Abstract
Chirps are familiar in nature, have a built-in resistance to noise and interference, and are connected to a wide range of highly oscillatory processes. Detecting chirp oscillating patterns by traditional Fourier series is challenging because the chirp frequencies constantly change over time. Estimating such types of functions considering the partial sums of a Fourier series in Fourier analysis does not permit an approximate solution, which entails more Fourier coefficients required for signal reconstruction. The standard Fourier series, therefore, has a poor convergence rate and is an inadequate approximation. In this study, we use a parameterized orthonormal basis with an adjustable parameter to match the oscillating behavior of the chirp to approximate linear chirps using the partial sums of a generalized Fourier series known as fractional Fourier series, which gives the best approximation with only a small number of fractional Fourier coefficients. We used the fractional Fourier transform to compute the fractional Fourier coefficients at sample points. Additionally, we discover that the fractional parameter has the best value at which fractional Fourier coefficients of zero degrees have the most considerable magnitude, leading to the rapid decline of fractional Fourier coefficients of high degrees. Furthermore, fractional Fourier series approximation with optimal fractional parameters provides the minimum mean square error over the fractional Fourier parameter domain.
Similar content being viewed by others
Introduction
Chirps often occur in nature because of the Doppler effect1,2. Chirps can be found3,4,5 both in nature, such as wave physics, mechanics, vibrations, biology, medicine6 Moreover, manufactured systems such as radar and sonar. The radar echo of a moving target with constant acceleration is a chirp function. In mathematics, chirps are often shown to exist in the forms of Weierstrass functions7 Riemann functions or Daubechies wavelets transforms of higher order.
A mathematical extension of the conventional Fourier series is the fractional Fourier series. Every subject where the traditional Fourier series is used has the potential to use it. The Fractional Fourier series is an elegant series with applications8,9,10 in engineering, science, and technology. Pei et al. 10 first introduced fractional Fourier series and used it in the expansion of linear chirps. Later, Barkat and Yingtuo11 presented modified fractional Fourier series that approximate generalized chirps with an arbitrary central frequency. Yu performed numerical simulations of Gaussian chirp signals12 using fractional Fourier series expansions. Coetmellec13 did fractional order Fourier analysis of chirped pulses and Brunel14 performed fractional order Fourier analysis of ultra-short pulse characterization and SPIDER interferograms. A fractional Fourier transform is a mathematical development of the conventional Fourier transform with a movable parameter, and it functions similarly to the conventional Fourier transform. In order to solve specific integro—differential equations and partial differential equations of quantum physics, Wiener developed the fractional Fourier transform15 in 1929. Bultheel16 constructed the mathematical theory of the fractional Fourier transformations by constructing its algebra and calculus. The theory of the fractional Fourier transform on the space \(L_{2} \left( {\mathbb{R}} \right)\) was presented by McBride and Kerr17, and its implementations to partial differential equations were covered.
To sum up, the intention of this paper is twofold: First, to evaluate the fractional Fourier coefficients in closed form to provide the mathematical proofs of results related to chirp approximation, and second, to prove the minimality of mean square error in fractional Fourier series expansion of the linear chirps on fractional Fourier parameter domain. We outline this paper and provide a short overview of the main results. In "Preliminaries" section, we introduce chirps and exponential linear chirps. Then, we introduce fractional Fourier series and fractional Fourier transform for the space of square-integrable functions. In "Main results" section is the main section where we compute fractional Fourier coefficients by using the fractional Fourier transform method.
We also provide fresh findings about the fractional Fourier coefficients of linear chirps. We demonstrate that when the fractional Fourier parameter is fixed, the maximum value of the zero-degree fractional Fourier coefficient and the rapid decrease of the high-degree fractional Fourier coefficient are obtained. As a result, the approximation of the fractional Fourier series has a minimal mean square error. We summarize the findings and recommendations in "Conclusion" section.
Preliminaries
A chirp function is a function that advances in time while sweeping all frequencies across a predetermined interval. A chirp can sweep frequencies in various ways (linear, quadratic, logarithmic, etc.). However, the most used chirps are linear.
Definition
Chirps are functions defined by.
where \(F, {\Phi }\) are amplitude and phase functions, respectively. Such that \(F\left( x \right), {\Phi }\left( x \right) \in {\mathbb{R}}\).
