Abstract
The significance of CO2 wetting behavior in shale formations has been emphasized in various CO2 sequestration applications. Traditional laboratory experimental techniques used to assess shale wettability are complex and time-consuming. To overcome these limitations, the study proposes the use of machine learning (ML); artificial neural networks (ANN), support vector machines (SVM), and adaptive neuro-fuzzy inference systems (ANFIS) tools to estimate the contact angle, a key indicator of shale wettability, providing a more efficient alternative to conventional laboratory methods. A dataset comprising various shale samples under different conditions was collected to predict shale-water-CO2 wettability by considering shale properties, operating pressure and temperature, and brine salinity. Pearson’s correlation coefficient (R) was utilized to assess the linearity between the contact angle (CA) value and other input parameters. Initial data analysis showed that the elements affecting the shale wettability are primarily reliant on the pressure and temperature at which it operates, the total organic content (TOC), and the mineral composition of the rock. Between the different ML models, the artificial neural network (ANN) model performed the best, achieving a training R2 of 0.99, testing R2 of 0.98 and a validation R2 of 0.96, with an RMSE below 5. The adaptive neuro-fuzzy inference system (ANFIS) model also accurately predicted the contact angle, obtaining a training R2 of 0.99, testing R2 of 0.97 and a validation R2 of 0.95. Conversely, the support vector machine (SVM) model displayed signs of overfitting, as it achieved R2 values of 0.99 in the training dataset, which decreased to 0.94 in the testing dataset, and 0.88 in the validation dataset. To avoid rerunning the ML models, an empirical correlation was developed based on the optimized weights and biases obtained from the ANN model to predict contact angle values using input parameters and the validation data set revealed R2 of 0.96. The parametric study showed that, among the factors influencing shale wettability at a constant TOC, pressure had the most significant impact, and the dependency of the contact angle on pressure increased when TOC values were high.
Similar content being viewed by others
Introduction
Various studies have highlighted the significance of the interaction between carbon dioxide (CO2) and shale formations in different applications related to CO2 sequestration1,2,3,4,5. One notable application involves the evaluation of enhanced oil and gas recovery techniques aimed at increasing hydrocarbon extraction from shale reservoirs. These techniques encompass approaches such as CO2 and N2 huff techniques, miscible gas injection, and CO2 flooding in shale oil reservoirs. Additionally, the research has explored the interaction between CO2 and shale formations in the context of carbon sequestration, where CO2 can be stored in various subsurface formations including depleted hydrocarbon reservoirs, saline aquifers, unmineable coalbeds, and oil reservoirs. Shale formations play a crucial role as cap rocks, effectively sealing and preventing CO2 leakage to upper formations. As injected CO2 migrates upwards due to its lower density compared to the formation brine, it becomes trapped by an ultralow seal cap rock.
The wettability of the shale/CO2 /brine system greatly influences the structural trapping capacity (of a caprock) and the cap rock integrity4. Where the more wet the shale rock, the more efficient the structural trapping, and higher cap rock integrity. Shale formations have also recently been considered to be CO2 storage. CO2 can be stored as a dissolved gas in the formation water, adsorbed phase in the shale matrix, or stored as free CO2 or supercritical fluid in the formations’ natural fractures and matrix pores. The adsorption storage capacity is more common in shale formations. This is explained by the fact that CO2 has a much higher capacity for adsorption than methane. The CO2 adsorption capacity in the shale matrix surface for CO2 sequestration in shale formation is determined by the wetting behavior of the shale in contact with CO2 in the presence of formation brine in the matrix. For example, in lower water wet formations, the CO2 diffusion rate to the rock surface will be greater than the diffusion rate through the hydrated layer on the rock surface in higher water wet formations6,7,8. Furthermore, for hydraulic fracturing operations, the water flowback efficiency is heavily influenced by spontaneous water imbibition and rock wettability3. Studying the effects of using CO2 and CO2 foam for drilling and hydraulic fracturing operations is another application of CO2 interaction with shale formations1,2,3,4,5,6,9,10,11,12.
