Abstract
With increasing acreage of cash crops, the use of their by-products as supplements for livestock feed becomes an important factor. Marigold (Tagetes erecta L.) account for more than half of the world’s loose flower production. However, there is no precedent for the abundantly available marigold crop residue (MCR) being used as feed in agricultural production, probably because of its strong pungent taste. This study aimed to evaluate the biotransformation of the volatile organic compounds (VOCs) of MCR by mixed ensilage and assess its palatability by cattle. Caryophyllene, the most prevalent VOC in MCR, decreased by 29.11% (P < 0.05), 38.85% (P < 0.05), 37.15% (P < 0.05), and 28.36% (P < 0.05) ensilage with corn meal (CM), bran (BR), crop corn (CC), and straw (ST), respectively. The acetic acid content increased by 686.05% (P < 0.05), 1337.21% (P < 0.05), 1244.19% (P < 0.05), and 1795.34% (P < 0.05) after mixed ensilage with CM, BR, CC, and ST, respectively. The total amount of alcoholic VOCs followed an overall increasing trend during mixed storage and 10 new alcohols were obtained. Over seven days, feed intake of mixed ensilage MCR by cattle differed significantly (P < 0.05) among treatments compared with MCR and was highest in MCRCM. Combined with palatability trials, the best MCR feed intake was achieved with MCRCM. The findings shed light on how feed odor can be improved and how degradation of terpenes can be enhanced in practical applications by mixed ensilage.
Similar content being viewed by others
Introduction
Lack of available roughage is of key interest to farmers and farming enterprises. To increase livestock production in the face of grassland degradation and feed crop area reduction, farmers are seeking alternative feedstuffs. With increasing acreage of cash crops, the use cash crop by-products as supplements for livestock becomes an important factor. In recent years, such cash crop by-products have been effectively adopted in animal husbandry as a replacement strategy of conventional forage, which also meets waste recycling needs as the disposal of such by-products is costly1.
Marigold (Tagetes erecta L.) is one of the most widely cultivated commercial flower crops in the world, accounting for more than half of the world’s loose flower production2. The high value of marigold production lies in the lutein extracted from flowers, the price of which has remained high. The rest of the plant, i.e., its stems and leaves, which are referred to as marigold crop residue (MCR), can reach around 20–30 t per hectare and are mostly dumped or burned. In fact, MCR is a nutritious feed because of its high contents of crude protein (26.53% in stem and 6.97% in leaf) and crude fat (nearly 5% in stem and nearly 2.5% in leaf), as well as its richness in amino acids and relatively low crude fiber content3. These nutritional traits together with extensive resource availability highlight MCR as a potential quality forage source for livestock. However, to our knowledge, there is no precedent for MCR being used as feed in agricultural production, probably because of its strong pungent taste. Research on the volatile substances present in marigold flowers and leaves has shown that various terpenoids produce terpenes of volatile organic compounds (VOCs) which are strongly rejected by cattle4,5,6. Likely, the presence of VOCs in specific terpenes affects the palatability and flavor of MCR.
To overcome such rejection by cattle, ensiling is promising as it increases palatability7; moreover, ensiling also preserves perishable wet biomass for extended periods8 and decreases the loss of nutrients9. Ensilage can greatly change the VOCs in forage, which has been shown for corn, alfalfa, red clover, and small grain silage10,11,12,13,14,15,16. More importantly, ensilage can greatly influence the palatability of the final forage, and is especially known to remove undesirable flavors. However, considering the role of silage in VOC production, much less information is currently available on the effects of ensilage on the biodegradation of terpenes.
Our previous study showed that during ensilage processing under laboratory conditions, lactic acid bacteria (LAB) remarkably reduced the terpene content in MCR17. However, the low level of water soluble carbohydrates (WSCs), the high water content in MCR, and the high cost of LAB currently limit the application of MCR in practice. Recent research showed that mixed ensilage may be a feasible method to improve silage quality compared with sole ensilage18,19. Corn meal (CM), bran (BR), straw (ST), and crop corn (CC) are not only easily obtainable but are also commonly used additives in mixed silage. These additives are often used to overcome problems associated with low carbohydrate content, as well as insufficiencies of LAB and water contents in sole ensilage. However, the effect of biodegradation or biotransformation of terpenes and other VOCs in mixed ensilage of MCR with CM, BR, ST, or CC must be evaluated before it can be used.
