Abstract
We estimate the impact of local night curfews in Hesse, the fifth most populous federal state in Germany, on the growth of incidences of COVID-19 cases residing within the “second wave” of the pandemic. Thereby, we take advantage of the fact that all counties had the same measures in place with the only difference that some additionally had to implement night curfews due to state regulations. This allows us to identify the effect of night curfews as a salient part of a bundled intervention. In our case where different other measures are already in place, night curfews had at best a limited effect in slowing down the spread of the pandemic. The effect is not significantly different from zero.
Similar content being viewed by others
Introduction
Since the end of 2019 a new coronavirus SARS-CoV-2 spreads rapidly over the whole world and in early 2020 the WHO declared COVID-19 a pandemic1. After a slowdown in the summer of 2020 the “second wave” of the pandemic hit Europe, including Germany, very hard. In order to limit virus transmission, German authorities declared a lockdown from November 2, 2020. Parts of that lockdown were several non-pharmaceutical interventions (NPIs). Besides the implementation of nationwide measures, such as the limitation of gatherings and business closures, some regions with very high infection rates additionally imposed night curfews. While at that time there was a broad consensus on the effectiveness of NPIs in general and curfews in particular (e.g.2,3), the public debate about night curfews is highly controversial (e.g.4).
Similarly, there is also no consensus in the academic literature on whether night curfews present an appropriate measure to combat the pandemic. While some authors find that they are beneficial5, other studies are inconclusive or even find negative effects6. However, typically multiple NPIs are imposed simultaneously which makes it challenging to isolate the effect of a single intervention7 [Note that5 also report corresponding problems concerning the isolation of the effects of night curfews (p. 10): “However, due to the broad nature of these interventions, they are also likely to interact with other active NPIs.”].
In this study we examine the effectiveness of night curfews by taking advantage of regional and time variation in their implementation. Based on the federal system of Germany, NPIs were not imposed at the national level and even within federal states some NPIs were not imposed in all counties. In our analysis we use Hesse, the fifth most populous federal state in Germany, as a case study to assess the effectiveness of night curfews from 9pm to 5am which were only introduced in some but not all counties during the second wave. Using this setup we take advantage of the fact that counties in Hesse had the same measures in place, e.g., mask-wearing policies, restrictions of social contacts, restaurant and retail store closure. The only difference was that some additionally had to implement night curfews as part of a bundled intervention, which included some minor NPIs, which were imposed simultaneously with a night curfew. The most important ones are an alcohol ban in certain major public urban areas and the prohibition of indoor individual sports (e.g. indoor tennis). In terms of effectiveness of these two measures, one has to take into account that the former banned outdoor alcohol consumption in winter times at a few well-defined spots, but not in others. As far as the later intervention is concerned, tennis playing in indoor courts hardly affects many people in Germany. Given the limited nature of these interventions, we didn’t further inquire into their possible isolated effect. Even though we are therefore not able to disentangle the effect of these different measures from the effect of the night curfew, it is obvious that the night curfew is the salient part of this bundled intervention. As we find that the effect of the joint measures is at best limited and not statistically different from zero, we conclude that this also holds for the effect of the night curfew in isolation. Of course, this conclusion is based on the reasonable assumption that the other measures do not increase the incidences. Finally, note that our identification strategy makes use of the fact that night curfews were implemented at different points in time and with different durations. This peculiarity allows us to identify a potential effect by using a control group when measuring the treatment effects.
Data and methodology
Our data set is built from two sources. Daily information on incidences (cumulative number of newly transmitted cases per 100,000 inhabitants over the past 7 days) at the county level were downloaded from the website of the Robert Koch Institute (RKI)8. Hessischer Rundfunk, the regional public broadcasting agency collected information on local night curfews in Hesse consisting of start and end dates per county. Our period of investigation starts on November 18, 2020 (when the RKI data start) and ends on February 28, 2021. This period resides within the second wave in Hesse. There are 26 counties of which 15 had a night curfew during our observation period. The average duration of a night curfew was 28 days. Figure 1 and Table 1 illustrates the timing of each night curfew and shows whether or not a curfew has been implemented.
Night curfews in Hesse.
The counties that had nighttime curfews and those that did not are similar in terms of some major characteristics such as population, population density, unemployment rate, real disposable income per capita, male-to-female ratio and average age. This is tested in two one sided t-tests of these characteristics, as shown in Table 2. The test statistics suggests that the counties that implemented nighttime curfews during our observation period and those that did not do not differ statistically in this regard.
