Abstract
Endometrial cancer (EC) is one of the most common types of cancer of the female reproductive system. EC is classified into two types (EC1 and EC2). MiRNAs are single-stranded RNA molecules that regulate gene expression posttranscriptionally. They have aberrant expression profiles in cancer, including EC. This study aimed to assess the level of expression of a panel of 16 miRNAs in both types of EC and healthy endometrium (HE). A total of 45 patients were enrolled into the study, 18 patients diagnosed with EC1, 12 diagnosed with EC2, and 15 HE controls. Tumor tissues or healthy endometrial tissues were dissected from archival formalin-fixed paraffin-embedded (FFPE) using laser capture microdissection (LCM). RNA was isolated from collected material and the expression of selected miRNAs was determined using the real-time qPCR. We found that miR-23b, miR-125b-5p, miR-199a-3p, miR-221-3p, and miR-451a were downregulated in EC in comparison to HE. Moreover, the expression of miR-34a-5p and miR-146-5p was higher in EC1 compared to EC2. Analysis of The Cancer Genome Atlas (TCGA) database confirmed decreased levels of miR-23b, miR-125b-5p, and miR-199a-3p in EC. Decreased miR-23b expression was associated with worse survival of EC patients.
Similar content being viewed by others
Introduction
Endometrial cancer (EC) arises from the epithelial lining of the uterus (endometrium) and is the most common cancer of the female reproductive system in the USA1. It is estimated that 65,950 new cases will be diagnosed in 2022, representing 3.5% of all new cancer cases in the USA, and the disease will be fatal to 12,550 patients, which is equivalent to 2.1% of all cancer deaths2. The incidence and mortality are steadily increasing in the population which is associated with many factors, including the growing prevalence of obesity—one of the major risk factors for the development of the EC3. The 5-year relative survival is estimated at 81.1%4. EC can be classified based on two different classification systems. The traditional classification proposed in 1981 by Bokhman5, divides EC into two types, where type 1 of EC (EC1) is defined as an estrogen-dependent tumor associated with endometrial hyperplasia, and type 2 of EC (EC2) as an estrogen-independent tumor which is associated with endometrial atrophy. Another classification of EC divides tumors based on the histopathological characteristics, where EC can be categorized into endometrioid carcinoma, serous carcinoma, clear-cell adenocarcinoma, carcinosarcoma, and other types6. The Cancer Genome Atlas Research Network (TCGA) analysis revealed that EC can be classified based on their molecular features which enable better stratification of EC patients7.
MiRNAs (microRNAs) are endogenous, small single-stranded non-coding RNA molecules that regulate gene expression at the posttranscriptional level8. They play a significant role in a broad range of biological processes such as cellular proliferation, differentiation, and apoptosis9,10,11,12. The biogenesis of miRNAs involves multiple steps that occur at each step of the synthesis of the functional molecule9,11. The expression of miRNAs is controlled by numerous transcription factors, two of which, p53 and c-Myc, appear to play a key role in this process10. The dysregulation of miRNAs may result in the initiation of carcinogenesis, which can affect all hallmarks of cancer as defined by Hanahan and Weinberg13, including replicative immortality, proliferative signaling, immune evasion, deactivation of growth suppressors, or inducing angiogenesis10,14. Notably, miRNAs can act as both: oncogenes or tumor suppressors, as dictated by their target genes15. Over the past decade, a body of evidence of dysregulation of miRNA expression in a variety of cancer types has been described. The focus on this subject by numerous research groups, including our, resulted in reports on the role of miRNAs as cancer biomarkers, as well as markers of cancer invasiveness and metastasis12,16,17,18,19.
This study aimed to further characterize the pathogenesis of EC by determining the level of miRNAs typically involved in cancer development. The study was conducted on microdissected tissue samples of both types of EC: EC1 and EC2 and the healthy endometrial tissue.
Results
In this study, we enrolled 30 primary EC patients, previously untreated, and 15 control patients with healthy endometrium (HE) operated due to other gynecological pathologies (leiomyoma). The endometrium of these patients was histopathologically confirmed to be normal. To ensure that material obtained for miRNAs expression analysis contained only EC or HE tissue, we used Laser Capture Microdissection (LCM) to precisely dissect only specific fragments of tissue. From each FFPE sample of EC, only tumor tissue was dissected using LCM. In HE samples, only glandular endometrial tissue was dissected (Fig. 1). From the collected material we have determined the level of: miR-21-3p, miR-23b, miR-34a-5p, miR-96-5p, miR-125b-5p, miR-134-5p, miR-146-5p, miR-150-5p, miR-181b-5p, miR-182-5p, miR-199a-3p, miR-200b-3p, miR-211-3p, miR-221-3p, miR-410-3p, and miR-451a.