When compared to a smooth amplitude function, \(F\left( x \right),\) with slow variations, the phase function \({\Phi }\left( x \right)\) is highly oscillatory, the variations of \({\Phi }\left( x \right)\) and \(F\left( x \right)\) depend upon the following two conditions18 given below,
where \({\dot{\Phi }}\left( {\text{x}} \right) \ne 0\). Both requirements given above are intended to define the concept of rapid oscillations within a slowly shifting envelope.
Since the human perception of sound intensity is depicted as a logarithmic function. By replacing the phase function \(F\left( x \right)\) in the above equation with the function of the form
and amplitude function \(\Phi \left( x \right)\) by a quadratic polynomial of the form
the chirp becomes an exponential linear chirp, which is given below
We consider the space \(L_{2} \left[ { - \frac{T}{2},\frac{T}{2}} \right]\) of square-integrable complex-valued functions u that satisfy
We establish the inner product between both the two complex-valued functions u and v in the range \(L_{2} \left[ { - \frac{T}{2},\frac{T}{2}} \right]\) as follows
where \(\overline{v}\) is the complex conjugate of v. Moreover, the norm u to be associated with is
The fractional Fourier Transform of \(u\) is defined as
where \(\theta \in {\mathbb{R}}\) is the fractional Fourier order and \(K_{\theta } \left( {x,j} \right)\) is the kernel of transformation, defined by
where \(\delta\) is the Dirac delta function.
The function u can be retrieved by applying inverse fractional Fourier transform defined as
If \({\varvec{\theta}} = 0\) the fractional Fourier transform of the function \(u\left( x \right)\) is signal is itself if \({\varvec{\theta}} = \frac{{\varvec{\pi}}}{2}\) it becomes Fourier transform. The reconstruction of the chirp signal to minimize the error by finding the best fractional Fourier parameter is increasing. We introduce the fractional Fourier series for the space of \(L_{2} \left[ { - \frac{T}{2},\frac{T}{2}} \right]\) The standard Fourier basis is replaced by the basis containing the chirp signal.
Definition
Let the fractional Fourier basis for the function \(u \in L_{2} \left[ { - \frac{T}{2},\frac{T}{2}} \right]\) is defined by.
where
on \(\left[ { - \frac{T}{2},\frac{T}{2}} \right].\) Let \(0 \le \theta \le \frac{\pi }{2}\) be the fractional Fourier domain. The fractional Fourier coefficients \(\left\{ {C_{n,\theta } :n \in {\mathbf{\mathbb{Z}}}, 0 \le \theta \le \frac{\pi }{2}} \right\}\) of u computed by taking the inner product of chirp basis functions.
\(\varphi_{n,\theta } \left( x \right)\) and chirp \(u\) as
The fundamental chirp function \(\varphi_{n,\theta } \left( x \right)\) Fourier series is therefore described by
The traditional Fourier series is a particular case of fractional Fourier series for \(\theta = \frac{\pi }{2}\).
Main results
The fractional Fourier coefficients are integrals with integrands as quadratic exponentials over a finite interval. Therefore, the fractional Fourier series on a finite interval is dealt with through numerical methods10,11,12,13,19. Fractional Fourier coefficients can be represented in the form of complex error functions. The error functions are special functions of mathematical physics that do not have any closed form. It is not straightforward to prove results mathematically. That is why the mathematical results on fractional Fourier series over a finite interval have been less available in the literature. We use the fractional Fourier transform method, which has introduced by S.C Pei10 to evaluate fractional Fourier coefficients.
Lemma 1
Consider a linear chirp \(u = e^{{ - \pi \nu x^{2} }} e^{{ - \iota \pi \lambda x^{2} }}\). Then the absolute value of fractional Fourier coefficients is.
Proof
The fractional Fourier coefficients for the chirp \(u(x)\) are derived from the values obtained of the fractional Fourier series10.