It is important to note that when ruminants approach an unfamiliar ‘putative forage’, they always employ their olfactory sense as a first gauge for edibility20. Although VOCs in forage can be identified and quantified using instrumental analyses, their usability, especially their acceptance level by livestock, cannot be verified with such analytic methods. Therefore, palatability trials for novel forage types that test the achieved VOCs biotransformation effect are key when using MCR as forage.
The aims of this study were to explore the VOC profile of MCR ensilage with different additives. Particular focus was placed on evaluating the biodegradation and biotransformation of the main terpenes, and to associate the effect of mixed ensilage of MCR with the palatability of the feed measured in beef cattle. The ultimate goal was to promote MCR as ruminant feed.
Materials and methods
Preparation of experimental silages
MCR, ST, and CC were collected from Tengchong City, Yunnan Province, China. MCR was stubbled at 5 cm over ground after harvesting the last batch of commercial flowers, and CC was harvested after milk-ripening stage. MCR and CC were air-dried to about 75% water content, ST was air-dried, and CM and BR were purchased from the local market. Before ensiling, the harvested materials were chopped to 2–5 cm using a crop chopper (model 9Z-6A, Sida Mechinery Company, Hangzhou, China). Five mixed treatments were applied: 100%MCR, 90%MCR + 10%ST (MCRST), 90%MCR + 10%CC (MCRCC), 90%MCR + 10%CM (MCRCM), and 90%MCR + 10%BR (MCRBR) (based on fresh mater). Mixed silage samples for each treatment were compacted, degassed, and sealed into plastic bags by hand, and each bag (weighing 20 ± 0.5 kg) was prepared in three replicates and stored at room temperature (15–25 ℃). After mixing ensilage for 50 days, samples were taken from each treatment and frozen at − 20 ℃ prior to analysis of VOCs.
Experimental conditions for solid-phase microextraction
Silage samples (3 g) per treatment were placed into a crimp-top headspace vial (Agilent). After samples were melted, they were heated in a water bath at 60 °C to achieve balance of aromatic substances in the extraction vial. After 5 min of equilibrium, the aged extraction head was inserted and the sample was extracted at 60 °C for 30 min for gas chromatography–mass spectrometry (GC–MS) analysis.
GC–MS analysis
VOCs in samples were analyzed by TRACE1310/ISQ7000 mass selective detector (ThermoFisher) with TG-5MS column (30 m × 0.25 mm × 0.25 µm; ThermoFisher). The injection was set to splitless mode for 5 min at 250 °C at a helium flow rate of 1.0 mL/min. The temperature program used 40 °C for 2 min then heating by 4 °C/min to 160 °C for 4 min and finally, to 250 °C at 15 °C/min which was maintained for 2 min. The temperature of the inlet pipe was set to 250 °C and the temperature of the ion source was set to 230 °C. The MS detector used in positron ionization (EI+) mode of 70 eV and the mass scanning range was 35–450 amu (m/z). Preliminary identification was conducted with mass spectrometry data deposited in the National Institute of Standards and Technology database (NIST 11). Identification was further achieved based on the possible percentages of the three candidate components provided by GC–MS. The relative content of each compound was calculated by the peak area normalization method where the total percentage of the peak area represents the sum of the peak areas of all identified compounds.
Palatability trials
This experiment conformed to the Animal Welfare and Ethical Standards of the People’s Republic of China (GB14925). Research was conducted at Tengchong Hengyi Dongshan Agriculture Co., Ltd., Yunnan province, China. To determine voluntary intake of MCR, 40 18-month-old Simmental crossbred progeny (male) were distributed throughout a completely randomized experimental design with five treatments and eight replicates, and each treatment of four cattle was arranged in a pen. Animals were individually offered diets which consisted of five treatments where whole corn silage was replaced by MCR, MCRST, MCRCC, MCRCM, MCRBR, and total mixed rations (TMR), which were formulated according to United States National Research Council (NRC (2001)) and the nutrient level was basically the same.
Feed preference for mixed ensilage of MCR or a control diet was measured by weighing the animals’ intake during 30 min at the same time each morning for seven consecutive days. Each afternoon, animals were given standard TMR in addition to reach the average daily intake as measured before the experiment. TMR feeding and residual amounts were recorded daily during the test. The pen and group of each cattle remained the same throughout the experiment, and all animals had access to clean water ad libitum.