Shale wettability can be assessed using various experimental quantitative and qualitative techniques. Contact angle measurements, the Amott method, the USBM method, and nuclear magnetic resonance (NMR) are an example of the quantitative methods13,14,15,16,17,18,19,20,21,22,23,24. In addition, there are other qualitative methods to measure rock wettability, such as flotation, relative permeability, and recovery curves. These methods have several limitations that can affect the accuracy and reliability of the predictions.
The contact angle measurements on shale surfaces are widely used but have limitations that are related to the complex surface preparation process. One limitation is that the test requires a clean and smooth shale surface, which can be difficult to obtain in practice. Additionally, the test can be affected by the presence of impurities or coatings on the shale surface, which can alter the CA-value and lead to inaccurate predictions. Furthermore, the test can be difficult to perform on shale samples with irregular surfaces, which can lead to inaccurate measurements and unreliable predictions.
Machine learning applications
Machine learning (ML) can be used to analyze large and complex datasets to improve decision-making and automate tasks in the industry. ML has been used in various applications in the oil and gas industry such as seismic surveys, well logs, drilling parameters, and production data to create detailed models of reservoirs25,26,27,28,29.
Machine learning algorithms have gained significant traction in CO2 sequestration for reservoir characterization and management. They leverage various data sources to predict vital reservoir parameters such as porosity, permeability, and lithology, enabling accurate estimation of storage capacity and understanding of CO2 behavior. Furthermore, machine learning techniques enhance reservoir simulation models by incorporating real-time sensor data and dynamic reservoir activity, resulting in improved management, risk assessment, and precise estimation of CO2 transport and potential leakage risks. In rock wettability prediction, machine learning methods have been utilized. Wang et al. employed deep learning with nuclear magnetic resonance (NMR) for wettability estimation30, while Otchere et al. proposed an NMR-based approach for rock wettability prediction31. However, these methods often involve complex analysis and assumptions, introducing uncertainties. Moreover, they have not specifically addressed CO2 wettability in shale formations. Other studies have explored machine learning for contact angle measurement, such as32 analyzing droplet images and Ibrahim predicting wettability of coal formations. Tariq et al. focused on specific rocks using neural networks for rock wettability prediction with CO2, considering pressure and temperature as operating conditions33.
Artificial neural networks (ANN) is a popular machine-learning method that simulates the brain neurons. In classification, regression, and clustering tasks, ANN could be used as an unsupervised or supervised machine learning tool. As shown in Fig. 1, an ANN is made up of several elements such as neurons, training functions, and transfer functions in different layers. Many effective applications of ANN in the oil and gas industry have been reported in the literature34,35,36,37,38.
ANN structured of different hidden layers in addition to the input and output layers.
Support Vector Machine (SVM) is a powerful and widely used supervised learning algorithm for classification and regression tasks. The SVM algorithm seeks to find a boundary or a hyperplane that maximally separates the different classes in the data. The boundary or hyperplane is chosen so that it maximizes the margin, or the distance between the boundary and the closest data points from each class, known as support vectors. SVMs can handle both linear and nonlinear data by using kernel functions, which transform the input data into a higher dimensional space, where a linear boundary can separate the classes. Some popular kernel functions include the radial basis function (RBF) and the polynomial kernel. One of the main advantages of SVMs is that they are able to handle high-dimensional data and have a regularization parameter, which helps to avoid overfitting. Additionally, SVMs are able to handle data sets with a large number of features. SVMs are widely used in various fields such as bioinformatics, natural language processing, computer vision, and finance. SVM has different applications in oil and gas industry for classification and regression problems38,39,40.
Adaptive Neuro-Fuzzy Inference System (ANFIS) is a type of artificial intelligence system that combines the benefits of both fuzzy logic and neural networks. ANFIS was introduced by Jang in 1993 as a way to improve the performance of fuzzy inference systems by using neural network techniques for parameter estimation. ANFIS is widely used in various fields, including control systems, financial analysis, pattern recognition, and many other applications. ANFIS uses a hybrid learning algorithm that combines the benefits of both gradient descent and backpropagation. The gradient descent method is used to optimize the parameters of the fuzzy sets, while backpropagation is used to optimize the parameters of the neural network. ANFIS has several advantages over other types of artificial intelligence systems. One of the main advantages is that ANFIS can handle complex non-linear relationships between inputs and outputs, making it useful for many applications where traditional statistical models fail to produce accurate predictions. ANFIS is also easy to implement and can be trained using a variety of optimization techniques, including genetic algorithms and particle swarm optimization.