Using the definition of fractional Fourier transform, we have
Replacing \(u\left(x\right)\) and \({K}_{\theta }\left(x,\frac{2n\pi }{T}\mathrm{sin}\theta \right),\) we write \({C}_{n,\theta }\) as
Simplification and collecting like terms, we write (3.1)
For sake of simplicity, we take
Then (3.2) can be written in the simple form
Applying completing square method to the exponent of the integrand in (3.3)
We apply the substitution method to compute the integral. Let
Now integral (3.4) becomes,
Since \(C_{n, \theta }\) is a complex-valued, we use the property of complex-valued functions to write
Since
Substituting \(r, s, t and B\) in (3.5), we have
We use an optional fractional Fourier parameter \(\theta_{opt}\) given by
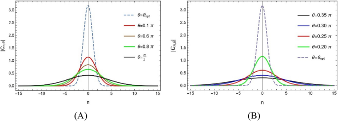
in the \(0 \le \theta \le \frac{\pi }{2}\) the domain of fractional Fourier parameters. Using the \(\theta_{opt}\) parameter for the fractional Fourier transform. The fractional Fourier coefficient of zero degrees has an absolute value that is of the most significant magnitude. As a result, there is a rapid decline in the absolute amount of the fractional Fourier coefficients of great degree. Figure 1 depicts the behaviour of fractional Fourier coefficients \(\left| {C_{n,\theta } } \right|\) for different fractional Fourier parameters.
For the chirp \(u = e^{{ - \nu \pi x^{2} }} e^{{ - \iota \pi \lambda x^{2} }} T\) he graphs of the \(\left| {C_{n,\theta } } \right|\) using \(\lambda = 0.75\) over \(- 15 \le n \le 15\) (A) over the domain \(0 \le \theta \le \theta_{opt} \approx 0.209\) (B) For \(0.209 \approx \theta_{opt} \le \theta \le \frac{\pi }{2}\)\(.\)
The three-dimensional behavior of fractional Fourier coefficients \(\left| {C_{n,\theta } } \right|\) fractional Fourier parameter domain \(0 \le \theta \le \frac{\pi }{2}\) is shown in Fig. 2.
For the chirp \(u = e^{{ - \nu \pi x^{2} }} e^{{ - \iota \pi \lambda x^{2} }} ,\) the three-dimensional plot of \(\left| {C_{n,\theta } } \right|\), taking \(\nu = 0.1\pi , \lambda = \frac{3}{4}\) over \(- 15 \le n \le 15\).
Theorem 1 establishes that the absolute value of fractional zero-degree Fourier coefficients has the most significant magnitude.
Theorem 1
Consider a linear chirp \(u = e^{{ - \nu \pi x^{2} }} e^{{ - \iota \pi \lambda x^{2} }} ,\) then zero-degree fractional Fourier coefficients have maximum value. Mathematically.
Proof
We prove the theorem for \(n \in {\mathbb{R}}\). Since \({\mathbb{Z}} \subseteq {\mathbb{R}}\), the result holds for \(n \in {\mathbb{Z}}\). Let.
\(U\left( n \right) = \left| {C_{n,\theta } } \right|^{2}\).
Then by Lemma 1, we write
It is sufficient to prove.
\(\frac{dU}{{dn}} = 0\) for \(n = 0\).
\(\frac{dU}{{dn}} < 0\) for \(n > 0\).
\(\frac{dU}{{dn}} > 0\) for \(n < 0\).
Differentiating \(U\left( n \right)\) in (3.7) concerning “n”, we have
Now setting
we write.
From (3.8), we see that \(n = 0\). Here we conclude that \(\frac{dU}{{dn}} > 0\) for \(n < 0\) and \(\frac{dU}{{dn}} < 0\) for \(n > 0\).
We have proved that the absolute value of the fractional Fourier coefficient of zero degrees has maximum magnitude. Now we prove in Theorem 2 to show that the maximum absolute value of the fractional Fourier coefficient occurs when \(\theta = \theta_{opt}\).
Theorem 2
Consider a linear chirp \(u = e^{{ - \nu \pi x^{2} }} e^{{ - \iota \pi \lambda x^{2} }}\). The zero-degree fractional Fourier coefficient has a maximum value when \(\theta = \theta_{opt}\).
. i.e.,
Proof
Let.
From Lemma 1, taking \(n = 0\) in (3.6), we have
It is sufficient to prove.
\(\frac{dV}{{dn}} = 0\) for \(\theta = \theta_{opt}\).
\(\frac{dV}{{dn}} < 0\) for \(\theta > \theta_{opt}\).
\(\frac{dV}{{dn}} > 0\) for \(\theta < \theta_{opt}\).
