Abstract
The current study aimed to analyze, using accelerometer-based activity, acute workload, chronic workload, acutechronic workloads ratio, training-monotony and training-strain throughout a competitive soccer-season and to compare these variables between players from different playing positions. Twenty-one professional soccer-players were monitored during the 48 weeks of the season. Players were grouped according to their position. Four lateral-defenders and four winger-players formed LDW group, four central-defenders and four forwards formed CDF group, and six midfielder-players formed MDF group. Accelerometer-based variables were collected during training and match contexts and were used to generate indicators of weekly acute and chronic workload, training monotony, training strain and metabolic power. A one-way ANOVA compared all dependent variables between groups, and effect sizes for pairwise comparisons were calculated. Results revealed variations in the weekly load throughout the season, which demands caution from coaches to avoid injuries. There were no differences in weekly-loads for all dependent variables (P > 0.05, small-to-moderate effects). We conclude that the weekly-load is not constant during a competitive season and players from different positions have similar weekly-loads. Therefore, previously reported in the literature, possible match-related positional differences might be compensated by differences in training-related loads, leading to a similar profile when considering the whole week.
Similar content being viewed by others
Introduction
Stimulating players with adequate training loads challenges coaches in elite soccer. Recent approaches to load monitoring proposed that variations in weekly training load reduce monotony and increase the potential for positive adaptations1. However, the competitive schedule requires frequent adjustments in load prescription because players are differently demanded during the matches2,3. For example, players from different playing positions differ in internal and external loads during a match4,5, leading to other weekly training loads. Hence, assessing training loads during matches and training is essential for an adequate load prescription.
The external training load is defined as the work performed by an athlete during training or competition6,7. Data recorded with Global Positioning Systems (GPS) allows coaches to calculate different variables associated with the external training load. Traditionally, external load data collection and recording has focused mainly on variables such as volume, intensity, and occasionally frenquency and density. However, since training load variability may condition the type of adaptations that can be attained, it is essential to consider parameters such as training monotony, training strain1,3,8, metabolic power, and acute-chronic workload ratio (ACWR)9,10, which were previously calculated using rates of perceived exertion only. Training monotony is the mean of the training loads performed during the week divided by the standard deviation of these training loads11; training strain is the sum of the training loads performed in all training sessions and matches during a week multiplied by training monotony11. The metabolic power is the overall energy cost of activity12, and the ACWR compares the acute workload (the workload players were exposed in the current week) with the chronic workload (i.e., the workloads players were exposed in the last weeks, usually4,9,10). Together, these variables describe the variation in the weekly training load and can be used to adjust the load prescription according to players’ responses. This multidimensional approach to load monitoring seems crucial in training13 and competition since isolated variables may not capture the whole phenomenon.
The impact of the playing position on match demands is well established. Bush et al.4 showed increased match demands among all playing positions in the past decade, mainly the high-intensity efforts. Full-backs and wing forwards perform the highest number of sprints during the match14,15, which may result in a higher external load in these players compared to the other playing positions. Hence, differences in the weekly training load in players from different playing positions are expected, although this hypothesis still needs to be tested. The limited knowledge about the possible differences in the weekly training loads in players from different playing positions limits the evidence-based load prescription and must be investigated.
Considering the abovementioned rationale, this study aimed to (1) analyze the acute and chronic training loads, the ACWR, the training monotony and the training strain throughout a competitive season in professional soccer players and (2) compare these variables between players from different playing positions. Furthermore, based on the match data, we expected that external players (e.g., lateral defenders and wingers) would present higher weekly training loads than the other playing positions.
Methods
Experimental approach to the problem
This study was a cohort of an entire season at the highest level of the Iranian Premier League, the Persian Gulf Premier League and the Hazfi cup in 2018–2019. In this study, based on the availability of one team, we divided of players into three groups based on similar activity needs of playing position16, so 4 Lateral Defender and 4 Wingers players formed the LDW group, another 4 Central Defender and 3 Forwards constituted the CDF group and 6 Midfielder players formed the MDF group. Players were monitored and controlled by GPS throughout the season (GPSPORTS, SPI high-performance unit).