The importance of understanding shale wettability when exposed to CO2 lies in its implications for assessing the feasibility and effectiveness of CO2 sequestration techniques. The novelty of the current research is to introduce a novel approach to predict CO2 shale wettability using machine learning techniques to overcome the limitations of traditional experimental methods, which are time-consuming and resource intensive. By harnessing the power of machine learning, the study seeks to develop accurate and user-friendly models for estimating shale wettability based on the contact angle. Previous ML studies have either focused on different rock types, involved complex interpretations of input features, relied on a single machine learning method, or suffered from lower accuracy and overfitting problems. In contrast, this research utilizes advanced machine learning computational techniques to uncover meaningful patterns and correlations from different datasets. The current study comparing different ML methods including artificial neural networks (ANN), support vector machines (SVM), and adaptive neuro fuzzy inference system (ANFIS). Moreover, to eliminate the need for re-executing the machine learning models, an empirical correlation was formulated using the optimized weights and biases derived from the ANN model. This correlation enables the prediction of contact angle values by utilizing input parameters without the requirement of rerunning the machine learning models.
Methodology
Data description
This study utilized a compiled dataset of contact angle measurements from various literature sources that were carefully filtered to include only relevant data. To account for the impact of different rocks and conditions, input parameters such as rock mineralogy, total organic carbon (TOC), porosity, permeability (k), pressure (P), and temperature (T) were considered. The dataset was split into training and testing sets at a 70/30 ratio and used to train various machine learning models, whose results were validated on an unseen dataset.
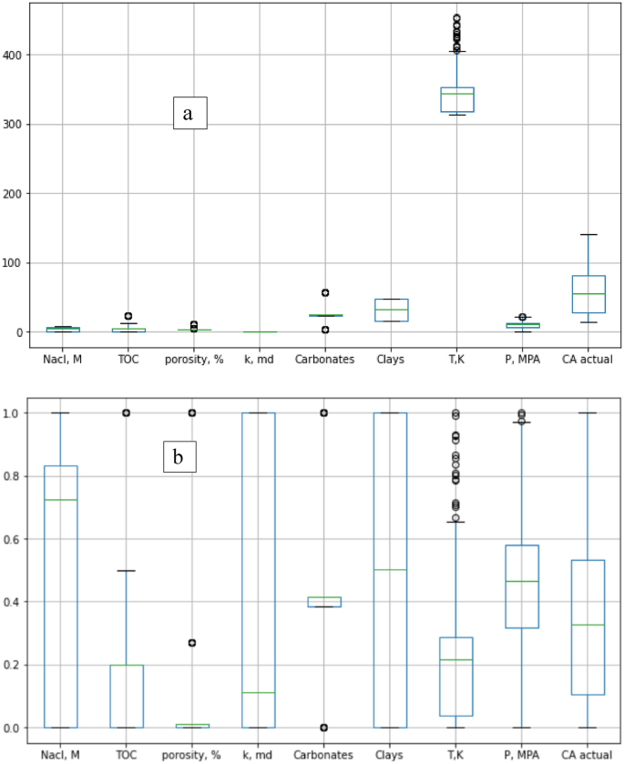
Table 1 presents the statistical parameters for different shale properties and operating conditions, along with their corresponding CA-values ranging from 14 to 140 degrees, indicating a broad spectrum of wettability from strong water wet to CO2 wet conditions. Figure 2 displays the correlation coefficient heatmap for the different inputs and outputs, showing the bivariate analysis of their relationship. Figure 2 quantifies the relationship between the properties with the R-value, where values range from − 1 for a strong negative relationship to + 1 for a strong positive relationship. The input parameters with the most significant impact on shale wettability were TOC, porosity, and clay contents, while CA-value showed the least sensitivity to quartz content and salt concentration in the brine. Figure 3 showed box plot for the different input and output data. Figure 3a showed the box plot for the actual values for the input and the output data. The input parameters showed various ranges. Figure 3b showed the normalized parameters level. Minimum–Maximum normalization technique was used to normalize the data to be in the same level and varies from 0 to 1. The data showed that some data are follows normally distribution such as clays, carbonate contents, pressure, and the contact angle values. On the other hand, TOC, and permeability follows lognormal distribution.