Schematic representation of the study design. (1) Formalin-fixed paraffin-embedded (FFPE) samples were prepared from endometrial cancer type 1 (EC1) and type 2 (EC2) tumors and healthy endometrium. (2) FFPE specimens were hematoxylin and eosin stained for pathological examination. (3) FFPE specimens were hematoxylin and eosin stained and (4) subjected to laser-capture microdissection (LCM). Microscopic scans of slides before LCM (left) and after LCM (right) with dissected cancer tissue. (5) RNA was isolated from the collected tissue of endometrial cancer and healthy endometrium. (6) After reverse transcription, the expression of selected miRNAs was assessed using real-time qPCR method. Created using Biorender.com.
MiR-23b, miR-125b-5p, miR-199a-3p, miR-221-3p, and miR-451a are downregulated in EC
The analysis of 16 miRNAs revealed that the levels of expression of certain miRNAs were significantly downregulated in EC compared to HE. miR-23b was downregulated 4.54 times, (Fig. 2a, p < 0.0001), miR-125b-5p was downregulated 7.15 times (Fig. 2b, p = 0.0005), miR-199a-3p was downregulated 11.11 times (Fig. 2c, p < 0.0001), miR-221-3p was downregulated 4.54 times, (Fig. 2d, p = 0.0029), and miR-451a was downregulated 17.24 times (Fig. 2e, p < 0.0001). In contrast, there were no statistically significant differences between the expression of miR-21-3p, miR-34a-5p, miR-96-5p, miR-134-5p, miR-146-5p, miR-150-5p, miR-181b-5p, miR-182-5p, miR-200b-3p, miR-211-3p, and miR-410-3p in EC compared to HE (Fig. 3a–k, p > 0.05).
miR-23b, miR-125b-5p, miR-199a-3p, miR-221-3p, and miR-451a are downregulated in EC. The expression of miR-23b (a) and miR-125b-5p (b), miR-199a-3p (c), miR-221-3p (d), and miR-451a (e) in dissected tumor tissue of EC1 and EC2 (p < 0.0001, p = 0.0005, p < 0.0001, p = 0.0029, p < 0.0001, respectively). P-values were calculated using the Mann–Whitney test.
Homogeneous expression of selected miRNAs in EC and HE tissues. The expression of miR-21-3p (a), miR-34a-5p (b), miR-96-5p (c), miR-134-5p (d), miR-146-5p (e), miR-150-5p (f), miR-181b-5p (g), miR-182-5p (h), miR-200b-3p (i), miR-211-3p (j), and miR-410-3p (k). P-values were calculated using Mann–Whitney test, p > 0.05.
MiR-34a-5p and miR-146-5p are upregulated in EC1 compared to EC2
Next, we analyzed the differences in miRNAs expression profiles between EC1 and EC2. Out of 30 EC samples used in this study, 18 samples were EC1 type and 12 samples were EC2. The expression of two miRNAs was upregulated in EC1 compared to EC2. These were miR-34a-5p (Fig. 4a, upregulated 5.43 times, p = 0.031) and miR-146-5p (Fig. 4b, upregulated 3.50 times, p = 0.0479). There was no differences in expression of miR-21-3p, miR-23b, miR-96-5p, miR-125b-5p, miR-134-5p, miR-150-5p, miR-181b-5p, miR-182-5p, miR-199a-3p, miR-200b-3p, miR-211-3p, miR-221-3p, miR-410-3p, and miR-451a between EC1 and EC2 specimens (Fig. 5a–n, p > 0.05).
miR-34a and miR-146-5p are decreased in EC2 compared to EC1. The expression of miR-34a-5p (a) and miR-146-5p (b) in dissected tumor tissue of EC1 and EC2 (p = 0.031, p = 0.0479, respectively). P-values were calculated with Mann–Whitney.
Homogeneous expression of selected miRNAs in EC1 and EC2 tumor tissues. The expression of miR-21-3p (a), miR-23b (b), miR-96-5p (c), miR-125b-5p (d), miR-134-5p (e), miR-150-5p (f), miR-181b-5p (g), miR-182-5p (h), miR-199a-3p (i), miR-200b-3p (j), miR-211-3p (k), miR-221-3p (l), miR-410-3p (m), and miR-451a (n). P-values were calculated using Mann–Whitney test, p > 0.05.
MiR-23b, miR-125b-5p miR-199a-3p, miR-221-3p are downregulated in TCGA cohort
To confirm our findings, we analyzed the expression of investigated miRNAs in The Cancer Genome Atlas (TCGA) on the cohort of 418 EC tissues and 32 HE controls using OncomiR database20. The levels of miR-23b (Fig. 6a, downregulated 1.87 times, p < 0.0001), miR-125b-5p (Fig. 6b, downregulated 2.34 times, p < 0.0001) miR-199a-3p (Fig. 6c, downregulated 1.26 times, p = 0.0067), and miR-221-3p (Fig. 6d, downregulated 1.45 times, p = 0.0110) were significantly downregulated in EC compared to HE. There were no differences in expression levels of miR-451a in EC compared to HE (Fig. 6e, p > 0.05).