To examine whether night curfews were effective in slowing down local incidence growth we apply a difference-in-differences approach. The idea is to asses whether incidence growth was smaller following a night curfew than it would have been in absence of it, by comparing the development of incidence growth in counties that have implemented night curfews with those that did not. A similar approach was used by10 and11 to examine the effects of several NPIs during the “first wave” in Germany.
As with all NPIs aiming to reduce incidences there is a notable time delay until a measure’s success can be evaluated. This is due to incubation period and delays in the recording and reporting of the incidence rates at the RKI website. The incubation period is assumed to be five days on average and the reporting lag adds two to nine days on top of that12. To account for the delay until night curfews actually unfold a measurable effect we move the start and end dates of each night curfew seven, fourteen and twenty-one days ahead of their real dates and construct a binary variable “Effective curfew” which is equal to one during this period and zero otherwise. In formal terms:
where i denotes counties and t days.
A major challenge in the identification of the effectiveness of night curfews comes from the fact that they have not been introduced randomly. On the contrary, night curfews have usually had to be implemented in counties in which the incidence exceeded a threshold of 200 on at least three consecutive days. [https://web.archive.org/web/20210130130947/https://www.hessen.de/fuer-buerger/corona-hessen/das-hessische-eskalationskonzept-im-ampelsystem] In other words, action was taken in counties with already higher incidences. While different incidence levels pre-curfew do not constitute a problem to identification, it may also be that incidence growth in counties that implemented night curfews already differed pre-curfew from those that did not implement a curfew. If the latter is the case the common trend assumption, i.e. homogeneity of incidence growth pre-curfew, would be violated and difference-in-differences estimation would fail to provide valid estimates of the the effectiveness of curfews.
To test the plausibility of the common trend assumption, we additionally include a binary variable into the model that indicates whether there were potential differences in pre-curfew developments. This variable is equal to one from seven days before the curfew actually starts until the “Effective curfew” ends. Before and after it is equal to zero. We label this variable “Incidence lead”. In formal terms:
Loosely speaking, the inclusion of the variable “Incidence lead” tests whether it is plausible to assume that the “common trend assumption” holds.
We further add a dummy which is equal to one for the post-curfew period of the treated counties, formally:
Thus, we are able to control whether the growth of incidences differ in the long run.
The three variables plus the actual curfew are illustrated in Fig. 2.
Exemplary illustration of the timeline.
The empirical model we estimate can be written as:
where I denotes the incidence in county i at day t. \(\beta _1\) is the coefficient of interest – the effect of the night curfew on the growth of incidences I. We further include fixed effects for each day in our sample \(\gamma _t\) in order to control for general developments of the pandemic spread and for each county \(\phi _i\) to control for time-invariant differences across counties that may effect the pandemic such as population density or demographic differences. Additionally, we include interactions of county fixed effects with a linear time trend in order to allow for different general developments over time across counties. Thereby, we accommodate potential trend differentials in our model. This allows us a valid identification of treatment effects even for heterogeneous infection dynamics across regions in the pre-treatment period10,13,14. \(\varepsilon _{i,t}\) denotes the usual error term. In our empirical analysis we drop the county Waldeck-Frankenberg for two reasons. First, there were two curfews with the second curfew lasting only three days and started only four days after the first one. Second, there were substantial reporting problems during Christmas holidays as incidences shoot up by 209 from December 26 to 27 which is a 387% higher jump than in the county with the second highest jump. In a robustness check we also exclude Christmas holidays and New Year’s day from our data set because there were reporting problems. However, our results remain also fully robust as shown in the “Appendix” (Supplementary Information).
Results
Before we present the results from the econometric analysis we illustrate the patterns descriptively. Statistically, incidence growth did not differ on average between counties that implemented a curfew and those that did not. It was \(-0.24\)% on average in counties that implemented night curfews and \(-0.23\)% in counties that did not, with standard deviations of 10.7% and 11.6%, respectively, during our observation period. We plot the difference in incidence growth between counties that have implemented a night curfew during our observation period and those that did not in Fig. 3.
Additionally, we add a polynomial fit and the corresponding 95% confidence interval. As the confidence interval always covers the 0, the difference is not significantly different from zero.
Differences in incidence growth between counties that implemented night curfews and those that did not.
