychiatric symptoms. Recently, researchers have expanded their focus to microbiome of other sites such as blood. Blood has its advantages as it is easy to obtain, and it reflects systemic conditions. The studies from diseases such as chronic kidney disease, diabetes, and alcoholic liver disease have revealed the potential of microbial DNA in the blood as a circulating biomarker, as the composition was different when compared to HC17,18,19. Microbe-derived extracellular vesicles (EVs) are 20–200 nm sized molecules secreted by bacteria that contain genomic DNA fragments20. These EVs are absorbed in the blood as they can pass through the mucus membrane20. The analysis of microbe-derived EVs has further advantages as these EVs imply that the microbiome is metabolically or pathologically active, and may represent the major constitutes of microbes in the body21,22,23.
We previously analyzed the relationship of the serum microbial DNA composition in patients with major depressive disorder (MDD), bipolar disorder (BD), and HC4. The present analysis was based on our previous data, focusing on the relationship between the serum microbial DNA composition and psychiatric symptoms for patients with mood disorders. We explored whether serum microbial DNA diversity and individual taxa had a significant association with depressive and anxiety symptoms.
Results
Demographic and clinical characteristics
The demographic and clinical characteristics of the study population are shown in Table 1. Further associations with psychiatric symptoms are shown in Table 2. Only exercise was associated with the total Hamilton depression rating scale (HAM-D) score (t = − 2.05, p = 0.044) and total Beck anxiety inventory (BAI) score (t = − 3.69, p < 0.001) and was controlled as a covariate for the following analysis.
Diversity analysis
There was no significant association between the alpha diversity measures and the total HAM-D or total BAI scores (Table 3). For beta diversity measures, the weighted UniFrac distance was associated with the total HAM-D score (F = 1.57, p = 0.045). However, for other measures, there was no significant association with the total HAM-D scores or the total BAI scores (Table 4).
Taxonomic analysis
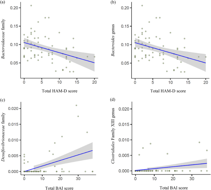
A total of 73 families and 137 genera were utilized in the taxonomic analysis. The Bacteroidaceae family and Bacteroides genus (in the Bacteroidaceae family) were negatively associated with the total HAM-D score (β = − 0.016, p < 0.001, q = 0.08 and β = − 0.016, p < 0.001, q = 0.15, respectively). The Desulfovibrionaceae family and Clostridiales Family XIII were positively associated with the total BAI score (β = 1.8 × 10−3, p < 0.001, q = 0.04 and β = 1.3 × 10−3, p < 0.001, q = 0.24, respectively). There was no significant genus associated with the total BAI score. However when considering multiple comparison, only the Bacteroidaceae and Desulfovibrionaceae family were statistically significant.
The results are shown in Table 5, and the association between significant taxa and psychiatric symptom scores is plotted in Fig. 1.
Abundances of significant taxa associated with psychiatric symptom scores. Significant taxa were plotted as log-transformed relative abundances. The figure was generated using R version 3.6.2 (URL link: https://www.R-project.org/). Abbreviations: HAM-D = Hamilton depression rating scale, BAI = Beck anxiety inventory.
Functional analysis
The abundances of a total of 275 unique KEGG Orthology pathways were predicted. However, after considering multiple comparisons, no statistically significant pathway was found to be associated with the total HAM-D or total BAI scores.
Discussion
This study was the first to compare the serum microbial DNA composition and psychiatric symptom severities in mood disorders. There was no significant association between alpha diversity measures and the total HAM-D and BAI scores. Only the weighted UniFrac distance was significantly associated with the total HAM-D score. We revealed significant microbial families in the serum that were associated with the total HAM-D and BAI scores, however there were no significant KO pathways.
The present study showed no association of alpha diversity with either depressive or anxiety symptoms. However, we previously reported a higher serum alpha diversity, according to the Shannon index and inverse Simpson index, in both MDD and BD than in the HC4. Alpha diversity may help differentiate individuals with mood disorders from HC but may not depend on psychiatric symptoms. Additional studies that investigated the association between gut microbial alpha diversity and psychiatric symptoms have shown mixed results. There were studies reporting an inverse association between the Shannon index and anxiety symptoms in bipolar depression10, and the Faith’s phylogenetic diversity and depressive symptoms in MDD7. However other studies have reported negative results8,9.