Statistical analysis
SPSS 19.0 Statistical software was used for variance analysis, and Duncan’s test was used for multiple comparisons (P = 0.05). Origin 7.5 was used for mapping.
Ethics declarations
All protocols used in the study were approved by the Animal Welfare and Ethical Standards of the People’s Republic of China (GB14925). All methods were carried out in accordance with relevant guidelines and regulations. All procedures described in this study were carried out in compliance with the ARRIVE guidelines.
Results
Effect of mixed ensilage on VOCs of terpenes
MCR contained 22 kinds of terpenes, accounting for 63.5% of the total VOCs. After 50 days of mixed ensiling, the quality and quantity of terpenes changed greatly. The original six terpenes disappeared completely and certain terpenes declined noticeably. The levels of caryophyllene, which accounted for 14.67% of the total VOCs, decreased by 29.11% (P < 0.05), 38.85% (P < 0.05), 37.15% (P < 0.05), and 28.36% (P < 0.05) when ensilaged with CM, BR, CC, and ST, respectively. Another main VOC, terpinolene, accounted for 8.24% of total VOCs, and decreased by 21.84% (P < 0.05), 13.35% (P < 0.05), 34.77% (P < 0.05), and 34.05% (P < 0.05) after mixed ensilage with CM, BR, CC, and ST, respectively. After mixed ensilage, six terpenes including (+)-α-pinene disappeared completely (Table 1).
With progressing mixed ensilage, certain original terpenes disappeared, and 20 terpenes emerged, including eight terpenes that were only present in a single treatment, suggesting that these may have been contained in the additive of each treatment. However, among the newly emerged terpenes, three were simultaneously found in all treatments, suggesting that their formation may have been a bioconversion from the original terpenes.
Effect of mixed ensiling on VOCs of alcohol and acid changes
Fresh MCR contain only one acid—acetic acid. Its contents increased by 686.05% (P < 0.05), 1337.21% (P < 0.05), 1244.19% (P < 0.05), and 1795.34% (P < 0.05) after mixed ensilage with CM, BR, CC, and ST, respectively. Five kinds of acids that emerged during the mixed ensilage process appeared in different treatments among which lactic acid was only found in MCRCC (Table 2).
The alcohol levels of MCR and mixed ensilage of MCR are shown in Table 2. After 50 days of ensilage, the total amount of alcoholic VOCs showed an overall increasing trend during the mixed storage process and 10 new alcohols had formed. Among these, (±)-2-butanol and 3-Methyl-oxiran-2-yl)-methanol produced by MCRST contents accounted for 2.89% and 3.35% of total VOCs, respectively. Three alcohols disappeared during mixed storage with the exception of phenylethyl alcohol.
Effect of mixed ensiling on VOCs of other VOC changes
Ensilage not only transformed terpenes, alcohols, and acids in MCR, it also changed the types and contents of other VOCs (Table 3). After 50 days of ensilage, the total VOCs of aldehydes, benzenes, alkenes, and miscellaneous compounds decreased by 50.22%, 47.37%, 3.3%, and 25.29%, while the contents of esters, phenols, alkanes, and furan increased by 54.07%, 233.33%, 19.46%, 69.64%, and 173.56%, respectively.
Palatability trials
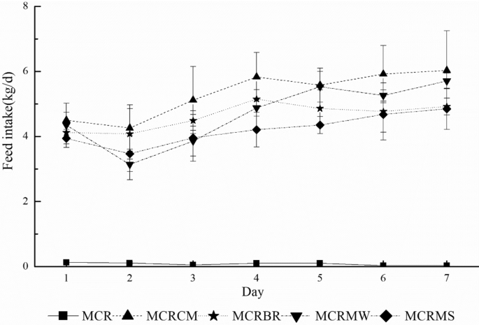
Feed intake of mixed ensilage MCR over seven days is reported in Fig. 1, which shows the average fresh material intake of cattle. As expected, all mixed silage intake levels of cattle significantly (P < 0.05) differed among treatments compared with MCR. Intake levels were highest in MCRCM, followed by MCRCC, MCRBR, and MCRST presenting a clear preference gradient. This indicates that the intake differences between the most and the least preferred MCR combinations were considerable, which is mainly affected by terpenes.