R-values between the different parameters with each other.
Box plot for different parameters (a) the actual data and (b) the min–max normalized data.
Model development
In Fig. 4, the methodology employed to construct the ML models to forecast shale CA-value based on shale mineralogy and operating conditions is depicted. Initially, data was collected and preprocessed, followed by the utilization of various ML algorithms to predict the CA-value by incorporating shale properties such as permeability and porosity, mineralogy (including clay content, carbonates, and quartz), and total organic carbon (TOC), as well as input parameters like brine salinity, temperature, and pressure. Subsequently, the data was randomly divided into training and testing datasets, and the models were trained using the training dataset, with hyperparameters optimized to enhance performance. To assess the splitting ratio, the developed models were tested on the testing datasets, and a hidden dataset was utilized to validate the model.
Models’ development processes.
Artificial neural networks (ANN), support vector machines (SVM), and adaptive neuro fuzzy inference system (ANFIS) were applied on the collected data. For each model different hyper parameters were optimized to reach the highest model performance. Table 2 summarizes the different hyperparameters options and the optimum option used on each ML model.
R2 and root mean square error (RMSE) were used to evaluate the developed ML models. R2 and RMSE were calculated using the following equations.
where SSE is the summation of residuals squares, n is the number of data, \({y}_{i}\) is the actual CA-values, \({\widehat{y}}_{i}\) is the predicted CA-values, and \({SS}_{YY}\) is the summation of squares of data variation with respect to the data mean value.
Results and discussion
ANN model results
The artificial neural networks (ANN) model was created to estimate the contact angle (CA) based on the input parameters. Different hyperparameters were tested for the ANN model and the optimum performance was found using one hidden layer with 10 neutrons, the training function was selected to be “trainbr” and the transfer function is “logsig”.
Cross plots for the training and testing datasets of the ANN model are illustrated in Fig. 5. The results showed that ANN model was able to predict the CA-value using input parameters where the R2 values were higher than 0.98 for both the training and testing datasets, respectively. The predicted versus the actual contact angle values were aligned with the 45-degree line with RMSE value less than 4.
The actual versus the predicted CA-value from ANN model results.
The residual error analysis technique was used to analyze the residual between the actual and the ANN-predicted contact angle values. Figure 6a showed a scatter plot for the residual versus the contact angle values. The residual showed even scattering in positive and negative values along the contact angle values. In addition, Fig. 6b shows the frequency distribution of the residual values. The residual shows a normal distribution with mean value equal to zero that reflect good regression process without model biasing toward any contact angle ends.
The residual error analysis, (a) scattered plot for the residual versus contact angle value, (b) residual frequency distribution.
The study produced new empirical equations that can be utilized to estimate contact angle without running the ANN code. These equations were derived from the weights and biases of the optimized ANN model41,42,43. The ANN model was built with a single hidden layer and logsig transfer function. Equation (5) details the resulting equation generated from these weights and biases.
where \(u=\sum_{j}^{m}{W}_{1i,j}{X}_{j}+b{1}_{i}\), and
W2i and b2 are the weight and bias between the hidden layer and output layer, \({W}_{1i,j}\) represents the weights at different neurons (i from 1 to N = 1) between the input layer and hidden layer for the different inputs’ parameters (j from 1 to m) including, NaCl molar concentration, TOC percentage, porosity percentage, k in md, quartz, carbonates, and clays concentrations, and operating temperature and pressure. b1i denoting the optimized biases for the hidden layer neurons (i) from 1 to the total number of neurons (N). This equation was formulated to replicate the ANN-based model by utilizing the optimized networks' weights and biases. To substitute the weights and biases in Eq. (5), Table 3 lists the optimized weights and biases of the developed CA model.