The monitoring was performed daily for each training session and competition. Finally, we explored two specific goals, which are: (i) to describe (mean/standard deviation (SD)), weekly average acute (wAW), chronic (wCW), wACWR, training monotony (wTM) and training strain (wTS) based on body load (BL) variations across the full season by play position; (ii) to analyze the variations in pairwise comparisons by play position of wAW, wCW, wACWR, wTM, wTS, weekly metabolic power average (wMPA), weekly average of Accelerations zone 1 (wAccZ1), Accelerations zone 2 (wAccZ2), Accelerations zone 3 (wAccZ3), Decelerations zone 1 (wDecZ1), Decelerations zone 2 (wDecZ2), Decelerations zone 3 (wDecZ3), Ratio between wMPA/wAW, Ratio between wAccZ1/wDecZ1,Ratio between wAccZ2/wDecZ2, Ratio between wAccZ3/wDecZ3 in the full season.
Participants
The study included 21 professional soccer players (28.3 ± 3.8 years; 181.2 ± 7.1 cm; 74.5 ± 7.7 kg; 22.6 ± 1.0 kg/m2) who were monitored for 48 weeks during a full season in the Iranian Premier League. For the players' information to be calculated, they had to attend at least three weekly sessions. The exclusion criteria of this study were defined as follows (i) If a player were absent for two consecutive weeks, he would be excluded from the study for analysis. (ii) Goalkeepers were not included in the study for analysis. The current study was approved by the University of Mohaghegh Ardabili (1395.10.20). As well as the club's official license and the players' informed consent were also obtained for study. We followed the Helsinki Declaration on Human Research at all stages of the study.
Monitoring external load
GPS specifications
We used the GPSPORTS systems Pty Ltd, made in Australia, throughout the season to collect information for each training session and competition. According to the manufacturer's manual, this system includes the following specifications: (i) GPS with 15 Hz through the accelerometer variables (Acc & Dec); (ii) BL with 16G, 100 Hz, and Tri-Axial; (iii) All transfer of information is done by the infrared; (iv) It has the smallest size and is waterproof on the market; (v) It weighs about fifty grams and has very high battery power. Data collected during the season had good weather states regarding the satellite. GPS unit has high validity and reliability for measuring external load variables17.
Variables collected
To ensure accurate data collection by GPS, we pursued the following procedure. First, before starting the training, we put the GPS unit in the special belt position of the device and then we had to check the light before the start of the workout. At the end of the workout, we removed the GPS unit from the belt and entered the docking station to store information. Data storage was done by updated specialized AMS software (Gpsports Systems Pty Ltd, Majura, Australia)17. We set the GPS default to SPI IQ Absolutes throughout the season. The variables used in this study were as follows among the external loaded variables: 1. BL, considered the newest workload training, calculates the training load marker as well as the rate of training load (BL/min); 2. MPA calculates the average rate of energy consumed per second (W/kg) for the athlete according to the specifications entered in the device default (i.e. height and weight), and the previous report showed that it has high reliability of 3–5%18,19; 3. AccZ1 (< 2 m/s2); 4. AccZ2 (2 to 4 m/s2); 5. AccZ3 (> 4 m/s2); 6. DecZ1 (< − 2 m/s2); 7. DecZ2 (− 2 to − 4 m/s2); 8. DecZ3 (> − 4 m/s220).
Calculating the training load
From the BL we obtained, respectively; wAW (Total BL during the week was considered); wCW (Total AW 3 weeks ago divided into three); wACWR (calculated by wAW ÷ wCW obtained that week), uncoupled method21 was used to reduce the re-porting error in this study. For this reason, in the first four weeks of the season, two variables (wCW and wACWR), were not reported in the study; wTM (calculated by wAW ÷ SD)22; wTS (calculated by wAW × wTM); Ultimately, for other accelerometer variables calculations by form the weekly in during a throughout the season for 48 weeks.