Downregulation of miR-23b, miR-199a, and miR-221 in TCGA cohort. Analysis of TCGA Uterine Corpus Endometrial Carcinoma (EC) cohort using OncomiR database20. The level of miR-23b (a), miR-125b-3p (b), miR-199a (c), miR-221 (d), and miR-451a (e) presented as reads per million (RPM) miRNAs mapped. Healthy endometrial tissues (HE, n = 32), EC tissues (n = 418). Median indicated as dashed line; quartiles indicated as solid lines. (p < 0.0001, p < 0.0001, p = 0.0067, p = 0.0110, respectively) P-values were calculated using Mann–Whitney test.
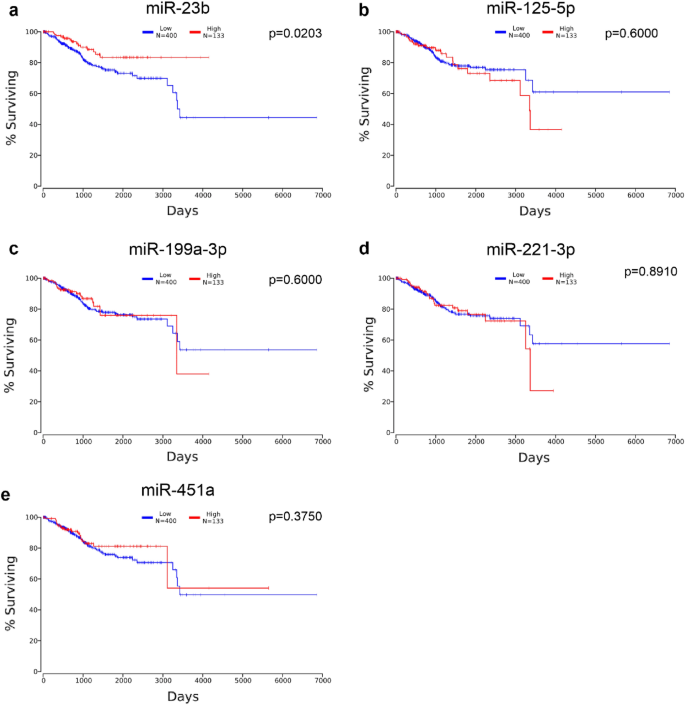
Decreased miR-23b expression is associated with worse survival
Further, we checked whether the expression of downregulated miRNAs in the EC tissue correlated with the survival of patients. We analyzed the patients' survival and miRNAs level in TCGA EC cohort using OncoLnc21. We found that worse survival was associated only with decreased expression of miR-23b (Fig. 7a, p = 0.0203). The decreased expressions of miR-125-5p, miR-199a-3p, miR-221-3p, or miR-451a were not correlated with the survival of EC patients (Fig. 7b–e, p > 0.05).
Decreased miR-23b expression is associated with worse survival of EC patients. Survival of EC patients based on the miR-23b (a), miR-125b-5p (b), miR-199a-3p (c), miR-221-3p (d), miR-451a (e) expression in TCGA cohort (n = 533) data using OncoLnc21. Patients were divided based on miRNA level low:high 75:25. Logrank P-value presented in the graphs.
miR-23b suppresses the proliferation of EC cells
Decreased expression of miR-23b in EC tissue suggests its role as tumor-suppressor miRNA. To determine whether miR-23b may act as a tumor-suppressor, we transfected Ishikawa EC cells with synthetic mimic miR-23b, anti miR-23b (inhibitor of miR-23b), and corresponding scramble control and performed a proliferation assay. We observed that upregulation of miR-23b with mimic miR-23b potently suppressed the proliferation of Ishikawa cells (Fig. 8, p = 0.0065). Conversely, inhibition of miR-23b with anti miR-23b upregulated the proliferation of Ishikawa cells (Fig. 8, p = 0.0226). It suggests that miR-23b is a tumor suppressor miRNA in EC. Further, we analyzed The Encyclopedia of RNA Interactomes (ENCORI)22 to identify the enriched KEGG pathways of miR-23b targets (Table 1)23,24,25. It revealed that miR-23b regulates crucial pathways in cancer, including P53 signaling pathway, Wnt signaling pathway, mTOR pathway, cell cycle, and pathways regulating the actin cytoskeleton.
miR-23b suppresses proliferation of EC cells. (a) The relative proliferation of mimic miR-23b- and anti miR-23b-transfected Ishikawa cells compared to corresponding control miR-scramble (miR-scr)-transfected cells (n = 3). (b) Representative photos of proliferation assay. P-values were calculated using paired T test (**p = 0.006, *p = 0.0226).
Discussion
Aberrant expression of miRNAs has been observed in many types of cancers, including EC12,26,27,28. Our recent systematic review revealed that miRNAs are crucial regulators of EC progression16. By analyzing 115 articles, we identified 106 dysregulated miRNAs involved in the modulation of the EC invasiveness and metastasis. They regulate not only EC cells invasion and migration but also influence metastasis and tumor growth. Moreover, the expression of several miRNAs was correlated with clinical parameters of EC patients16. In this study, we analyzed the expression of 16 miRNAs with a well-established role in tumor tissues of EC1 and EC2 as well as in healthy endometrium12. We identified five miRNAs, miR-23b, miR-125b-5p, miR-199a-3p, miR-221-3p, and miR-451a, that are downregulated in EC compared to HE.