We revealed in the present study that only the weighted UniFrac distance, which considers relative abundancies when calculating the distance, was associated with depressive symptoms. However, the weighted UniFrac distance was different between BD and HC and not between MDD and HC in our previous study4. On the other hand, a study of the gut microbiome revealed no association between beta diversity and depressive or anxiety symptoms in a study on a heterogeneous group of individuals with depression and anxiety and healthy control individuals9. This implies that serum microbial community structure reflects not only disease states, but also depressive symptoms. As the serum microbial community might be involved in the pathophysiology of depressive symptoms, researchers should try to reveal potential mechanisms.
When investigating individual taxa, the Bacteroides genus, which was negatively associated with depressive symptoms in the present study (although it lost statistical significance considering multiple comparison), did not show an association with mood disorders in our previous study4. Gut microbiome profiling studies that analyzed the associations with psychiatric symptoms in mood disorders were based on correlations6,10,11,12,13,14; some studies used regression9,15 or other statistical methods7,8. One study revealed that an Operational Taxonomic Unit (OTU) in the Bacteroides genus exhibited a positive association with composite scores for mental health from the Short Form Health Survey and a negative association with anxiety symptoms but no association with depressive symptoms in BD subjects15. No gut microbiome family or genus from these previous studies was replicated in our study with respect to the association of depressive or anxiety symptoms with the serum microbial DNA.
The Bacteroides genus in the gut has been repeatedly reported to be associated with depression; their abundance in depression has been found to be higher11,24 or lower10,14 when compared to that in controls. According to our study, they exhibited a negative association with depressive symptom severity in patients with mood disorders. Interestingly, there is evidence that the fecal Bacteroides has associations with known pathophysiologies of depression. It was demonstrated that the abundance of fecal Bacteroides is inversely correlated with brain signatures associated with depression, and that Bacteroides expresses GABA-producing pathways25. In the circulating microbiome, the Bacteroides genus has been associated with a decreased risk for type 2 diabetes17. Their level in non-alcohol-consuming control individuals was higher when compared to that in alcoholics19. It appears that the level of Bacteroides in the blood decreases under certain disease conditions17,19. Alcohol consumption was not associated with depressive symptoms in our study. Although we excluded individuals with diabetes, glucose intolerance, which is associated with depressive symptoms26, might be related to the circulating level of Bacteroides DNA.
The serum level of Clostridiales Family XIII DNA exhibited a positive association with anxiety symptoms in the present study (although it lost statistical significance considering multiple comparison). However, its level in the gut has been shown to be less abundant in generalized anxiety disorder (GAD) than in HC27. Therefore, this trend was relatively opposite for the serum and gut with respect to anxiety. Recently, an animal study revealed that when rats were treated with minocycline, the relative abundance of this family increased and that the abundance was associated with 3-OH butyrate28. However, although minocycline produces anti-anxiety effects29, it was shown to decrease depressive-like but not anxiety-like behavior in the animal study28.
Bacteroides are gram-negative, obligate anaerobes and are considered a major genus30. Several Clostridiales strains are associated with various psychiatric disorders31. Both are known to produce short chain fatty acids (SCFA)30,31. Especially, butyrate serves as a major energy source for colonocytes, and it has been reported to be beneficial for health as it exhibits anti-inflammatory properties. However the role of SCFA in the blood needs further exploration. The serum levels of SCFA were elevated in diabetes, and positively associated with adiposity measures32,33. On the other hand, SCFA were inversely correlated with inflammatory markers and endotoxin and had beneficial roles in those with cirrhosis34. The positive/negative role of circulating SCFA might also differ between depressive and anxiety symptoms, and concurrent measures of these SCFA are warranted in future studies30,35.
In our study, the Desulfovibrionaceae family DNA composition in the serum was positively associated with anxiety symptoms. Interestingly, the abundance of the Desulfovibrionaceae family in the gut has been shown to be lower in GAD patients than in HC27; therefore, the direction of the association was relatively opposite for the gut and serum with respect to anxiety. This family is composed of gram-negative anaerobes and is known to produce hydrogen sulfide36. Hydrogen sulfide penetrates through the cell membrane and inhibits butyrate oxidation37. Its toxicity leads to structural and functional changes in the gut barrier, provoking inflammation37. Although the role of Desulfovibrionaceae in the blood needs further investigation, the pro-inflammatory property of hydrogen sulfide could mediate the association between inflammation and anxiety severity38. Studies comparing other conditions have revealed that Desulfovibrionaceae was decreased in obese and total non-alcoholic fatty liver disease (NAFLD), but not in lean NAFLD, when compared to HC39, and decreased in chronic kidney disease when compared to HC18. Both studies were based on microbiome from the buffy coat, so direct comparison is limited.