The results from the regression models from Eq. (4) are shown in Table 3. In Column (1) we assume a delay of seven days between the actual start of the curfew until it gets effective. In Column (2) we assume a delay of fourteen days and twenty-one days in Column (3).
All models suggest that there is no evidence for differences in the dynamics of the virus' spread before the night curfews are implemented as indicated by the insignificant coefficients of “Incidence lead”. In other words we can assume common trends for growth rates of incidences in counties with and counties without night curfews. This is important as it enables a causal assessment whether night curfews did affect incidence growth.
The key variable of interest in this paper is the variable “Effective curfew”. Even though the coefficient of this variable is negative, it is never significant at conventional levels for the different specifications we analyse. Given the discussion of how meaningful a concept statistical significance is (for a recent survey see15), we further investigate whether there might nevertheless be a small, but meaningful effect of night curfews by computing minimal detectable effects in the next section.
Note that the coefficient of the variable “After effective curfew” is also never significant. Thus, there do not seem to exist differences in the growth of incidences in the long run. Night curfews do not seem to have had a lasting effect after the curfew had ended.
Minimal detectable effects
The effects we found for “Effective curfew” are small and non-significant at conventional levels. However, our estimates may suffer from Type II error due to potentially insufficient statistical power. We therefore compute the minimal detectable effects (MDE) now. The MDE analysis suggests that with our data we can detect declines in incidence growth if they are smaller than \(-1.5\)% at the 10% significance level for the model version with 7 days delay and \(-1.6\)% and \(-2.1\)%, respetively, for delays of 14 and 21 days. The whole ranges of detectable parameters are shown in Fig. 4. As the variable incidence growth has a standard variation of 10.7 these values are still very small. This supports the finding that night curfews had at best a limited effect on incidence growth.
Minimal detectable effects. Notes: The solid horizontal line represents the line \(10\%\) significance level.
Heterogeneous effects
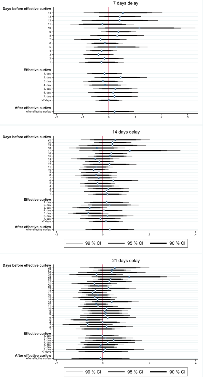
We next analyze whether there were heterogeneous effects of the night curfew. We do this by re-estimating the model from Eq. (4) but this time with individually estimated parameters for each day included in the variable “Incidence lead” and individually estimated parameters for each of the first seven days of “Effective curfew” plus a further dummy which is equal to one for all remaining days of the effective curfew and a dummy which is equal to one for all days of the post-curfew period.
In other words,—with delays \(X\in \{14,17,21\}\)—, the models we estimate can be written as:
The estimated coefficients and the corresponding confidence intervals of these estimations are presented in the three panels in Fig. 5. Again, the observed patterns do not point towards different trends in the development of incidence growth before the curfew got effective which makes it plausible to assume that the common trend assumption holds. Also, again we do not find any evidence that the night curfews helped to mitigate the spread of the pandemic as all curfew coefficients are statistically insignificant.
Coefficients and confidence intervals of heterogeneity of effects analysis.
Discussion and conclusion
We estimate the impact of local night curfews in Hesse, Germany, on the growth rates of incidences of COVID-19 cases during the COVID-19 pandemic in this state. While our data set is limited to the federal state of Hesse, the analysis takes advantage of regional and time variation in the implementation of night curfews. Thus, we are able to overcome potential statistical problems that are related to estimations of benefits of NPIs. Our results suggest that night curfews have at best a limited effect in the fight against virus transmission when various other NPIs are already imposed. The general message is that you cannot take for granted that a night-time curfew has the effects derived in ‘international’ studies (e.g.2), which estimate the effects of dozens of NPIs in samples consisting of multitude of countries with very different regions. At the same time, there is no indication that the night curfews from 9 pm to 5 am worsen the epidemic. They do not seem to increase incidences. The latter result seems to be important in connection with recent research based on experimental data16 and mobility data17, respectively, which show that night curfews might fuel disease dynamics.
An obvious question regarding our findings is whether they are the consequence of a weak effect of a night curfew per se or due to an imperfect implementation. Here one has to note the specific nature of a night curfew. It is very easy to understand, to administer, to implement and, in a superficial view, also to monitor. For an example how the curfew was enforced see18. On the other hand, it seems next to impossible, at least in a democracy to prevent that especially young people circumvent the night curfew by simply staying with friends overnight. Violations seem unavoidable.