Statistical analysis
Shapiro–Wilk test was used for normality, and Levene’s tests for homogeneity. The information was used for descriptive (mean and SD), and the information analysis was inferential tests. One-way ANOVA was used to find the differences between groups, and then the Bonferroni post-hoc test was used to detect the pairwise comparisons between different workload parameters and accelerometry variables by playing position. Cohen's d effect size with 95% CI was used for variables in this study. The Hopkins’ thresholds for Cohen’s d effect size statistics were used as follows: ≤ 0.2, trivial; > 0.2, small; > 0.6, moderate; > 1.2, large; > 2.0, very large; and > 4.0, nearly perfect23. Significant differences were considered for p ≤ 0.05. All statistical analyzes were considered by SPSS (version 25.0; IBM SPSS Inc, Chicago, IL) at a significance level of p ≤ 0.05. Prism software (GraphPad Software, Boston, USA) was used to draw the diagrams.
Results
Figure 1 shows an overall vision of the wAW, wCW and wACWR, variations across the whole season by play position. Overall, the highest wAW occurred in weeks 27, 9 and 5 for LDW, CDF and MDF, respectively. The lowest wAW happened in week 46 for LDW and MDF, while CDF showed the lowest wAW in week 30 (Fig. 1A). Concerning wCW, the highest outcomes were observed in weeks 30, 11 and 6 for LDW, CDF and MDF, respectively. The lowest wCW were found in weeks 42, 48 and 26 for LDW, CDF and MDF, respectively (Fig. 1B). Besides, the highest wACWR happened in weeks 27, 22 and 5 for LDW, CDF and MDF, respectively. Coincidently, all player groups showed the lowest wACWR in week 30 (Fig. 1C).
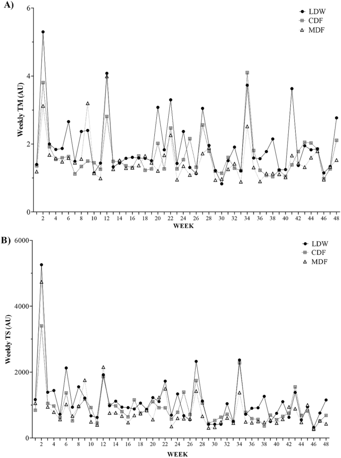
Figure 2 displays the wTM and wTS variations across the full season by play position. The highest wTM occurred in weeks 2, 34 and 12 for LDW, CDF and MDF, respectively, while the lowest wTM was observed in weeks 29, 30 and 11 for LDW, CDF and MDF, respectively (Fig. 2A). Coincidently, the highest wTS happened in week 2 for all players groups. Moreover, the lowest wTS was observed in week 46 for LDW and CDF, while MDF showed the lowest wTS in week 29 (Fig. 2B).
Table 1 shows the between-group comparisons on wAW, wCW, wACWR, wTM, wTS, wMPA and wMPA/wAW for the full season. These comparisons were conducted using the full season average for every dependent variable, which was calculated from the weekly average of each one. Results revealed that there were no differences between player groups in any variables.
Between-group comparisons for derived-GPS variables of acceleration and deceleration in the full season were presented in Table 2. Overall, no significant differences were found between groups in any variables except for wAccZ2 and wAccZ3. Specifically, significantly higher wAccZ2 were observed in LDW compared to CDF (P = 0.006; d = 1.79) and MDF (P = 0.007; d = 1.79). However, no significant differences were observed when compared to CDF and MDF. Also, there were higher significant wAccZ3 in LDW compared to CDF (P = 0.003; d = 1.77) and MDF (P = 0.007; d = 2.13); no differences were observed when comparing CDF and MDF.
Discussion
We aimed to analyze the weekly training loads throughout an entire season in a professional soccer team and also to compare these loads between players from different positions. Our results revealed that the weekly training loads varied throughout the season, and peaks of ACWR, training monotony, and training strain were more frequent in the pre-season and the midseason. However, no significant changes were observed between positions for all dependent variables. Therefore, we rejected our main hypothesis.
In general, the results of the present study showed that players from different positions were exposed to similar external loads throughout the season. Therefore, we expected higher weekly training loads for external players compared to the other playing positions because these players have shown the highest physical demand14,15 in official matches14,15. Also, when analyzing training contents, players from different positions showed different responses, even when the training scenario was the same24,25. The matches may represent the highest load within the training process and play a major role in biochemical and neuromuscular responses related to fatigue7,26,27. It is possible that coaches adopted tapering strategies to decrease the other training loads for these players, to reduce the stress and maximize performance, as suggested in previous studies28. This reduction probably compensated for the higher match load performed by external players leading to similar weekly loads among playing positions. Nevertheless, since we did not distinguish match-related load from the load imposed by other training activities, this hypothesis could not be confirmed.