However, studies on certain microbiome strains are primarily based on the role of their products in the gut; therefore, the link between the microbiome in the gut and blood, and the brain needs to be further investigated. Recently, a study showed that several gut microbes are correlated to several circulating microbes, indicating a link between gut and blood microbial composition40. Therefore, a change in the microbiome composition in the blood could reflect a change in the gut microbiome. However, the contradiction between previous data on the gut microbiome with respect to anxiety and the results from our present study on the circulating microbial DNA should be accounted. Anxiety states might increase translocation via dysfunction of the intestinal epithelium, resulting in opposite abundances in the gut and blood. Another mechanism to consider is that a change in the blood microbiome composition can stimulate inflammation. The cell walls of gram-negative bacteria are composed of lipopolysaccharide and that of gram-positive bacteria are composed of lipoteichoic acid, both which are known to provoke innate immune responses41. Therefore, a change in the composition of these bacteria could be associated with inflammation, which is a known factor for depression42 and anxiety43. However, we are unsure if the blood microbiome is from the gut, as oral sources can influence the blood microbiome44, and if they are intact microbiomes or DNA fragments from other areas of the body45.
This study has several limitations. First, as it was a cross-sectional study, causality could not be determined. Second, the sample size was small, and symptom severity was mild, which might have resulted in less statistical power and negative results including the functional analysis. The participants weren’t required to be currently in a depressive episode, so the lack of associations might have been due to the mild severity state. Replication studies with more severe patients are warranted. Third, analyses of the gut microbiome or other blood metabolites were not conducted. Concurrent measures would enable investigation of the specific mechanisms underlying the association between the microbial DNA and psychiatric symptoms. Fourth, the presence of other confounding factors, including diet and sampling time, could influence the microbial DNA composition46,47.
However, our study was the first to analyze the association between the serum microbial DNA composition and psychiatric symptom scores in patients with mood disorders. Unlike previous studies on mood disorders, we used MaAsLin2, a statistical approach used in microbial studies to account for the characteristics of microbial composition: high data dimensionality, sparsity, and mean–variance dependency48.
In conclusion, this study demonstrated that only the weighted UniFrac distance of serum microbial DNA was associated with depressive symptoms in mood disorders. Additionally, there were significant families that were associated with depressive and anxiety symptoms in patients with mood disorders. Further studies utilizing a larger sample size should consider longitudinal designs and evaluate the specific mechanisms underlying this association.
Methods
Study participants
Initially, 72 patients (42 with BD and 30 with MDD), with ages ranging from 19 to 60, were enrolled from the outpatient clinic of Seoul National University Hospital from 2015 to 2018. Diagnosis was made according to the criteria of the Diagnostic and Statistical Manual of Mental Disorders 4th or 5th version (DSM-IV or DSM-5) and was confirmed by the Mini-International Neuropsychiatric Interview (MINI). Depressive symptoms were assessed using the 17-item HAM-D49, and hypomanic symptoms were assessed using the 11-item Young mania rating scale (YMRS)50. These evaluations were administered by well-trained psychiatric research nurses. Anxiety symptoms were assessed using the 21-item BAI51. Information of exercise, current smoker, and alcohol use was based on self-reports asking the patients if they were regularly exercising, currently smoking, and regularly drinking alcohol. Body mass index (BMI) was calculated as weight (kg) divided by height (m) squared (kg/m2). Medication use was based on self-report. Three patients were excluded because of missing BAI data, resulting in 69 patients.
We excluded patients on antibiotics, antifungal agents, and steroids, and those diagnosed with hypertension, diabetes, cancer, rheumatoid diseases, gastrointestinal diseases including inflammatory bowel disorders, alcohol-use or other substance-use disorders, and eating disorders. For BD patients, those with hypomanic/manic/mixed episodes were excluded. Participants were allowed to continue taking other non-psychotropic medications. We did not exclude use of probiotics. Serum samples were collected from each participant.
The study was carried out in accordance with the latest version of the Declaration of Helsinki. The study design was reviewed by the Institutional Review Boards of Seoul National University Hospital (IRB No 1301-069-459). Informed consent of the participants was obtained after the nature of the procedures had been fully explained.