MiR-23b plays contrary roles in different types of cancer but is a tumor suppressor miRNA in EC29,30. MiR-23b targets metastasis-associated in colon cancer-1 (MACC1) inhibiting EC cells proliferation, invasion, and migration. Moreover, miR-23b suppresses EC metastasis in vivo in a murine model30. The expression of miR-23b was downregulated in EC-derived cell lines compared to the normal fallopian epithelial cells It is also downregulated in FFPE EC tissues in the miRNA-profiling study31. Moreover, the expression of miR-23b was lower in grade 3 EC1 compared to grade 1 tumors32. We found that miR-23b is downregulated in EC tissues compared to HE regardless of the EC type. Additionally, analysis of the TCGA cohort revealed that decreased expression of miR-23b was correlated with the poor survival of EC patients. Upregulation of miR-23b in Ishikawa EC cells suppressed their proliferation while its inhibition potently upregulated it. Analysis of enriched pathways of miR-23b targets revealed that it regulates key signaling pathways in EC. Further studies are required to dissect the role of miR-23b as tumor suppressor miR in EC.
MiR-125b-5p expression was downregulated in EC tissue in our study which was confirmed in the TCGA cohort. In EC, miR-125b-5p acts as a tumor suppressor miRNA and inhibits invasion of EC cells by directly targeting protooncogene ERBB233. However, the expression of miR-125b-5p was not correlated with patients' survival, even though the decreased level of miR-125b-5p was found to be associated with higher histological grade and myometrial invasion34.
MiR-199a-3p is another miRNA that was downregulated in EC compared to HE35,36. Also, the increased level of miR-199a-3p was associated with better progression-free survival and overall survival of EC patients37, however, it was not the case for TCGA cohort patients.
Moreover, we found that miR-221-3p and miR-451a were downregulated in EC tissue compared to HE regardless of EC type. Notably, miR-221-3p was confirmed to be downregulated in the TCGA cohort of EC patients. Of note, miR-221 was identified as an oncomiRNA in other types of cancer, including breast cancer and liver cancer38. Its overexpression promotes tumor cell migration, invasiveness, and proliferation38. Our results suggest that the role of miR-221 is not critical for tumor growth in EC since its expression is decreased in this pathology. This is contrary to published data on other cancers, where miR-221 and miR-451a both act as tumor suppressor miRNAs, including ovarian cancer and cervical cancer39.
Further, we found that the expression of the majority of analyzed miRNAs was very similar in both types of EC. Only miR-34a-5p and miR-146-5p levels differed between both types, namely the expression of miR-34a-5p and miR-146-5p was upregulated in EC1 compared to EC2. There are discordant data concerning the level of expression of miR-34a-5p in EC compared to HE40,41. Nonetheless, miR-34a-5p was identified to act as tumor suppressor miRNA in EC. It targets Notch1, L1CAM, MMSET and thus inhibits EC cells migration, invasion, and EMT in vitro as well as tumor growth in vivo41,42,43. There are no studies regarding the role or the level of expression of miR-146-5p in EC. However, the expression of miR-146-5p was increased by estrogen in the plasma of rats with prostate cancer44, which may suggest that upregulation of miR-146-5p may be related to estrogens in EC1. Notably, currently most of the studies on miRNA expression in EC are based on classical classification into two types. However, there is an effort to include molecular classification of EC patients in clinical practice7. Therefore, studies are required to determine the profile of miRNAs expression in different types of EC.
As miRNAs reveal different expression patterns in healthy and cancerous tissues, they have great potential to be diagnostically and prognostically valuable biomarkers as well as potential therapeutic targets45. So far, a variety of miRNAs with different expression patterns in normal and malignant endometrial tissue have been identified46,47. MiRNAs expression can be determined in FFPE tissues and this evaluation could be performed in addition to the standard histopathological examination48. Moreover, using laser capture microdissection (LCM) it is possible to precisely dissect only tumor tissue without contamination of non-malignant cells surrounding tumor46,47,49,50. In this study, we dissected only neoplastic tissues or glandular healthy endometrium, so the analyses were not disturbed by adjacent tissues. The main limitation of our study is a low number of specimens of EC tissue and a lack of complete clinical data of included patients. For this reason, we were unable to correlate the expression of analyzed miRNAs with e.g. survival of our patients. Therefore, further studies are required to assess the clinical relevance of studied miRNAs in EC, especially the role of miR-23b as a prognostic biomarker.
Conclusions
In this study, we found that miR-23b, miR-125b-5p, miR-199a-3p, miR-221-3p, and miR-451a were downregulated in endometrial cancer compared to healthy endometrium. Additionally, the expression of miR-34a-5p and miR-146-5p were higher in EC1 than in EC2. Decreased miR-23b expression is associated with worse survival of EC patients. There is a need for further studies assessing the potential clinical use of described miRNAs as biomarkers.