The load monitoring over the whole season showed an oscillatory behavior of the external loads and a drastic increase in many variables between weeks 26 and 34. The congested fixture observed in many teams during the season highlights the importance of load monitoring and illustrates the difficulty of controlling the weekly loads over the competitive period. These sudden increases in the external loads require adequate strategists to reduce the injury risk, such as tapering28. The individualization of these strategies is also important to match the needs of each player, including the specificities related to playing position. Finally, the wACWR ranged between 1.05 and 1.08 arbitrary units for all playing positions, falling within the zone recommended to prevent injuries and reach positive adaptations29. We also observed recommended values of training monotony11 (below 2.00) in all playing positions. Both ACWR and training monotony indicate similar information when they control the training loads in soccer. However, we must be aware of the controversial aspects of ACWR30, such as the lack of a proper causal effect between ACWR and the injury rate. Therefore, future studies should seek clarification of these issues and comprehend the possible relationship between these variables.
This study provides an example of load distribution over the weeks of an entire season in professional soccer and highlights the importance of monitoring the external load throughout the season. Nevertheless, the participants of the present study were players from one professional team, which requires further investigation into the impact of playing positions on weekly training loads in different contexts or teams. Furthermore, we neither evaluate the training load of each day of the week, which could reveal the impact of each training activity (match, recovery, strength and conditioning, technical, tactical, others) on the weekly loads. Finally, it remains unclear whether the external load changes impact the players’ physiological responses and injury rate in soccer since most studies on load monitoring in soccer comprise only short periods. Providing further validity of the variables investigated in this study (such as ACWR, metabolic power, training monotony and training strain) would help sports scientists better understand the impact of load distribution over the season on players’ responses.
Conclusions
More frequent peaks of ACWR, training monotony, and training strain were found in pre and mid season Moreover, despite an oscillatory training load dynamic was observed, these changes across the time are not position-dependent, as players from different positions showed similar training loads over the whole period. The absence of significant differences between positions could be related to the use of tapering strategies to increase sports performance in soccer competitions.
Data availability
The study results are presented clearly, honestly and without fabrication, falsification, or inappropriate data manipulation. All data are fully available upon email request to the corresponding author.
References
Clemente, F. M. et al. Variations of training load, monotony, and strain and dose-response relationships with maximal aerobic speed, maximal oxygen uptake, and isokinetic strength in professional soccer players. PLoS ONE 14, e0225522 (2019).
Varley, M. C., Di Salvo, V., Modonutti, M., Gregson, W. & Mendez-Villanueva, A. The influence of successive matches on match-running performance during an under-23 international soccer tournament: The necessity of individual analysis. J. Sports Sci. 36, 585–591 (2018).
Clemente, F. M. et al. Weekly load variations of distance-based variables in professional soccer players: A full-season study. Int. J. Environ. Res. Public Health 17, 3300 (2020).
Bush, M., Barnes, C., Archer, D. T., Hogg, B. & Bradley, P. S. Evolution of match performance parameters for various playing positions in the English Premier League. Hum. Mov. Sci. 39, 1–11 (2015).
Mallo, J., Mena, E., Nevado, F. & Paredes, V. Physical demands of top-class soccer friendly matches in relation to a playing position using global positioning system technology. J. Hum. Kinet. 47, 179–188 (2015).
Bourdon, P. C. et al. Monitoring athlete training loads: Consensus statement. Int. J. Sports Physiol. Perform. 12, S2161–S2170 (2017).
Akenhead, R., Harley, J. A. & Tweddle, S. P. Examining the external training load of an english premier league football team with special reference to acceleration. J. Strength Cond. Res. 30, 2424–2432 (2016).
Jaspers, A., Brink, M. S., Probst, S. G., Frencken, W. G. & Helsen, W. F. Relationships between training load indicators and training outcomes in professional soccer. Sports Med. 47, 533–544 (2017).