ANFIS model results
Using the available data, an ANFIS model was constructed and subsequently trained and tested. The optimized hyperparameters for the ANFIS model included “Gaussian” and “Linear” for the input and output membership functions, respectively, with a membership function count of 5. Table 2 summarized the various options and the selected optimum hyperparameters.
To assess the accuracy of the ANFIS model, an across plot was generated and is shown in Fig. 7. The plot depicts the predicted values versus the actual values for the CA-value in both the training and testing datasets. The data scattered closely along the 45-degree line demonstrates the high accuracy of the ANFIS model’s predictions. The R2 values obtained were 0.99 and 0.97 for the training and testing datasets, respectively, providing additional evidence of the ANFIS model's ability to forecast shale CA-value based on rock properties and operational conditions. Furthermore, the RMSE values for both the training and testing datasets were below 5, which confirms the ANFIS model’s reliability.
The actual versus the predicted CA-value from ANFIS model results.
Figure 8 shows that the residual error analysis of the predicted contact angle values from the ANFIS model exhibited normally distributed errors centered around a mean of zero. The residual values extended to − 10 and 10 degrees, which is indicative of the ANFIS model’s high accuracy in predicting CA values.
The residual error analysis for ANFIS model results, (a) scattered plot for the residual versus contact angle value, (b) residual frequency distribution.
SVM model results
Support vector machine techniques was also applied on the collected data to predict the contact angle values. As shown in Table 2, different hyperparameters were tested to improve the model performance. The optimum performance was found with using Gaussian as a kernel function with optimal kernel option = 3.5, epsilon = 0.0001, lambda = 0, and regularization parameter of 200.
Figure 9 displays cross plots of the training and testing datasets for SVM model. The SVM model showed an excellent predictive capability for CA values as a function of rock mineralogy and operating conditions. R2 values was found to be of 0.99 and 0.94 for the training and testing datasets, respectively, with RMSE values of 3 and 7 degrees in both datasets, which confirms its ability to predict the shale CA-value. This behavior may show some overfitting problem with SVM model where the training data set R2 was higher than the testing R2 value.
The actual versus the predicted CA-value from SVM model results.
The residual error analysis of the predicted contact angle values from SVM model showed normally distributed error around mean of zero as presented in Fig. 10. Some residual values were extended to − 31 and 31 degree that increases the RMSE to 7 degree and the R2 becomes 0.94 for the testing data set.
The residual error analysis for SVM model, (a) scattered plot for the residual versus contact angle value, (b) residual frequency distribution.
Models validation
Following the development of the ML models, they were validated using an unseen dataset. Figure 11 depicts the actual CA-value measurements compared to the predicted values for the different ML models. The actual CA-values are represented by dots, while the predicted values for the ML models are represented by various lines. As shown in Fig. 11, the ML models were successful in predicting shale CA-value based on formation properties and operating conditions. However, the SVM model failed to predict some of the CA-value in the validation dataset, with its results (yellow line) either overestimating or underestimating the actual values. In contrast, the ANN model demonstrated the best performance among the other techniques, achieving an R2 value of 0.96 in the validation dataset, with an RMSE of 5.
Actual versus the predicted parameters in the validation dataset for the different ML models.
Table 4 summarizes the R2 and RMSE values for the different ML models, using various datasets. The results indicate that the ANN ML model’s performance was superior to the other models, followed by ANFIS and then SVM. The R2 for the SVM model was 0.88, indicating the presence of an overfitting problem that was observed in the testing set.
Parametric analysis
The ANN model was used to investigate the sensitivity of CA-value to input parameters and TOC values. By generating 10,000 realizations, the CA-value was predicted as a function of input parameters within the ranges presented in Table 1 at specific TOC values. Figure 12 displays the cumulative frequency of the CA-value at different TOC values. For instance, when the TOC value is low (5%), the shale rock is mostly water-wet, regardless of the input parameter values. At a P (90) value, 90% of the samples will be water-wet at any conditions for low TOC values, and less than 10% of the samples will be CO2-wet with CA values higher than 90 degrees.