Microbial DNA analysis
Extracellular vesicle isolation and DNA extraction
DNA extraction from EVs was performed as follows4. The serum from each participant was collected in serum separator tubes and centrifuged at 3000 rpm for 15 min at 4 °C. The supernatant was collected and stored at − 80 °C until analysis. Then, the supernatant was mixed with 1 × phosphate-buffered saline (pH 7.4, ML008-01, Welgene, Republic of Korea) and subsequently centrifuged at 10,000× g for 10 min at 4 °C. To isolate EVs, bacteria and foreign particles were thoroughly eliminated through sterilization of the supernatant using a 0.22 μm filter. The separated EVs were boiled for 40 min at 100 °C and centrifuged at 13,000 rpm for 30 min at 4 °C to eliminate the remaining floating particles and waste. EV DNA was extracted using the DNeasy Powersoil Kit (QIAGEN, Germany) and quantified using the QIAxpert system (QIAGEN).
Amplicon sequence analysis
The libraries were prepared using EV DNA PCR products according to the MiSeq System guide (Illumina, San Diego, CA, USA) and quantified using the QIAxpert system. We used the 16S_V3_F (5′-TCGTCGGCAGCGTCAGATGTGTATAAGAGACAGCCTACGGGNGGCWGCAG-3′) and 16S_V4_R (5′-GTCTCGTGGGCTCGGAGATGTGTATAAGAGACAGGACTACHVGGGTATCTAATCC-3′) primers, which are specific for the V3–V4 hypervariable region of the 16S rDNA gene, to amplify bacterial genomic DNA. Each amplicon was quantified, set at an equimolar ratio, pooled, and sequenced on a MiSeq system.
Microbial DNA bacterial composition analysis
Paired-end reads that matched the adapter sequences were trimmed using Cutadapt (version 1.1.6)52. The resulting FASTQ files were merged with CASPER53. The quality filter was applied with the Phred (Q) score, on the basis of the criteria described by Bokulich et al54. Any merged reads that were shorter than 350 bp or longer than 550 bp were discarded. A reference-based chimera searching method was performed to identify chimeric sequences, using VSEARCH with the SILVA gold database55,56. Next, the remaining sequence reads were clustered into OTUs via a de novo clustering method using VSEARCH at a 97% sequence similarity. We excluded OTUs that contained only one sequence in only one sample. The representative sequences of the OTUs were finally assigned taxonomy using UCLUST along with the SILVA 128 database [parallel_assign_taxonomy_uclust.py script on QIIME (version 1.9.1)] under default parameters57.
Statistical analysis
The association of demographic and clinical variables with the psychiatric symptom scores was analyzed using Pearson’s correlation analysis for continuous variables and t-tests for categorical variables. Exercise was associated with both psychiatric symptom scores and was controlled for the following analysis.
Alpha diversity was calculated using the observed OTUs, Chao-1 indices, inverse Simpson indices, and Shannon indices. For skewed measures, normalization was performed before further analysis. Beta diversity was calculated by the Bray–Curtis dissimilarity and unweighted/weighted UniFrac distance matrix. Linear regression was performed for alpha diversity, and permutational analysis of variance (PERMANOVA) was performed for beta-diversity to analyze its association with psychiatric symptom scores.
Multivariate association with linear models (MaAsLin2) was performed to analyze the association between microbial DNA relative abundances (family and genus) and psychiatric symptom scores. MaAsLin2 performs a boosted, additive general linear model between microbial abundance and metadata58. Only taxa with a minimum abundance of 0.01%, present in at least 10% of the samples, were utilized for the analysis. Significant taxa were plotted as log-transformed relative abundances.
Finally, to obtain prediction of the functional pathway profiles, we used Tax4Fun for functional community profiling based on 16S rRNA data59. It annotates metabolic cycles and pathways in the Kyoto Encyclopedia of Genes and Genomes (KEGG)60. The psychiatric symptom score was the dependent variable, and the relative abundance of KEGG Orthology terms and exercise were the independent variables in the linear regression analysis.
All tests of significance, after controlling for the covariates, were two-sided; statistical significance was set at p < 0.05.
In line with default parameters and previous studies, taxa satisfying Benjamini–Hochberg false discovery rate at q < 0.25 was considered initially significant for MaAsLin258,61,62. A more conservative q < 0.10 was used for statistical significance of multiple comparison in MaAsLin2 and functional analysis.
All statistical analyses were performed using R version 3.6.2.
Data availability
The datasets used and analyzed during the current study are available from the corresponding author on reasonable request.