Materials and methods
Patients tissue
A total of 45 patients were enrolled into the study, 18 patients diagnosed with EC1, 12 diagnosed with EC2, and 15 HE controls. Tumor tissues or healthy endometrial tissues were dissected from archival formalin-fixed paraffin-embedded (FFPE) using laser capture microdissection (LCM). The FFPE samples have been obtained from the Department of Pathology, Medical Center of Postgraduate Education, Warsaw, Poland. Patients data are presented in Table 2. The study was conducted following the Declaration of Helsinki and was approved by the Bioethical Committee Medical University of Warsaw (AKBE/78/2021, 17 May 2021). The patient’s consent was waived due to the performed anonymization and retrospective character of the study.
Hematoxylin and Eosin Staining
Resected tumors were formalin-fixed and paraffin-embedded according to the standard protocol in the tissue processor. Thereafter the samples were cut on microtome and hematoxylin and eosin-stained for the pathologist examination.
All samples were cut with a microtome to 10 µm slices and were mounted on glass slides with a drop of UltraPure DNAse/RNAse-free water. Then, samples were incubated in a fume hood at 56 °C for one hour to increase slices’ adherence. Mounted slices were hematoxylin and eosin-stained according to the standard protocol in a set of stains, alcohol solutions, and xylene. Slides were immediately subjected to LCM.
Laser capture microdissection
Stained and dehydrated sections of EC or HE were subjected to LCM-aided dissection of regions containing only neoplastic tissues or glandular healthy endometrium. Approximately 10 mm2 of each region was marked to dissect with LCM system (PALM Robo, Zeiss, Germany). These regions were selected by a board-certified pathologist. Each LCM was preceded by optimization of LCP energy and spot distance to provide a full dissection of marked areas. LCM was performed under the following conditions: LCP energy—80–90, LCP spot distance—25 μm, magnification—5×, tissue collected in 20 μl of Digestion Buffer (Norgen Biotek) in 500 μl sterile PCR-tube cap. Caps were sealed back with tubes, centrifuged briefly, and placed on wet ice until further steps49,50,51,52.
RNA isolation and RT-qPCR
Norgen Biotek FFPE RNA/DNA Purification Plus Kit was used for RNA isolation according to the manufacturer guidelines. RNA was eluted with 30 µl ultrapure, molecular-grade water, and stored at − 80 °C until the next steps. The purity and quantity of isolated RNA were assessed by the absorbance measurements at wavelengths of 260/280 nm using the NanoDrop2000 spectrophotometer (Thermo Fisher Scientific). Samples with 260/280 ratios between 1.8 and 2.1 were used for further analysis. RNA was then subjected to reverse transcription using Mir-X miRNA FirstStrand Synthesis (Takara, Clontech) followed by real-time qPCR using SYBR qRT-PCR (Thermo Fisher Scientific). Primers sequences used in the study are presented in Table 3. U6 (Takara, Clontech) was used as an endogenous control for the analysis of microRNA expression. The 2−ΔCt method was used to calculate relative expression using the mean Ct values of target genes and the control.
Bioinformatical analysis
Analysis of TCGA database of Uterine Corpus Endometrial Carcinoma (EC) cohort was performed using OncomiR database20. Analysis of the association of the miRNAs expression and EC patients' survival from the TCGA cohort (n = 533) was performed using OncoLnc21. Patients were divided based on miRNA level low: high 75:25. Analysis of enriched signaling pathways was performed using starBase22.
Proliferation assay
EC Ishikawa cells were cultured in Dulbecco's Modified Eagle Medium (DMEM) supplemented with heat-inactivated 10% (v/v) fetal bovine serum (FBS, Gibco), 100 U/ml penicillin and 100 μg/ml streptomycin (Sigma-Aldrich) at 37 °C in an atmosphere of 5% CO2 in the air. Cells were tested for Mycoplasma contamination using PCR technique and were confirmed to be negative.
All transfections were performed using DharmaFECT (ThermoFisher) according to the manufacturer's protocol. miR-23b mimic (assay ID: MC12931), anti miR-23b (assay ID: MH12931), mimic miR-scramble (miR-scr, miRNA Mimic Negative Control, catalog number: 4464058), and anti miR-scramble (anti-miR scr, miRNA Inhibitor, Negative Control, catalog number: 4464078) were obtained from Invitrogen mirVan (Thermo Fisher Scientific). miRs were used at a final concentration of 50 nM. The efficiency of the transfection was determined by RT-qPCR method. For proliferation assay, 1 × 105 cells/well were seeded in 12-well plates 24 h after transfection and were incubated for 48 h. Then, cells were fixed with 4% PFA and stained with 0.1% crystal violet. Cells were photographed using Nikon Ti-U. The photos were analyzed using ImageJ (National Institutes of Health, Bethesda MD, USA) and ColonyArea plugin53.
Data processing and analysis
Data were collected and processed with Excel 2016 (Microsoft, USA). Statistical analyses were conducted with GraphPad Prism 8.4.3 (GraphPad Software Inc.) using the Mann–Whitney and log-rank tests. Data distribution was tested using the Shapiro–Wilk test. All values in Figs. 2, 3, 4 and 5 are represented as median and 95% CI. Data in Fig. 6. is presented as a violin plot with the median indicated as dashed line and quartiles indicated as solid lines. Data in Fig. 7 is presented as a Kaplan–Meier plot. A p value of < 0.05 was considered statistically significant.