Hulin, B. T., Gabbett, T. J., Lawson, D. W., Caputi, P. & Sampson, J. A. The acute:chronic workload ratio predicts injury: High chronic workload may decrease injury risk in elite rugby league players. Br. J. Sports Med. 50, 231–236 (2016).
Bowen, L., Gross, A. S., Gimpel, M. & Li, F. X. Accumulated workloads and the acute:chronic workload ratio relate to injury risk in elite youth football players. Br. J. Sports Med. 51, 452–459 (2017).
Foster, C. Monitoring training in athletes with reference to overtraining syndrome. Med. Sci. Sports Exerc. 30, 1164–1168 (1998).
Gaudino, P. et al. Monitoring training in elite soccer players: Systematic bias between running speed and metabolic power data. Int. J. Sports Med. 34, 963–968 (2013).
Folgado, H., Bravo, J., Pereira, P. & Sampaio, J. Towards the use of multidimensional performance indicators in football small-sided games: The effects of pitch orientation. J. Sports Sci. 37, 1064–1071 (2019).
Rivilla-García, J. et al. Characteristics of very high intensity runs of soccer players in relation to their playing position and playing half in the 2013–14 Spanish La Liga Season. J. Hum. Kinet. 27, 213–222 (2019).
Pettersen, S. A. & Brenn, T. Activity profiles by position in youth elite soccer players in official matches. Sports Med. Int. Open 3, E19–E24 (2019).
Abbott, W., Brickley, G. & Smeeton, N. J. Physical demands of playing position within English Premier League academy soccer. J. Hum. Sport Exerc. 13, 1–11 (2018).
Williams, J. H. & Tessaro, E. Validity and reliability of a 15 Hz GPS device for court-based sports movements. Sport Perform. Science Rep. 29, 1–4 (2018).
Osgnach, C., Poser, S., Bernardini, R., Rinaldo, R. & di Prampero, P. E. Energy cost and metabolic power in elite soccer: A new match analysis approach. Med. Sci. Sports Exerc. 42, 170–178 (2010).
Ardigò, L. P., Padulo, J., Zuliani, A. & Capelli, C. A low-cost method for estimating energy expenditure during soccer refereeing. J. Sports Sci. 33, 1853–1858 (2015).
Akenhead, R., French, D., Thompson, K. G. & Hayes, P. R. The acceleration dependent validity and reliability of 10 Hz GPS. J. Sci. Med. Sport 17, 562–566 (2014).
Windt, J. & Gabbett, T. J. Is it all for naught? What does mathematical coupling mean for acute:chronic workload ratios?. Br. J. Sports Med. 53, 988–990 (2019).
Foster, C. et al. A new approach to monitoring exercise training. J. Strength Cond. Res. 15, 109–115 (2001).
Hopkins, W. G., Marshall, S. W., Batterham, A. M. & Hanin, J. Progressive statistics for studies in sports medicine and exercise science. Med. Sci. Sports Exerc. 41, 3–13 (2009).
Praça, G. et al. Influence of floaters and positional status on players’ tactical, physical, and physiological responses in soccer small-sided games. Hum. Mov. 21, 54–63 (2020).
Dellal, A. et al. Technical and physical demands of small vs. large sided games in relation to playing position in elite soccer. Hum. Mov. Sci. 31, 957–969 (2012).
Ade, J., Fitzpatrick, J. & Bradley, P. S. High-intensity efforts in elite soccer matches and associated movement patterns, technical skills and tactical actions. Information for position-specific training drills. J. Sports Sci. 34, 2205–2214 (2016).
Hader, K. et al. Monitoring the athlete match response: Can external load variables predict post-match acute and residual fatigue in soccer? A systematic review with meta-analysis. Sports Med. Open 5, 48 (2019).
Fessi, M. S. et al. Effects of tapering on physical match activities in professional soccer players. J. Sports Sci. 34, 2189–2194 (2016).
Blanch, P. & Gabbett, T. J. Has the athlete trained enough to return to play safely? The acute:chronic workload ratio permits clinicians to quantify a player’s risk of subsequent injury. Br. J. Sports Med. 50, 471–475 (2016).