Differentiating \(V\left( \theta \right)\) in (3.9) with respect to \(\theta\),
Now setting
We have
From (3.11), we see that
Since \(\csc^{2} \theta \ne 0\) on \(0 \le \theta \le \frac{\pi }{2}\). Therefore
Now from (3.10), we see that
The minimal mean square error is produced by the partial sums of fractional Fourier series with the best possible fractional Fourier parameters while approximating linear chirps. The following sentence describes the best approximation: Think about a linear chirp
the complex exponentials \(\varphi_{n,\theta }\) and the \(L_{2}\) norm \(\left\| { \cdot_{L2} } \right\|\). We take all basis \(\left\{ {\varphi_{n,\theta } :n \in {\mathbb{Z}}} \right\}\) with \(0 \le \theta \le \frac{\pi }{2}\) and from the corresponding partial sums \(S_{N,\theta } ,\) where
The partial sum \(S_{N,\theta }\) is the best match to u on \(\left[ { - \frac{T}{2},\frac{T}{2}} \right]\) for high N thanks to a parameter \(\theta_{opt}\) in the fractional Fourier parameter domain \(0 \le \theta \le \frac{\pi }{2}\). The fractional Fourier series estimate of chirps' mean square error is depicted in Fig. 3
For the chirp \(u = e^{{ - \nu \pi x^{2} }} e^{{ - \iota \pi \lambda x^{2} }} ,\) the graph of mean square error in the fractional Fourier series approximation of exponential chirps for \(N = 3\) and (A) by taking \(\lambda = 0.75\) for various values of \(\nu\) (B) by taking \(\nu = \frac{1}{200\pi }\) for various values of \(\lambda\).
We prove Theorem 3 to show that mean square error attains the minimum value at \(\theta = \theta_{opt}\) when linear chirp is approximated by fractional Fourier series for sufficiently large values of \(N\).
Theorem 3
Consider a linear chirp \(u = e^{{ - \nu \pi x^{2} }} e^{{ - \iota \pi \lambda x^{2} }}\). Then mean square error in fractional Fourier series approximation holds the following property.
Proof
By using Parseval's identity, we write.
Let
From Lemma 1, using value of \(\left| {C_{n,\theta } } \right|^{2}\), we express \(Y\left( \theta \right)\) in the following form
It is sufficient to prove.
\(\frac{dY}{{d\theta }} = 0\) for \(\theta = \theta_{opt}\).
\(\frac{dY}{{d\theta }} > 0\) for \(\theta > \theta_{opt}\).
\(\frac{dY}{{d\theta }} < 0\) for \(\theta < \theta_{opt}\).
Differentiating \(Y\left( \theta \right)\) in (3.12) concerning \(\theta\), we get
After simplification of like terms, we have
Now setting
We have
From (3.13), we see that
Therefore
Now
and
From (3.13), we see that
This gives
Again from (3.13) we see that
This gives
We proved the theorem for \(\left| {C_{n,\theta } } \right|^{2}\), consequently, it holds for
Therefore
Hence
Conclusion
To sum up, the objectives we obtained in this work are listed below:
-
Utilizing fractional Fourier series and fractional Fourier transform, we looked at the characteristics of fractional Fourier coefficients of linear chirps.
-
We demonstrated that the \({\varvec{\theta}}_{{{\varvec{opt}}}}\) approach outperforms the conventional Fourier series method in the linear chirps approximation by setting the fractional Fourier parameter to a constant value.
-
The analysis has discovered that using the optimal fractional Fourier parameter \({\varvec{\theta}}_{{{\varvec{opt}}}}\), zero-degree fractional Fourier coefficients attain maximum, and consequently, large-degree fractional Fourier coefficients have the fastest decay.
-
We have demonstrated that the fractional Fourier series is helpful for chirp analysis and achieves minimal mean square error in the fractional Fourier parameter domain.
Data availability
All the data are clearly available in the manuscript.
References
Aguilera, T., Álvarez, F. J., Paredes, J. A. & Moreno, J. A. Doppler compensation algorithm for chirp-based acoustic local positioning systems. Digit. Signal Process. 100, 102704 (2020).
Luo, Y., Zhang, Q., Qiu, C. W., Liang, X. J. & Li, K. M. Micro-Doppler effect analysis and feature extraction in ISAR imaging with stepped-frequency chirp signals. IEEE Trans. Geosci. Remote Sens. 48(4), 2087–2098 (2009).
Carlen, E. & Vilela Mendes, R. Signal reconstruction by random sampling in chirp space. Nonlinear Dyn. 56(3), 223–229 (2009).
Jaffard, S., & Meyer, Y. (1996). Wavelet methods for pointwise regularity and local oscillations of functions (Vol. 587). American Mathematical Soc.