Data availability
The data that support the findings of this study are available from T.M.G. or K.K. upon reasonable request. Data from TCGA https://www.cancer.gov/tcga are publicly available.
References
Makker, V. et al. Endometrial cancer. Nat. Rev. Dis. Primers 7, 88. https://doi.org/10.1038/s41572-021-00324-8 (2021).
Siegel, R. L., Miller, K. D., Fuchs, H. E. & Jemal, A. Cancer statistics, 2022. CA Cancer J. Clin. 72, 7–33. https://doi.org/10.3322/caac.21708 (2022).
Calle, E. E., Rodriguez, C., Walker-Thurmond, K. & Thun, M. J. Overweight, obesity, and mortality from cancer in a prospectively studied cohort of U.S. adults. N. Engl. J. Med. 348, 1625–1638. https://doi.org/10.1056/NEJMoa021423 (2003).
National Cancer Institute Surveillance, Epidemiology, and End results program. Cancer Stat facts: Uterine Cancer. https://seer.cancer.gov/statfacts/html/corp.html (2021). Accessed 1 Aug 2021.
Bokhman, J. V. Two pathogenetic types of endometrial carcinoma. Gynecol. Oncol. 15, 10–17. https://doi.org/10.1016/0090-8258(83)90111-7 (1983).
Masood, M. & Singh, N. Endometrial carcinoma: Changes to classification (WHO 2020). Diagn. Histopathol. 27, 493–499. https://doi.org/10.1016/j.mpdhp.2021.09.003 (2021).
Kandoth, C. et al. Integrated genomic characterization of endometrial carcinoma. Nature 497, 67–73. https://doi.org/10.1038/nature12113 (2013).
Mohr, A. M. & Mott, J. L. Overview of microRNA biology. Semin. Liver Dis. 35, 3–11. https://doi.org/10.1055/s-0034-1397344 (2015).
Ali Syeda, Z., Langden, S. S. S., Munkhzul, C., Lee, M. & Song, S. J. Regulatory mechanism of microRNA expression in cancer. Int. J. Mol. Sci. https://doi.org/10.3390/ijms21051723 (2020).
Peng, Y. & Croce, C. M. The role of MicroRNAs in human cancer. Signal Transduct. Target. Ther. 1, 15004. https://doi.org/10.1038/sigtrans.2015.4 (2016).
Gebert, L. F. R. & MacRae, I. J. Regulation of microRNA function in animals. Nat. Rev. Mol. Cell Biol. 20, 21–37. https://doi.org/10.1038/s41580-018-0045-7 (2019).
Grzywa, T. M., Klicka, K. & Włodarski, P. K. Regulators at every step-how microRNAs drive tumor cell invasiveness and metastasis. Cancers (Basel) https://doi.org/10.3390/cancers12123709 (2020).
Hanahan, D. Hallmarks of cancer: New dimensions. Cancer Discov. 12, 31–46. https://doi.org/10.1158/2159-8290.Cd-21-1059 (2022).
Ruan, K., Fang, X. & Ouyang, G. MicroRNAs: Novel regulators in the hallmarks of human cancer. Cancer Lett. 285, 116–126. https://doi.org/10.1016/j.canlet.2009.04.031 (2009).
Zhang, B., Pan, X., Cobb, G. P. & Anderson, T. A. microRNAs as oncogenes and tumor suppressors. Dev. Biol. 302, 1–12. https://doi.org/10.1016/j.ydbio.2006.08.028 (2007).
Klicka, K., Grzywa, T. M., Klinke, A., Mielniczuk, A. & Włodarski, P. K. The role of miRNAs in the regulation of endometrial cancer invasiveness and metastasis—a systematic review. Cancers (Basel) https://doi.org/10.3390/cancers13143393 (2021).
Donkers, H., Bekkers, R. & Galaal, K. Diagnostic value of microRNA panel in endometrial cancer: A systematic review. Oncotarget 11, 2010–2023. https://doi.org/10.18632/oncotarget.27601 (2020).
Banno, K. et al. MicroRNAs in endometrial cancer. Int. J. Clin. Oncol. 18, 186–192. https://doi.org/10.1007/s10147-013-0526-9 (2013).
Kontomanolis, E. N. & Koukourakis, M. I. MicroRNA: The potential regulator of endometrial carcinogenesis. Microrna 4, 18–25. https://doi.org/10.2174/2211536604666150710094418 (2015).
Sarver, A. L., Sarver, A. E., Yuan, C. & Subramanian, S. O. M. C. D. OncomiR cancer database. BMC Cancer 18, 1223. https://doi.org/10.1186/s12885-018-5085-z (2018).
Anaya, J. OncoLnc: Linking TCGA survival data to mRNAs, miRNAs, and lncRNAs. PeerJ Comput. Sci. 2, e67 (2016).