Mean intake of treated marigold crop residue (MCR) by cattle during a 30-min interval for seven consecutive days.
Discussion
Gao et al.21 found that terpenes are the major components in the VOCs of marigold flowers. The cis-β-farnesene, caryophyllene, terpinolene, and piperitone obtained in this study agree with the research of Martha et al.5 and Ogunwande and Olawore6 who identified these terpenes as the major components of the essential oil in marigold leaves and flowers. These results suggest that mixed ensilage mediated the degradation of certain terpenes, which is consistent with previous findings. For example, Figueiredo et al.10 also found that certain terpenes in red clover forages were significantly reduced after ensilage. The reason for this reduction of terpenes is not fully understood, but may involve oxidation to secondary products, isomerization, and/or interconversion of certain monoterpenols, as well as ester conversion or glycoside hydrolysis22. It should be noted that not all original terpene levels decreased, the levels of a few terpenes that accounted for a small amount of total VOCs even increased. While ensilage reduces the total terpene content in red clover, the levels of a few terpenes increased10, and the total terpene content either decreased or increased with fermentation of different fruit juices23,24. Information regarding terpene biodegradation is scarce at present and underlying the mechanism remains unclear.
Although terpenes formally consist of a single biosynthetic unit, in fact, they can be biotransformed by mechanisms such as dehydrogenation, hydration, isomerization, conjugation, reduction, oxidation, β-oxidation, and decarboxylation, indicating that a variety of structures can be produced22. (-)-Terpinen-4-ol was a new and considerably produced terpene which accounted for 6.97% (P < 0.05), 4.72% (P < 0.05), 9.05% (P < 0.05), and 8.03% (P < 0.05) in mixed ensilages with CM, BR, CC, and ST, respectively. However, a previous study on MCR ensilaged with LAB at different ensilage stages did not find this terpene17, and the reason for the emergence of such a large amount of terpene during the mixed ensilage process required further study.
In fact, a range of microorganisms promote the biotransformation of terpenes during ensilage, including bacteria, fungi, and yeasts. These various microorganism-facilitated biotransformation reactions convert original terpenes into new ones and other substances. Although mixed ensilage can modulate terpene changes, it is very difficult to infer complex relationships from a final quantity change or kinetic change of terpenes, as many other compounds can also interact with terpenes or can affect their metabolic behavior22,25. Thus, mixed ensilage can not only degrade terpenes, it can also produce new terpene metabolites. Overall, 14, 12, 10, and 7 new terpenes were produced in MCRCM, MCRBR, MCRCC, and MCRST, respectively. These terpenes accounted for a relatively small proportion except for (-)-Terpinen-4-ol. Mixed ensilage significantly decreased the contents of major terpenes in MCR in all treatments.
As one of the most important organic acids in silage, acetic acid affects the quality of silage, and is known to emit an acidic odor26. The accumulation of acetic acid depends on the substrate supply of the starter and the sugar metabolism27. In the fat metabolism in silage, fermentation can degrade fatty acids and produce short-chain fatty acids such as acetic acid, butyric acid, and caprylic acid. As more acids may be produced in other silages and food fermentation reactions, this experiment yielded less acids, and lactic acid only appears in MCRCC. This may be related to the large number of LAB attached to the whole corn plant17, while other treatments may have used other microbiological fermentation processes.
The alcohol changes are consistent with the results of Figueiredo et al.10 who also found that the alcohol level in red clover changed after ensilage and part of all alcohols disappeared. Alcohol levels varied greatly among CC, alfalfa, grain, and red clover silage10,15,28. Recent studies have shown that the ethanol content in CC silage is as high as 70% of the total VOCs13,29, but the present study only detected very low ethanol contents in MCRCM and MCRBR. With the exception of ethanol, data on alcohols in silage are rare. It may be produced by catabolism of amino acids or reduction of aldehydes and ketones30. Forages with high dry matter content produce higher ethanol content because of their high fermentable carbohydrate content. In contrast, low carbohydrate leguminous forages tend not to produce such a high ethanol content during ensilage10,16. This may be the main reason why the low carbohydrate MCR ensiling resulted in less ethanol production. However, silage quality does not manifest in the production of a large amount of ethanol, as this has adverse effects on the environment and the animals themselves15,28,31.