Of course, usual caveats apply. The results may change with another data set. For instance, night curfews could have different effects for other regions. The same is true for the observation period: Our data cover the Christmas season, where a curfew might have fewer additional effects as people tend to stay home anyway. At the same time, it covers New Year’s Eve where the opposite holds. Note, however, that these problems cannot easily be solved by gathering further data and expanding the data set to all of Germany over the full time span of the pandemic. First, measures and policies have been taken and implemented on the level of the German federal states (“Länder”). There was quite some difference with respect to these policies across the states. In the public debate there was a lot of discussion about possibly adverse effects of such a ‘patchwork’ of regulations. Even though such a variance might in principle be a good thing for the researcher, in the case at hand there are too many different determinants which seem to matter. Hesse, for instance, does not border on any foreign country. In the second wave, e.g., incidences in those counties of Bavaria, Thuringia and Saxonia, which are located next to the border to the Czech Republic had particularly high incidences due to the high incidences in the Czech Republic, given a large number of commuters. At the same time, an extension of the observation period to the third wave seems not warranted, even though night-time curfews had also been implemented then. In the third wave vaccinations already had been available but the roll-out also differed across federal states in particular due to administrative reasons19. Different to anecdotal evidence from other federal states, where charismatic mayors seem to have had an effect on incidences, no such differences in local governance quality were reported. Hesse in general appears to be rather homogenous in terms of compliance with NPIs.
Finally, it should be emphasized that other minor NPIs such as alcohol ban in certain major urban areas or limitations of indoor individual sports (e.g. tennis) have been introduced simultaneously with night curfews. Thus, theoretically it is possible that some of these measures increase while others decrease incidence growth and sum up to null results. However, while this possibility cannot be excluded it may be a rather unrealistic explanation of our findings.
References
World Health Organization. Virtual press conference on COVID-19 (2020). https://www.who.int/docs/default-source/coronaviruse/transcripts/who-audio-emergencies-coronavirus-press-conference-full-and-final-11mar2020.pdf?sfvrsn=cb432bb3_2.
Flaxman, S. et al. Estimating the effects of non-pharmaceutical interventions on COVID-19 in Europe. Nature 584(7820), 257–261 (2020).
Mitze, T., Kosfeld, R., Rode, J. & Wälde, K. Face masks considerably reduce COVID-19 cases in Germany. Proc. Natl. Acad. Sci. 117(51), 32293–32301 (2020).
Does night curfew help in containing spread of COVID-19? here’s a deep dive. CNBC (2021). https://www.cnbctv18.com/healthcare/does-night-curfew-help-in-containing-spread-of-covid-19-heres-a-deep-dive-8656991.htm.
Sharma, M., Mindermann, S., Rogers-Smith, C., Leech, G., Snodin, B., Ahuja, J., Sandbrink, J. B., Monrad, J. T., Altman, G., Dhaliwal, G., et al. Understanding the effectiveness of government interventions in Europe’s second wave of COVID-19. medRxiv (2021).
Dimeglio, C., Miedougé, M., Loubes, J.-M., Mansuy, J.-M. & Izopet, J. Side effect of a 6 pm curfew for preventing the spread of SARS-COV-2: A modeling study from Toulouse. France. J. Infect. 82, 186–230 (2021).
Soltesz, K. et al. The effect of interventions on COVID-19. Nature 588(7839), E26–E28 (2020).
Robert Koch Institut. Covid-19 (coronavirus sars-cov-2).https://www.rki.de/DE/Content/InfAZ/N/Neuartiges_Coronavirus/nCoV.html. Specific data set used available at https://www.rki.de/DE/Content/InfAZ/N/Neuartiges_Coronavirus/Daten/Fallzahlen_Kum_Tab_Archiv.xlsx?__blob=publicationFile.
Statistisches Bundesamt. https://www-genesis.destatis.de/genesis/online?operation=previous&levelindex=0&step=0&titel=&levelid=1666181794066&acceptscookies=false.
Kosfeld, Reinhold, Mitze, Timo, Rode, Johannes & Waelde, Klaus. The COVID-19 containment effects of public health measures-a spatial difference-in-differences approach. J. Reg. Sci. 61, 799–825 (2020).
Isphording, I. E., Lipfert, M. & Pestel, N. Does re-opening schools contribute to the spread of SARS-COV-2? evidence from staggered summer breaks in germany. J. Public Econ. 198, 104426 (2021).