Cumulative frequency of different CA-values at different input properties for a certain TOC value.
As the TOC value increases to 9%, the entire curve shifts to the right, indicating an increase in rock hydrophobicity. The findings revealed that for a shale sample with a TOC value of 9%, 25% of the shale samples will be CO2-wet. A similar trend was observed when the TOC value increased to 14%, where the shale surface becomes even more CO2-wet, and around 35% of the rock samples become CO2-wet. However, further increase in the TOC value did not change the distribution of the contact angle values, which suggests a high dependency of the wettability on the other input parameters.
R-values were calculated between the input parameters and the corresponding CA-value output values for each TOC value. Figure 13 shows the dependency of CA-value on various input parameters, which is independent of the TOC value. The R-values are almost constant for each parameter with increasing TOC values until a value of 9%. The R-value between the pressure and contact angle increased from 0.48 at low TOC values to 0.63 at high TOC values, confirming an increasing dependency of CA on pressure at high TOC values, consistent with the results shown in Fig. 12.
The CA-value sensitivity to the different input parameters. (a) The trend of R-value between the different parameters and contact angle for different TOC, (b) average R-values between the different parameters and contact angle.
Figure 13b shows the average R-value between the input parameters and the contact angle at different TOC values. Operating pressure has the highest positive effect on the CA-values, followed by salt concentration in the brine solution. On the other hand, temperature has the most significant negative effect on the CA-values. The concentrations of clays and quartz display a negative relationship with the CA-value, indicating that the shale surface becomes more water-wet as their concentrations increase. In contrast, carbonates show a positive relationship with the CA-value, where the shale surface wettability turns less hydrophilic as the carbonate concentrations increase.
Conclusions
This study utilized machine learning techniques, including ANN, ANFIS, and SVM, to predict the contact angle of shale formations under various operational conditions, eliminating the need for expensive and time-consuming experimental measurements. The results of this study are outlined below.
-
The different ML models accurately predicted contact angle based on shale mineralogy and operating conditions.
-
ANN model outperformed other ML models with R2 higher than 0.96 and RMSE less than 5 for training, testing and validation datasets.
-
SVM model showed overfitting problem with R2 values decreased from 0.99 to 0.88 for the training dataset compared to the validation dataset.
-
An empirical correlation was developed based on ANN model to predict contact angle without rerunning ML models with validation R2 of 0.96.
-
Operating pressure had the most significant impact on shale wettability at constant TOC, and contact angle dependency on pressure increased at high TOC values.
Data availability
A summary of the data used in this study is included in the paper, and detailed data sample will be available upon request by contacting the corresponding Author (ahmed.ibrahim@kfupm.edu.sa).
Abbreviations
- ANN:
-
Artificial neural networks
- SVM:
-
Support vector machines
- ANFIS:
-
Adaptive neuro fuzzy inference system
- TOC:
-
Total organic content
- RMSE:
-
Root mean square error
- NMR:
-
Nuclear magnetic resonance
- CA:
-
Contact angle
- ML:
-
Machine learning
- R2 :
-
Coefficient of determination
- Nacl, M:
-
Molar brine concentration
- K:
-
Permeability
- T:
-
Operating temperature, K
- P:
-
Operating pressure, MPa
- SSE :
-
Summation of residuals squares
- n:
-
Number of data
- \(y_{i}\) :
-
Actual data values
- \(\hat{y}_{i}\) :
-
Predicted data values
- \(S_{YY}\) :
-
Summation of squares of data variation with respect to the data mean value
- W2i and b2 :
-
Weight and bias between the hidden layer and output layer
- \({\text{W}}_{{1{\text{i}},{\text{j}}}}\) :
-
Weights between the input layer and hidden layer
- b1i :
-
Optimized biases for the hidden layer neurons
- N:
-
Total number of neurons ()
References
Espinoza, D. N. & Santamarina, J. C. Water-CO2-mineral systems: Interfacial tension, contact angle, and diffusion—Implications to CO2 geological storage. Water Resour. Res. 46(7), 8634 (2010).