Other VOCs might strongly affect animal acceptance of forage even at lower concentrations32. In this study, it is therefore impossible to clarify the relationship between MCR silage and VOC biotransformation and the effects of the various VOCs observed can also not be distinguished. Therefore, more research must be carried out on this specific relationship.
Intake was negatively correlated with dietary terpene concentration33,34, and ruminants limited excessive terpene intake by extending their feeding time35. In addition, mixed MCR ensilage also caused significant differences in feed intake. However, the correlation between the feed intake trial results and the identification and quantitation of VOCs poses a difficult problem for the following reasons: (a) In domestic herbivores, feed intake is clearly affected by previous feeding experience, and memory is elicited by familiar sensorial perceptions36,37,38. The cattle in this experiment had feeding experience of whole corn silage and concentrate containing CM and BR, but they had no straw feeding experience at all. Thus, previous experience may be more important than innate preference compared to specific VOCs. (b) The flavors of feeds are synthesized by large amounts of VOCs. Even though VOCs were identified and quantified in all treatments, it was difficult to determine which VOCs at which concentrations affected palatability in cattle.
As similar effects were observed in previous studies36,37, the overall trend of lower intake over the first one or two days was not surprising (Fig. 1). The palatability trial results showed that treatments in the first day or two portrayed significant neophobia, after which, a rapid learning process could be observed, which may be related to strong post-ingestive effects attributable to feed characteristics20,39. These results suggest MCR was not acceptable to cattle at any time. However, other treatments strongly increased feed intake after a day or two, which to some extent explains why the mixed MCR silage not only had a smell that differed from the original and was more acceptable for cattle, the satiation threshold for terpenes was also not reached. This resulted in the sensory feedback of cattle that reduced feed intake.
Conclusions
This work presents the first study to the biotransformation of VOCs in marigold mixed silage and its palatability in ruminants. Mixed ensilage affected the quantitative and qualitative profile of VOCs in MCR. The main terpenes decreased significantly, while the alcohols and acids increased significantly. However, it is impossible to infer which treatment achieved the best effect on VOC changes in MCR. Combined with palatability trials, the best MCR feed intake was achieved with MCRCM. The findings of this study shed light on how feed odor can be improved and how degradation of terpenes can be enhanced in practical applications by mixed ensilage.
Data availability
All data included in this study are available upon request by contact with the corresponding author.
References
Vasta, V., Nudda, A., Cannas, A., Lanza, M. & Priolo, A. Alternative feed resources and their effects on the quality of meat and milk from small ruminants. Anim. Feed. Sci. Tech. 147, 223–246 (2008).
Baskaran, V. & Abirami, K. Effect of pinching on yield of African marigold (Tagetes erecta L.) cv. Pusa Narangi Gainda under Andaman conditions. Agric. Sci. Digest. 37, 148–150 (2017).
Wu, R., Kan, C., Zhao, W. & Pan, D. Nutrition analysis of marigold in Inner Mongolia. Guangzhou Chem. 38, 184–185 (2010).
Singh, G., Prakash, S. O., de-Lampasona, M. P. & Catalán, C. Studies on essential oils. Part 35: Chemical and biocidal investigations on Tagetes erecta leaf volatile oil. Flavour Frag. J. 18, 62–65 (2003).
Martha, R., Gutierrez, P., Luna, H. H. & Garrido, S. H. Antioxidant activity of Tagetes erecta essential oil. J. Chil. Chem. Soc. 51, 883–886 (2006).
Ogunwande, I. A. & Olawore, N. O. The essential oil from the leaves and flowers of “African Marigold”, Tagetes erecta L.. J. Essent. Oil Res. 18, 366–368 (2006).
Alhan, R. & Can, A. Determining effect of straw and inoculant addition on silage quality of sugar beet leaves silage. Bulg. J. Agric. Sci. 23, 639–643 (2017).
Marketta, R. et al. Fibrolytic enzyme treatment prior to ensiling increased press-juice and crude protein yield from grass silage. Bioresour. Technol. 299, 122572 (2020).
Ni, K. K. et al. Assessing the fermentation quality and microbial community of the mixed silage of forage soybean with crop corn or sorghum. Bioresour. Technol. 265, 563–567 (2018).