References
Nguyen, T. T., Kosciolek, T., Eyler, L. T., Knight, R. & Jeste, D. V. Overview and systematic review of studies of microbiome in schizophrenia and bipolar disorder. J. Psychiatr. Res. 99, 50–61. https://doi.org/10.1016/j.jpsychires.2018.01.013 (2018).
Salagre, E., Vieta, E. & Grande, I. The visceral brain: Bipolar disorder and microbiota. Rev. Psiquiatr. Salud Ment. 10, 67–69. https://doi.org/10.1016/j.rpsm.2017.02.001 (2017).
Yang, Z. et al. Updated review of research on the gut microbiota and their relation to depression in animals and human beings. Mol. Psychiatry https://doi.org/10.1038/s41380-020-0729-1 (2020).
Rhee, S. J. et al. Comparison of serum microbiome composition in bipolar and major depressive disorders. J Psychiatr. Res. 123, 31–38. https://doi.org/10.1016/j.jpsychires.2020.01.004 (2020).
Lee, Y. et al. Rapid assessment of microbiota changes in individuals with autism spectrum disorder using bacteria-derived membrane vesicles in urine. Exp. Neurobiol. 26, 307–317. https://doi.org/10.5607/en.2017.26.5.307 (2017).
Chung, Y. E. et al. Exploration of microbiota targets for major depressive disorder and mood related traits. J. Psychiatr. Res. 111, 74–82. https://doi.org/10.1016/j.jpsychires.2019.01.016 (2019).
Liu, R. T. et al. Reductions in anti-inflammatory gut bacteria are associated with depression in a sample of young adults. Brain Behav. Immunol. 88, 308–324. https://doi.org/10.1016/j.bbi.2020.03.026 (2020).
Painold, A. et al. A step ahead: Exploring the gut microbiota in inpatients with bipolar disorder during a depressive episode. Bipolar Disord. 21, 40–49. https://doi.org/10.1111/bdi.12682 (2019).
Mason, B. L. et al. Reduced anti-inflammatory gut microbiota are associated with depression and anhedonia. J. Affect Disord. 266, 394–401. https://doi.org/10.1016/j.jad.2020.01.137 (2020).
Rong, H. et al. Similarly in depression, nuances of gut microbiota: Evidences from a shotgun metagenomics sequencing study on major depressive disorder versus bipolar disorder with current major depressive episode patients. J. Psychiatr. Res. 113, 90–99. https://doi.org/10.1016/j.jpsychires.2019.03.017 (2019).
Hu, S. et al. Gut Microbiota changes in patients with bipolar depression. Adv. Sci. (Weinh.) 6, 1900752. https://doi.org/10.1002/advs.201900752 (2019).
Zheng, P. et al. Gut microbial signatures can discriminate unipolar from bipolar depression. Adv. Sci. (Weinh.) 7, 1902862. https://doi.org/10.1002/advs.201902862 (2020).
Chen, J. J. et al. Sex differences in gut microbiota in patients with major depressive disorder. Neuropsychiatr. Dis. Treat. 14, 647–655. https://doi.org/10.2147/ndt.S159322 (2018).
Jiang, H. et al. Altered fecal microbiota composition in patients with major depressive disorder. Brain Behav. Immunol. 48, 186–194. https://doi.org/10.1016/j.bbi.2015.03.016 (2015).
Evans, S. J. et al. The gut microbiome composition associates with bipolar disorder and illness severity. J. Psychiatr. Res. 87, 23–29. https://doi.org/10.1016/j.jpsychires.2016.12.007 (2017).
Simpson, C. A. et al. The gut microbiota in anxiety and depression—A systematic review. Clin. Psychol. Rev. 83, 101943. https://doi.org/10.1016/j.cpr.2020.101943 (2021).
Qiu, J., Zhou, H., Jing, Y. & Dong, C. Association between blood microbiome and type 2 diabetes mellitus: A nested case-control study. J. Clin. Lab. Anal. 33, e22842. https://doi.org/10.1002/jcla.22842 (2019).
Shah, N. B. et al. Blood microbiome profile in CKD: A pilot study. Clin. J. Am. Soc. Nephrol. 14, 692–701. https://doi.org/10.2215/cjn.12161018 (2019).
Puri, P. et al. The circulating microbiome signature and inferred functional metagenomics in alcoholic hepatitis. Hepatology 67, 1284–1302. https://doi.org/10.1002/hep.29623 (2018).