Impellizzeri, F. M., Tenan, M. S., Kempton, T., Novak, A. & Coutts, A. J. Acute: chronic workload ratio: Conceptual issues and fundamental pitfalls. Int. J. Sports Physiol. Perform. 15, 907–913 (2020).
Acknowledgements
The authors wish to thank all the participants included in the study warmly. Hadi Nobari is supported by the Spanish Ministry of Science and Innovation, the State Research Agency (AEI), and the European Union (NextGenerationEU/PRTR) with applicant number FJC2021-047845-I. Filipe Manuel Clemente is funded by the Fundação para a Ciência e Tecnologia/Ministério da Ciência, Tecnologia e Ensino Superior through national funds, and when applicable, co-funded by EU funds under the project UIDB/50008/2020.
Funding
Hadi Nobari was supported by a Juan de la Cierva postdoctoral fellowship (FJC2021-047845-I) given by the Spanish Ministry of Science and Innovation, the State Research Agency (AEI), and the European Union (NextGenerationEU/PRTR). This study did not receive external funding.
Author information
Authors and Affiliations
Contributions
Conceptualization, H.N., G.M.P., S.G.T.B., P.P.G., F.M.C., J.C.-V., L.P.A.; data curation, H.N., G.M.P., S.G.T.B., P.P.G., F.M.C., J.C.-V., L.P.A.; formal analysis, H.N., G.M.P., S.G.T.B., P.P.G., F.M.C., J.C.-V., L.P.A.; investigation, H.N., G.M.P., S.G.T.B., P.P.G., F.M.C., J.C.-V., L.P.A.; methodology, H.N., G.M.P., S.G.T.B., P.P.G., F.M.C., J.C.-V., L.P.A.; project administration, H.N., G.M.P., S.G.T.B., P.P.G., F.M.C., J.C.-V., L.P.A.; resources, H.N., G.M.P., S.G.T.B., P.P.G., F.M.C., J.C.-V., L.P.A.; software, H.N., G.M.P., S.G.T.B., P.P.G., F.M.C., J.C.-V., L.P.A.; supervision, H.N., G.M.P., S.G.T.B., P.P.G., F.M.C., J.C.-V., L.P.A.; validation, H.N., G.M.P., S.G.T.B., P.P.G., F.M.C., J.C.-V., L.P.A.; visualization, H.N., G.M.P., S.G.T.B., P.P.G., F.M.C., J.C.-V., L.P.A.; writing – original draft, H.N., G.M.P., S.G.T.B., P.P.G., F.M.C., J.C.-V., L.P.A.; writing – review & editing, H.N., G.M.P., S.G.T.B., P.P.G., F.M.C., J.C.-V., L.P.A.
Corresponding author
Ethics declarations
Competing interests
The authors declare no competing interests.
Additional information
Publisher's note
Springer Nature remains neutral with regard to jurisdictional claims in published maps and institutional affiliations.
Rights and permissions
Open Access This article is licensed under a Creative Commons Attribution 4.0 International License, which permits use, sharing, adaptation, distribution and reproduction in any medium or format, as long as you give appropriate credit to the original author(s) and the source, provide a link to the Creative Commons licence, and indicate if changes were made. The images or other third party material in this article are included in the article's Creative Commons licence, unless indicated otherwise in a credit line to the material. If material is not included in the article's Creative Commons licence and your intended use is not permitted by statutory regulation or exceeds the permitted use, you will need to obtain permission directly from the copyright holder. To view a copy of this licence, visit http://creativecommons.org/licenses/by/4.0/.
About this article
Cite this article
Nobari, H., Praça, G.M., da Glória Teles Bredt, S. et al. Weekly variations of accelerometer variables and workload of professional soccer players from different positions throughout a season. Sci Rep 13, 2625 (2023). https://doi.org/10.1038/s41598-023-29793-5
Received:
Accepted:
Published:
Version of record:
DOI: https://doi.org/10.1038/s41598-023-29793-5
This article is cited by
-
Seasonal Changes in Acceleration-Speed Profiles: Insights from Soccer Players Across Diverse Age Groups
Sport Sciences for Health (2025)
-
Analyzing a full season of external training load monitoring based on distance in Iranian Premier League Soccer male players
Sport Sciences for Health (2024)