Figueiredo, R., Rodrigues, A. & Doceucosta, M. Volatile composition of red clover (Trifolium pratense L.) forages in Portugal: The influence of ripening stage and ensilage. Food Chem. 104, 1445–1453 (2007).
Alanis, P. et al. Measurement of non-enteric emission fluxes of volatile fatty acids from a California dairy by solid phase micro-extraction with gas chromatography/mass spectrometry. Atmos. Environ. 42, 6417–6424 (2008).
Howard, C. et al. Reactive organic gas emissions from livestock feed contribute significantly to ozone production in central California. Environ. Sci. Technol. 44, 2309–2314 (2010).
Montes, F., Hafner, S. D., Rotz, C. A. & Mitloehner, F. M. Temperature and air velocity effects on ethanol emission from corn silage with the characteristics of an exposed silo face. Atmos. Environ. 44, 1987–1995 (2010).
Malkina, I. L., Kumar, A., Green, P. G. & Mitloehner, F. M. Identification and quantitation of volatile organic compounds emitted from dairy silages and other feedstuffs. J. Environ. Qual. 40, 28–36 (2011).
Hafner, S. D. et al. Emission of volatile organic compounds from silage: Compounds, sources, and implications. Atmos. Environ. 77, 827–839 (2013).
Hafner, S. D. et al. Effects of potassium sorbate and Lactobacillus plantarum MTD1 on production of ethanol and other volatile organic compounds in corn silage. Anim. Feed. Sci. Tech. 208, 79–85 (2015).
Hou, Z. J. et al. Enriching the nutritive value of marigold (Tagetes erecta L.) crop residues as a ruminant feed by lactic acid bacteria during ensilage. BMC. Vet. Res. 17, 74–84 (2021).
Larsen, S. U., Hiort-Gregersen, K., Vazifehkhoran, A. H. & Triolo, J. M. Co-ensiling of straw with sugar beet leaves increases the methane yield from straw. Bioresour. Technol. 245, 106–115 (2017).
Jiang, Y. et al. Inactivation of enteric indicator bacteria and system stability during dry co-digestion of food waste and pig manure. Sci. Total Environ. 612, 293–302 (2018).
Cannas, A., Mereu, A., Decandia, M. & Giovanni, M. Role of sensorial perceptions in feed selection and intake by domestic herbivores. Ital. J. Anim. Sci. 8(sup2), 243–251 (2009).
Gao, Q. Y., Gao, Y., Zhang, R. M., Du, M. L. & Li, G. Aromatic composition in three plant species using TDS-GC/MS. J. Zhejiang A&F Univ. 28, 326–332 (2011).
Krings, U. & Berger, R. G. Terpene bioconversion—how does its future look?. Nat. Prod. Commun. 5, 1507–1522 (2010).
Di Cagno, R., Filannino, P. & Gobbetti, M. Lactic acid fermentation drives the optimal volatile flavor-aroma profile of pomegranate juice. Int. J. Food. Microbiol. 248, 56–62 (2017).
Park, J. B. et al. Changes in antioxidant activities and volatile compounds of mixed berry juice through fermentation by lactic acid bacteria. Food. Sci. Biotechnol. 26, 441–446 (2017).
Farhat, W., Stamm, A., Robert-Monpate, M., Biundo, A. & Syrén, P. O. Biocatalysis for terpene-based polymers. Z. Naturforsch. C. 74, 1–10 (2019).
Nsogning, D. S., Procopio, S., Sacher, B. & Becker, T. Flavor of lactic acid fermented malt based beverage: Current status and perspective. Trends. Food. Sci. Tech. 54, 37–51 (2016).
Peyer, L. C., Zannini, E. & Arendt, E. K. Lactic acid bacteria as sensory biomodulators for fermented cereal based beverage. Trends. Food. Sci. Tech. 54, 17–25 (2016).
Irina, L. M., Anuj, K., Peter, G. G. & Frank, M. M. Identification and quantitation of volatile organic compounds emitted from dairy silages and other feedstuffs. J. Environ. Qual. 40, 28–36 (2011).
Hafner, S. D., Montes, F., Rotz, C. A. & Mitloehner, F. M. Ethanol emission from loose corn silage and exposed silage particles. Atmos. Environ. 44, 4172–4180 (2010).