Robert Koch Institut. Epidemiologisches Bulletin 17-2020 (2020). https://www.rki.de/DE/Content/Infekt/EpidBull/Archiv/2020/Ausgaben/17_20.pdf?__blob=publicationFile.
Angrist, J. D. & Pischke, J.-S. Mastering’metrics: The Path from Cause to Effect (Princeton University Press, Princeton, 2014).
Deb, P., Furceri, D., Ostry, J. D., & Tawk, N. The effect of containment measures on the COVID-19 pandemic (2020).
Imbens, G. W. Statistical significance, p-values, and the reporting of uncertainty. J. Econ. Perspect. 35(3), 157–74 (2021).
Sprengholz, P., Siegers, R., Goldhahn, L., Eitze, S. & Betsch, C. Good night: Experimental evidence that nighttime curfews may fuel disease dynamics by increasing contact density. Soc. Sci. Med. 286, 114324 (2021).
Velias, A., Georganas, S. & Vandoros, S. COVID-19: Early evening curfews and mobility. Soc. Sci. Med. 292, 114538 (2021).
Avan, D. Auf Streife in der Ausgangssperre. Frankfurter Allgemeine Zeitung. https://www.faz.net/aktuell/rhein-main/region-und-hessen/kontrollen-in-offenbach-auf-streife-in-der-ausgangssperre-17100631.html.
Götz, G., Herold, D., Klotz, P.-A. & Schäfer, J. T. Efficiency in COVID-19 vaccination campaigns—A comparison across Germany’s federal states. Vaccines 9(7), 788 (2021).
Acknowledgements
We thank Jan Eggers for providing the historical curfew data. We also thank Benjamin de Haas, Johanna de Haas, Tomaso Duso, Lukas Jürgensmeier, Lars Feld, Kai Fischer, Pierre Fleckinger, Paul Heim, Reinhold Kosfeld, Walter Krämer, Ulrich Laitenberger, Wanda Mimra, Dominik Rehse, Dennis Rickert, Felix Vetter, and Peter Winker for helpful comments on earlier versions of the paper. The sole responsibility lies with the authors.
Funding
Open Access funding enabled and organized by Projekt DEAL.
Author information
Authors and Affiliations
Contributions
S.d.H. and S.H. performed the empirical analysis. All three authors jointly wrote and reviewed the manuscript.
Corresponding author
Ethics declarations
Competing interests
The authors declare no competing interests.
Additional information
Publisher's note
Springer Nature remains neutral with regard to jurisdictional claims in published maps and institutional affiliations.
Supplementary Information
Rights and permissions
Open Access This article is licensed under a Creative Commons Attribution 4.0 International License, which permits use, sharing, adaptation, distribution and reproduction in any medium or format, as long as you give appropriate credit to the original author(s) and the source, provide a link to the Creative Commons licence, and indicate if changes were made. The images or other third party material in this article are included in the article's Creative Commons licence, unless indicated otherwise in a credit line to the material. If material is not included in the article's Creative Commons licence and your intended use is not permitted by statutory regulation or exceeds the permitted use, you will need to obtain permission directly from the copyright holder. To view a copy of this licence, visit http://creativecommons.org/licenses/by/4.0/.
About this article
Cite this article
de Haas, S., Götz, G. & Heim, S. Measuring the effect of COVID-19-related night curfews in a bundled intervention within Germany. Sci Rep 12, 19732 (2022). https://doi.org/10.1038/s41598-022-24086-9
Received:
Accepted:
Published:
Version of record:
DOI: https://doi.org/10.1038/s41598-022-24086-9
This article is cited by
-
Navigating the next surge: a perspective on Egypt’s preparedness and prospects for another COVID-19 outbreak
Population Health Metrics (2025)
-
Assessing the effectiveness of non-pharmaceutical interventions in the SARS-CoV-2 pandemic: results of a natural experiment regarding Baden-Württemberg (Germany) and Switzerland in the second infection wave
Journal of Public Health (2025)
-
Aus der Pandemie lernen – Gesundheitsgeographische Bewertung von Public-Health-Maßnahmen
Standort (2025)
-
The Ethical Obligation for Research During Public Health Emergencies: Insights From the COVID-19 Pandemic
Medicine, Health Care and Philosophy (2024)
-
Public health ethics: critiques of the “new normal”
Monash Bioethics Review (2022)