Kaparakis-Liaskos, M. & Ferrero, R. L. Immune modulation by bacterial outer membrane vesicles. Nat. Rev. Immunol. 15, 375–387. https://doi.org/10.1038/nri3837 (2015).
Kang, C. S. et al. Extracellular vesicles derived from gut microbiota, especially Akkermansia muciniphila, protect the progression of dextran sulfate sodium-induced colitis. PLoS ONE 8, e76520. https://doi.org/10.1371/journal.pone.0076520 (2013).
Yoo, J. Y. et al. 16S rRNA gene-based metagenomic analysis reveals differences in bacteria-derived extracellular vesicles in the urine of pregnant and non-pregnant women. Exp. Mol. Med. 48, e208. https://doi.org/10.1038/emm.2015.110 (2016).
Jang, S. C. et al. In vivo inetic biodistribution of nano-sized outer membrane vesicles derived from bacteria. Small 11, 456–461. https://doi.org/10.1002/smll.201401803 (2015).
Liu, Y. et al. Similar fecal microbiota signatures in patients with diarrhea-predominant irritable bowel syndrome and patients with depression. Clin. Gastroenterol. Hepatol. 14, 1602-1611.e1605. https://doi.org/10.1016/j.cgh.2016.05.033 (2016).
Strandwitz, P. et al. GABA-modulating bacteria of the human gut microbiota. Nat. Microbiol. 4, 396–403. https://doi.org/10.1038/s41564-018-0307-3 (2019).
Narita, Z., Inagawa, T., Stickley, A. & Sugawara, N. Physical activity for diabetes-related depression: A systematic review and meta-analysis. J. Psychiatr. Res. 113, 100–107. https://doi.org/10.1016/j.jpsychires.2019.03.014 (2019).
Jiang, H. Y. et al. Altered gut microbiota profile in patients with generalized anxiety disorder. J. Psychiatr. Res. 104, 130–136. https://doi.org/10.1016/j.jpsychires.2018.07.007 (2018).
Schmidtner, A. K. et al. Minocycline alters behavior, microglia and the gut microbiome in a trait-anxiety-dependent manner. Transl. Psychiatry 9, 223. https://doi.org/10.1038/s41398-019-0556-9 (2019).
Soczynska, J. K. et al. Novel therapeutic targets in depression: Minocycline as a candidate treatment. Behav. Brain Res. 235, 302–317. https://doi.org/10.1016/j.bbr.2012.07.026 (2012).
Tan, H., Zhai, Q. & Chen, W. Investigations of Bacteroides spp. towards next-generation probiotics. Food Res. Int. 116, 637–644. https://doi.org/10.1016/j.foodres.2018.08.088 (2019).
Li, J. et al. Clostridiales are predominant microbes that mediate psychiatric disorders. J. Psychiatr. Res. 130, 48–56. https://doi.org/10.1016/j.jpsychires.2020.07.018 (2020).
Wang, Y. et al. Circulating short-chain fatty acids are positively associated with adiposity measures in Chinese adults. Nutrients https://doi.org/10.3390/nu12072127 (2020).
Zhao, L. et al. Elevated levels of circulating short-chain fatty acids and bile acids in type 2 diabetes are linked to gut barrier disruption and disordered gut microbiota. Diabetes Res. Clin. Pract. 169, 108418. https://doi.org/10.1016/j.diabres.2020.108418 (2020).
Juanola, O. et al. Circulating levels of butyrate are inversely related to portal hypertension, endotoxemia, and systemic inflammation in patients with cirrhosis. FASEB J. 33, 11595–11605. https://doi.org/10.1096/fj.201901327R (2019).
Dalile, B., Van Oudenhove, L., Vervliet, B. & Verbeke, K. The role of short-chain fatty acids in microbiota-gut-brain communication. Nat. Rev. Gastroenterol. Hepatol. 16, 461–478. https://doi.org/10.1038/s41575-019-0157-3 (2019).
Baffert, C., Kpebe, A., Avilan, L. & Brugna, M. Hydrogenases and H2 metabolism in sulfate-reducing bacteria of the Desulfovibrio genus. Adv. Microb. Physiol. 74, 143–189. https://doi.org/10.1016/bs.ampbs.2019.03.001 (2019).
Kushkevych, I. et al. Recent advances in metabolic pathways of sulfate reduction in intestinal bacteria. Cells https://doi.org/10.3390/cells9030698 (2020).
de Baumont, A. et al. Anxiety disorders in childhood are associated with youth IL-6 levels: A mediation study including metabolic stress and childhood traumatic events. J. Psychiatr. Res. 115, 43–50. https://doi.org/10.1016/j.jpsychires.2019.05.011 (2019).