Li, J. H., Liu, S., Zhou, H., Qu, L. H. & Yang, J. H. starBase v2.0: Decoding miRNA-ceRNA, miRNA-ncRNA and protein-RNA interaction networks from large-scale CLIP-Seq data. Nucleic Acids Res. 42, D92–D97. https://doi.org/10.1093/nar/gkt1248 (2014).
Kanehisa, M. & Goto, S. KEGG: Kyoto encyclopedia of genes and genomes. Nucleic Acids Res. 28, 27–30. https://doi.org/10.1093/nar/28.1.27 (2000).
Kanehisa, M. Toward understanding the origin and evolution of cellular organisms. Protein Sci. 28, 1947–1951. https://doi.org/10.1002/pro.3715 (2019).
Kanehisa, M., Furumichi, M., Sato, Y., Ishiguro-Watanabe, M. & Tanabe, M. KEGG: Integrating viruses and cellular organisms. Nucleic Acids Res. 49, D545–D551. https://doi.org/10.1093/nar/gkaa970 (2021).
Zaheer, U. et al. Expression profile of MicroRNA: An emerging hallmark of cancer. Curr. Pharm. Des. 25, 642–653. https://doi.org/10.2174/1386207322666190325122821 (2019).
Lu, J. et al. MicroRNA expression profiles classify human cancers. Nature 435, 834–838. https://doi.org/10.1038/nature03702 (2005).
Petrovic, N., Ergün, S. & Isenovic, E. R. Levels of microRNA heterogeneity in cancer biology. Mol. Diagn. Ther. 21, 511–523. https://doi.org/10.1007/s40291-017-0285-9 (2017).
Guo, Y. X. et al. The role of miR-23b in cancer and autoimmune disease. J. Oncol. 2021, 6473038. https://doi.org/10.1155/2021/6473038 (2021).
Chen, S. et al. The role of metastasis-associated in colon cancer 1 (MACC1) in endometrial carcinoma tumorigenesis and progression. Mol. Carcinog. 56, 1361–1371. https://doi.org/10.1002/mc.22599 (2017).
Jayaraman, M. et al. Identification of novel diagnostic and prognostic miRNA signatures in endometrial cancer. Genes Cancer 8, 566–576. https://doi.org/10.18632/genesandcancer.144 (2017).
Kalinkova, L. et al. Discriminating miRNA profiles between endometrioid well- and poorly-differentiated tumours and endometrioid and serous subtypes of endometrial cancers. Int. J. Mol. Sci. 21, 1. https://doi.org/10.3390/ijms21176071 (2020).
Shang, C., Lu, Y. M. & Meng, L. R. MicroRNA-125b down-regulation mediates endometrial cancer invasion by targeting ERBB2. Med. Sci. Monit. 18, Br149-155. https://doi.org/10.12659/msm.882617 (2012).
Buchynska, L. G., Borykun, T. V., Iurchenko, N. P., Nespryadko, S. V. & Nesina, I. P. Expression of microRNA in tumor cells of endmetrioid carcinoma of endometrium. Exp. Oncol. 42, 289–294. https://doi.org/10.32471/exp-oncology.2312-8852.vol-42-no-4.15522 (2020).
Wu, D., Huang, H.-J., He, C.-N. & Wang, K.-Y. MicroRNA-199a-3p regulates endometrial cancer cell proliferation by targeting mammalian target of rapamycin (mTOR). Int. J. Gynecol. Cancer 23, 1191–1197. https://doi.org/10.1097/IGC.0b013e31829ea779 (2013).
Cohn, D. E. et al. Comprehensive miRNA profiling of surgically staged endometrial cancer. Am. J. Obstet. Gynecol. 202(656), e651-656.e658. https://doi.org/10.1016/j.ajog.2010.02.051 (2010).
Cohn, D. E. et al. Comprehensive miRNA profiling of surgically staged endometrial cancer. Am J Obstet Gynecol 202(656), e651-658. https://doi.org/10.1016/j.ajog.2010.02.051 (2010).
Song, J. et al. Potential value of miR-221/222 as diagnostic, prognostic, and therapeutic biomarkers for diseases. Front. Immunol. https://doi.org/10.3389/fimmu.2017.00056 (2017).
Bai, H. & Wu, S. miR-451: A novel biomarker and potential therapeutic target for cancer. Onco Targets Ther. 12, 11069–11082. https://doi.org/10.2147/OTT.S230963 (2019).
Notaro, S. et al. Evaluating L1CAM expression in human endometrial cancer using qRT-PCR. Oncotarget 7, 40221–40232. https://doi.org/10.18632/oncotarget.9574 (2016).
Dong, P., Xiong, Y., Yue, J., Hanley, S. J. B. & Watari, H. miR-34a, miR-424 and miR-513 inhibit MMSET expression to repress endometrial cancer cell invasion and sphere formation. Oncotarget 9, 23253–23263. https://doi.org/10.18632/oncotarget.25298 (2018).
Wang, Z. et al. MicroRNA-34a inhibits cells proliferation and invasion by downregulating Notch1 in endometrial cancer. Oncotarget 8, 111258–111270. https://doi.org/10.18632/oncotarget.22770 (2017).