Meyer, Y. & Xu, H. Wavelet analysis and chirps. Appl. Comput. Harmon. Anal. 4(4), 366–379 (1997).
Schiff, S. J. et al. Brain chirps: Spectrographic signatures of epileptic seizures. Clin. Neurophysiol. 111(6), 953–958 (2000).
Borgnat, P. & Flandrin, P. On the chirp decomposition of Weierstrauss-Mandelbrot functions, and their time-frequency interpretation. Appl. Comput. Harmon. Anal. 15(2), 134–146 (2003).
Akan, A. & Çekiç, Y. A fractional Gabor expansion. J. Franklin Inst. 340(5), 391–397 (2003).
Bhandari, A. & Marziliano, P. Sampling and reconstruction of sparse signals in fractional Fourier domain. IEEE Signal Process. Lett. 17(3), 221–224 (2009).
Pei, S. C., Yeh, M. H. & Luo, T. L. Fractional Fourier series expansion for finite signals and dual extension to discrete-time fractional Fourier transform. IEEE Trans. Signal Process. 47(10), 2883–2888 (1999).
Barkat, B., & Yingtuo, J. (2003). A modified fractional Fourier series for the analysis of finite chirp signals & its application. In Seventh International Symposium on Signal Processing and Its Applications, 2003. Proceedings. (Vol. 1, pp. 285–288). IEEE.
Yu, F. Fractional Fourier Series Analysis of Gaussian Pulse Chirp Signal. In 2011 7th International Conference on Wireless Communications, Networking and Mobile Computing (pp. 1–3). IEEE, (2011).
Coëtmellec, S., Brunel, M., Lebrun, D. & Lecourt, J. B. Fractional-order Fourier series expansion for the analysis of chirped pulses. Opt. Commun. 249(1–3), 145–152 (2005).
Brunel, M., Coëtmellec, S., Lebrun, D. & Ameur, K. A. Digital phase contrast with the fractional Fourier transform. Appl. Opt. 48(3), 579–583 (2009).
Wiener, N. Hermitian polynomials and Fourier analysis. J. Math. Phys. 8(1–4), 70–73 (1929).
Bultheel, A. & Sulbaran, H. E. M. Computation of the fractional Fourier transform. Appl. Comput. Harmon. Anal. 16(3), 182–202 (2004).
McBride, A. C. & Kerr, F. H. On Namias’s fractional Fourier transforms. IMA J. Appl. Math. 39(2), 159–175 (1987).
Flandrin, P. Time frequency and chirps. In Wavelet Applications VIII (Vol. 4391, pp. 161–175). International Society for Optics and Photonics. (2001).
Shabbir, M. Approximation of chirp functions by fractional Fourier series (Doctoral dissertation, Dissertation, Lübeck, Universität Zu Lübeck, 2019).
Acknowledgements
The authors would like to thank the Deanship of Scientific Research at Umm Al-Qura University for supporting this work by Grant Code: (22UQU4310124DSR07).
Author information
Authors and Affiliations
Contributions
All author’s are equally contributed in the research work.
Corresponding author
Ethics declarations
Competing interests
The authors declare no competing interests.
Additional information
Publisher's note
Springer Nature remains neutral with regard to jurisdictional claims in published maps and institutional affiliations.
Rights and permissions
Open Access This article is licensed under a Creative Commons Attribution 4.0 International License, which permits use, sharing, adaptation, distribution and reproduction in any medium or format, as long as you give appropriate credit to the original author(s) and the source, provide a link to the Creative Commons licence, and indicate if changes were made. The images or other third party material in this article are included in the article's Creative Commons licence, unless indicated otherwise in a credit line to the material. If material is not included in the article's Creative Commons licence and your intended use is not permitted by statutory regulation or exceeds the permitted use, you will need to obtain permission directly from the copyright holder. To view a copy of this licence, visit http://creativecommons.org/licenses/by/4.0/.
About this article
Cite this article
Bafakeeh, O.T., Yasir, M., Raza, A. et al. The minimality of mean square error in chirp approximation using fractional fourier series and fractional fourier transform. Sci Rep 12, 19188 (2022). https://doi.org/10.1038/s41598-022-23560-8
Received:
Accepted:
Published:
Version of record:
DOI: https://doi.org/10.1038/s41598-022-23560-8