Choi, Y. J. et al. Changes in volatile and non-volatile compounds of model kimchi through fermentation by lactic acid bacteria. LWT. LWT-Food. Sci. Technol. 105, 118–126 (2019).
Sasha, D. H. et al. Effects of potassium sorbate and Lactobacillus plantarum MTD1 on production of ethanol and other volatile organic compounds in corn silage. Anim. Feed. Sci. Tech. 208, 79–85 (2015).
Mereu, A. In Palatability of Concentrates Fed to Sheep. Ph.D. dissertation. University of Sassari (2009).
Estell, R. E. et al. Effects of volatile compounds on consumption of alfalfa pellets by sheep. J. Anim. Sci. 76, 228–233 (1998).
Estell, R. E., Fredrickson, E. L. & Anderson, D. M. Effects of γ-terpinene, terpinolene, α-copaene, and α-terpinene on consumption of alfalfa pellets by sheep. J. Anim. Sci. 83, 1967–1971 (2005).
Dziba, L. E. & Provenza, F. D. Dietary monoterpene concentrations influence feeding patterns of lambs. Appl. Anim. Behav. Sci. 109, 49–57 (2008).
Arsenos, G., Hills, J. & Kyriazakis, I. Conditioned feeding responses in sheep towards flavoured foods associated with casein administration: The role of long delay learning. J. Anim. Sci. 70, 157–169 (2000).
Arsenos, G., Kyriazakis, I. & Tolkamp, B. J. Conditioned feeding responses of sheep towards flavoured foods associated with the administration of ruminally degradable and/or undegradable protein sources. J. Anim. Sci. 71, 597–606 (2000).
Villalba, J. J., Provenza, F. D. & Olson, K. C. Terpenes and carbohydrate source influence rumen fermentation, digestibility, intake, and preference in sheep. J. Anim. Sci. 84, 2463–2473 (2006).
Rapisardaa, T., Mereub, A. & Cannasb, A. Volatile organic compounds and palatability of concentrates fed to lambs and ewes. Small. Ruminant. Res. 103, 120–132 (2012).
Acknowledgements
Authors are grateful acknowledged for financial support by Special Fund for China Agriculture Research System (Grant No. CARS-37), Yunling Scholar and Yunling Super-Talent Initiative-Yunling High-end Foreign Experts Program (Grant No. 2018IC074), Yunnan Province Candidate talents Project for Academic and Technical leaders of Middle-aged and Young talents (Grant No. 2019HB035), Major Science and Technology Projects of Yunnan Province (Grant No. 2019ZG007), National Key Research and Development Program (Grant No. 2018YFD0501800), Basic Research Special Youth Project of Yunnan Province (Grant No. 202001AU070094).
Author information
Authors and Affiliations
Contributions
Z.H., J.L. and B.H. conceived and designed the experiments. M.C. and Y.L. performed the experiments. L.W. and W.Y. wrote the manuscript and analyzed the data. M.Z. and Y.L. performed data curation. Bizhi Huang finalized the manuscript. All authors read and approved the manuscript.
Corresponding authors
Ethics declarations
Competing interests
The authors declare no competing interests.
Additional information
Publisher's note
Springer Nature remains neutral with regard to jurisdictional claims in published maps and institutional affiliations.
Rights and permissions
Open Access This article is licensed under a Creative Commons Attribution 4.0 International License, which permits use, sharing, adaptation, distribution and reproduction in any medium or format, as long as you give appropriate credit to the original author(s) and the source, provide a link to the Creative Commons licence, and indicate if changes were made. The images or other third party material in this article are included in the article's Creative Commons licence, unless indicated otherwise in a credit line to the material. If material is not included in the article's Creative Commons licence and your intended use is not permitted by statutory regulation or exceeds the permitted use, you will need to obtain permission directly from the copyright holder. To view a copy of this licence, visit http://creativecommons.org/licenses/by/4.0/.
About this article
Cite this article
Hou, Z., Liu, J., Cai, M. et al. The volatile organic compounds and palatability of mixed ensilage of marigold (Tagetes erecta L.) crop residues. Sci Rep 13, 2080 (2023). https://doi.org/10.1038/s41598-023-28511-5
Received:
Accepted:
Published:
Version of record:
DOI: https://doi.org/10.1038/s41598-023-28511-5