Yun, Y. et al. Fecal and blood microbiota profiles and presence of nonalcoholic fatty liver disease in obese versus lean subjects. PLoS ONE 14, e0213692. https://doi.org/10.1371/journal.pone.0213692 (2019).
Lelouvier, B. et al. Changes in blood microbiota profiles associated with liver fibrosis in obese patients: A pilot analysis. Hepatology 64, 2015–2027. https://doi.org/10.1002/hep.28829 (2016).
Mayerhofer, R. et al. Diverse action of lipoteichoic acid and lipopolysaccharide on neuroinflammation, blood-brain barrier disruption, and anxiety in mice. Brain Behav. Immunol. 60, 174–187. https://doi.org/10.1016/j.bbi.2016.10.011 (2017).
Lee, S., Oh, S. S., Jang, S.-I. & Park, E.-C. Sex difference in the association between high-sensitivity C-reactive protein and depression: The 2016 Korea National Health and Nutrition Examination Survey. Sci. Rep. 9, 1918. https://doi.org/10.1038/s41598-018-36402-3 (2019).
Imai, R. et al. Relationships of blood proinflammatory markers with psychological resilience and quality of life in civilian women with posttraumatic stress disorder. Sci. Rep. 9, 17905. https://doi.org/10.1038/s41598-019-54508-0 (2019).
Koren, O. et al. Human oral, gut, and plaque microbiota in patients with atherosclerosis. Proc. Natl. Acad. Sci. USA 108(Suppl 1), 4592–4598. https://doi.org/10.1073/pnas.1011383107 (2011).
Dickerson, F., Severance, E. & Yolken, R. The microbiome, immunity, and schizophrenia and bipolar disorder. Brain Behav. Immunol. 62, 46–52. https://doi.org/10.1016/j.bbi.2016.12.010 (2017).
Liang, X. & FitzGerald, G. A. Timing the microbes: The circadian rhythm of the gut microbiome. J. Biol. Rhythms 32, 505–515. https://doi.org/10.1177/0748730417729066 (2017).
De Angelis, M. et al. Diet influences the functions of the human intestinal microbiome. Sci. Rep. 10, 4247. https://doi.org/10.1038/s41598-020-61192-y (2020).
Mallick, H. et al. Experimental design and quantitative analysis of microbial community multiomics. Genome Biol. 18, 228. https://doi.org/10.1186/s13059-017-1359-z (2017).
Hamilton, M. A rating scale for depression. J. Neurol. Neurosurg. Psychiatry 23, 56–62. https://doi.org/10.1136/jnnp.23.1.56 (1960).
Young, R. C., Biggs, J. T., Ziegler, V. E. & Meyer, D. A. A rating scale for mania: reliability, validity and sensitivity. Br. J. Psychiatry 133, 429–435. https://doi.org/10.1192/bjp.133.5.429 (1978).
Beck, A. T., Epstein, N., Brown, G. & Steer, R. A. An inventory for measuring clinical anxiety: psychometric properties. J. Consult. Clin. Psychol. 56, 893–897. https://doi.org/10.1037//0022-006x.56.6.893 (1988).
Kechin, A., Boyarskikh, U., Kel, A. & Filipenko, M. cutPrimers: A new tool for accurate cutting of primers from reads of targeted next generation sequencing. J. Comput. Biol. 24, 1138–1143. https://doi.org/10.1089/cmb.2017.0096 (2017).
Kwon, S., Lee, B. & Yoon, S. CASPER: Context-aware scheme for paired-end reads from high-throughput amplicon sequencing. BMC Bioinform. 15(Suppl 9), S10. https://doi.org/10.1186/1471-2105-15-s9-s10 (2014).
Bokulich, N. A. et al. Quality-filtering vastly improves diversity estimates from Illumina amplicon sequencing. Nat. Methods. 10, 57–59. https://doi.org/10.1038/nmeth.2276 (2013).
Quast, C. et al. The SILVA ribosomal RNA gene database project: Improved data processing and web-based tools. Nucleic Acids Res. 41, D590-596. https://doi.org/10.1093/nar/gks1219 (2013).
Rognes, T., Flouri, T., Nichols, B., Quince, C. & Mahé, F. VSEARCH: A versatile open source tool for metagenomics. PeerJ 4, e2584. https://doi.org/10.7717/peerj.2584 (2016).