Schirmer, U. et al. Role of miR-34a as a suppressor of L1CAM in endometrial carcinoma. Oncotarget 5, 462–472. https://doi.org/10.18632/oncotarget.1552 (2014).
Nakamura, N., Davis, K., Yan, J., Sloper, D. T. & Chen, T. Increased estrogen levels altered microRNA expression in prostate and plasma of rats dosed with sex hormones. Andrology 8, 1360–1374. https://doi.org/10.1111/andr.12780 (2020).
He, B. et al. miRNA-based biomarkers, therapies, and resistance in Cancer. Int. J. Biol. Sci. 16, 2628–2647. https://doi.org/10.7150/ijbs.47203 (2020).
Coll-de la Rubia, E. et al. Prognostic biomarkers in endometrial cancer: A systematic review and meta-analysis. J. Clin. Med. 9, 1. https://doi.org/10.3390/jcm9061900 (2020).
Hutt, S. et al. The role of biomarkers in endometrial cancer and hyperplasia: A literature review. Acta Oncol. (Stockholm, Sweden) 58, 342–352. https://doi.org/10.1080/0284186x.2018.1540886 (2019).
Klopfleisch, R., Weiss, A. T. & Gruber, A. D. Excavation of a buried treasure–DNA, mRNA, miRNA and protein analysis in formalin fixed, paraffin embedded tissues. Histol. Histopathol. 26, 797–810. https://doi.org/10.14670/hh-26.797 (2011).
Grzywa, T. M. et al. Higher mutation burden in high proliferation compartments of heterogeneous melanoma tumors. Int. J. Mol. Sci. https://doi.org/10.3390/ijms22083886 (2021).
Grzywa, T. M. et al. miR-410-3p is induced by vemurafenib via ER stress and contributes to resistance to BRAF inhibitor in melanoma. PLoS ONE 15, e0234707. https://doi.org/10.1371/journal.pone.0234707 (2020).
Pełka, K. et al. miR-96-5p, miR-134-5p, miR-181b-5p and miR-200b-3p heterogenous expression in sites of prostate cancer versus benign prostate hyperplasia-archival samples study. Histochem. Cell Biol. 155, 423–433. https://doi.org/10.1007/s00418-020-01941-2 (2021).
Grzywa, T. M. et al. Lineage-dependent role of miR-410-3p as oncomiR in gonadotroph and corticotroph pituitary adenomas or tumor suppressor miR in somatotroph adenomas via MAPK, PTEN/AKT, and STAT3 signaling pathways. Endocrine 65, 646–655. https://doi.org/10.1007/s12020-019-01960-7 (2019).
Guzmán, C., Bagga, M., Kaur, A., Westermarck, J. & Abankwa, D. ColonyArea: An ImageJ plugin to automatically quantify colony formation in clonogenic assays. PLoS ONE 9, e92444. https://doi.org/10.1371/journal.pone.0092444 (2014).
Acknowledgements
This research was funded by the National Centre of Science, grant number 2021/41/N/NZ5/02772 (K.K.). T.M.G. is supported by the Foundation for Polish Science (FNP). The APC was funded by the Medical University of Warsaw.
Author information
Authors and Affiliations
Contributions
K.K. acquired funding, planed and conducted the experiments, analyzed the results, and wrote the manuscript. T.M.G. conceived the experiments, conducted the experiments, analyzed the results, prepared figures, supervised the study, and wrote the manuscript. A.K. collected and analyzed clinical data of the patients. A.M. wrote the manuscript. J.W. and J.O. performed collected and provided HE and EC samples and performed histopathological analysis of the samples. A.G. participated in the experiments. P.K.W. acquire funding and supervised the study. All authors have read and agreed to the published version of the manuscript.
Corresponding authors
Ethics declarations
Competing interests
The authors declare no competing interests.
Additional information
Publisher's note
Springer Nature remains neutral with regard to jurisdictional claims in published maps and institutional affiliations.
Rights and permissions
Open Access This article is licensed under a Creative Commons Attribution 4.0 International License, which permits use, sharing, adaptation, distribution and reproduction in any medium or format, as long as you give appropriate credit to the original author(s) and the source, provide a link to the Creative Commons licence, and indicate if changes were made. The images or other third party material in this article are included in the article's Creative Commons licence, unless indicated otherwise in a credit line to the material. If material is not included in the article's Creative Commons licence and your intended use is not permitted by statutory regulation or exceeds the permitted use, you will need to obtain permission directly from the copyright holder. To view a copy of this licence, visit http://creativecommons.org/licenses/by/4.0/.
About this article
Cite this article
Klicka, K., Grzywa, T.M., Klinke, A. et al. Decreased expression of miR-23b is associated with poor survival of endometrial cancer patients. Sci Rep 12, 18824 (2022). https://doi.org/10.1038/s41598-022-22306-w
Received:
Accepted:
Published:
Version of record:
DOI: https://doi.org/10.1038/s41598-022-22306-w