Caporaso, J. G. et al. QIIME allows analysis of high-throughput community sequencing data. Nat. Methods. 7, 335–336. https://doi.org/10.1038/nmeth.f.303 (2010).
Mallick, H., McIver L.J., Rahnavard, A., Ma, S., Zhang, Y., Nguyen, L.H., et al. 2020. Multivariable Association in Population-scale Meta-omics Studies. http://huttenhower.sph.harvard.edu/maaslin/ (accessed 27 Decemeber 2020).
Asshauer, K. P., Wemheuer, B., Daniel, R. & Meinicke, P. Tax4Fun: Predicting functional profiles from metagenomic 16S rRNA data. Bioinformatics 31, 2882–2884. https://doi.org/10.1093/bioinformatics/btv287 (2015).
Ogata, H. et al. KEGG: Kyoto encyclopedia of genes and genomes. Nucleic Acids Res. 27, 29–34. https://doi.org/10.1093/nar/27.1.29 (1999).
Leung, M. H. Y. et al. Changes of the human skin microbiota upon chronic exposure to polycyclic aromatic hydrocarbon pollutants. Microbiome. 8, 100. https://doi.org/10.1186/s40168-020-00874-1 (2020).
Wang, J. et al. Microbiota in intestinal digesta of Atlantic salmon (Salmo salar), observed from late freshwater stage until one year in seawater, and effects of functional ingredients: a case study from a commercial sized research site in the Arctic region. Anim. Microbiome 3, 14. https://doi.org/10.1186/s42523-021-00075-7 (2021).
Acknowledgements
We thank all of those who participated in the study.
Funding
This work was supported by the SNUH (Seoul National University Hospital) Research Fund. [Grant No. 04-2017-0340] The funding source had no involvement in the study design; in the collection, analysis and interpretation of data; in the writing of the report; and in the decision to submit the article for publication.
Author information
Authors and Affiliations
Contributions
Drafting of the manuscript: S.J.R., J.Y. Analysis of serum microbial DNA: S.J.R., J.Y., Y.K.K. Study design: S.J.R., H.K., Y.L., H.J.L., C.H.K.P. and Y.M.A. Data collection: Y.M.A. All authors read and approved the final manuscript. The authors are entirely responsible for the scientific content of this paper.
Corresponding author
Ethics declarations
Competing interests
Yong Min Ahn receives research support from or serves as a speaker for Janssen Korea Ltd., Lundbeck Korea Co., Ltd, and Korea Otsuka Pharmaceutical. The other authors have no conflict of interest to declare.
Additional information
Publisher's note
Springer Nature remains neutral with regard to jurisdictional claims in published maps and institutional affiliations.
Rights and permissions
Open Access This article is licensed under a Creative Commons Attribution 4.0 International License, which permits use, sharing, adaptation, distribution and reproduction in any medium or format, as long as you give appropriate credit to the original author(s) and the source, provide a link to the Creative Commons licence, and indicate if changes were made. The images or other third party material in this article are included in the article's Creative Commons licence, unless indicated otherwise in a credit line to the material. If material is not included in the article's Creative Commons licence and your intended use is not permitted by statutory regulation or exceeds the permitted use, you will need to obtain permission directly from the copyright holder. To view a copy of this licence, visit http://creativecommons.org/licenses/by/4.0/.
About this article
Cite this article
Rhee, S.J., Kim, H., Lee, Y. et al. The association between serum microbial DNA composition and symptoms of depression and anxiety in mood disorders. Sci Rep 11, 13987 (2021). https://doi.org/10.1038/s41598-021-93112-z
Received:
Accepted:
Published:
Version of record:
DOI: https://doi.org/10.1038/s41598-021-93112-z
This article is cited by
-
Alterations in fecal microbiota composition and cytokine expression profiles in adolescents with depression: a case-control study
Scientific Reports (2025)
-
Medication use is associated with distinct microbial features in anxiety and depression
Molecular Psychiatry (2025)
-
Intricate mechanism of anxiety disorder, recognizing the potential role of gut microbiota and therapeutic interventions
Metabolic Brain Disease (2024)
-
Maternal weight, gut microbiota, and the association with early childhood behavior: the PREOBE follow-up study
Child and Adolescent Psychiatry and Mental Health (2023)
-
The gut microbiome in social anxiety disorder: evidence of altered composition and function
Translational Psychiatry (2023)