Kaveh, N. S., Barnhoorn, A. & Wolf, K.-H. Wettability evaluation of silty shale caprocks for CO2 storage. Int. J. Greenhouse Gas Control 49, 425–435 (2016).
Ksiezniak, K., Rogala, A. & Hupka, J. Wettability of shale rock as an indicator of fracturing fluid composition. Physicochem. Probl. Miner. Process. 51(1), 315–323 (2015).
Iglauer, S. et al. CO2 wettability of caprocks: Implications for structural storage capacity and containment security. Geophys. Res. Lett. 42(21), 9279–9284 (2015).
Chiquet, P., Broseta, D. & Thibeau, S. Wettability alteration of caprock minerals by carbon dioxide. Geofluids 7(2), 112–122 (2007).
Arif, M., Abu-Khamsin, S. A. & Iglauer, S. Wettability of rock/CO2/brine and rock/oil/CO2-enriched-brine systems: Critical parametric analysis and future outlook. Adv. Colloid Interface Sci. 268, 91–113 (2019).
Ibrahim, A. F. & Nasr-El-Din, H. A. Effects of formation-water salinity, formation pressure, gas composition, and gas-flow rate on carbon dioxide sequestration in coal formations. SPE J. 22(05), 1530–1541 (2017).
Ibrahim, A. F. & Nasr-El-Din, H. A. Effect of water salinity on coal wettability during CO2 sequestration in coal seams. Energy Fuels 30(9), 7532–7542 (2016).
Kaveh, N. S. et al. Wettability evaluation of a CO2/water/bentheimer sandstone system: Contact angle, dissolution, and bubble size. Energy Fuels 28(6), 4002–4020 (2014).
Jiamin, W., Yongman, K. & Jongwon, J. Wettability Alteration Upon Reaction with scCO2: Pore Scale Visualization and Contact Angle Measurements (Goldschmidt, 2011).
Iglauer, S., Pentland, C. & Busch, A. CO2 wettability of seal and reservoir rocks and the implications for carbon geo-sequestration. Water Resour. Res. 51(1), 729–774 (2015).
Chalbaud, C. et al. Wettability impact on CO2 storage in aquifers: Visualisation and quantification using micromodel tests, pore network model and reservoir simulations. In International Symposium of the Society of Core Analysts, Calgary, Canada (2007).
Center, R. B. Contact Angle, Wettability and Adhesion (1964).
Marmur, A. et al. Contact angles and wettability: Towards common and accurate terminology. Surf. Innov. 5(1), 3–8 (2017).
Zhao, T. & Jiang, L. Contact angle measurement of natural materials. Colloids Surf. B 161, 324–330 (2018).
Ibrahim, A. F. & Nasr-El-Din, H. Investigation of coal wettability for the CO2 sequestration and ECBM applications: A review. In Carbon Management Technology Conference (OnePetro, 2019).
Anderson, W. Wettability literature survey-part 2: Wettability measurement. J. Petrol. Technol. 38(11), 1246–1262 (1986).
McPhee, C., Reed, J. & Zubizarreta, I. Wettability and wettability tests. In Developments in Petroleum Science (eds McPhee, C. et al.) 313–345 (Elsevier, 2015).
Rao, D. & Girard, M. A new technique for reservoir wettability characterization. J. Can. Petrol. Technol. 35(01), 5 (1996).
Dullien, F. & Fleury, M. Analysis of the USBM wettability test. Transp. Porous Media 16(2), 175–188 (1994).
Al-Muthana, A. S. et al. Wettability as a function of pore size by NMR. In SCA Conference Paper (2012).
Brown, R. J. & Fatt, I. Measurements of fractional wettability of oil fields’ rocks by the nuclear magnetic relaxation method. In Fall Meeting of the Petroleum Branch of AIME (OnePetro, 1956).
Looyestijn, W. & Hofman, J. Wettability-index determination by nuclear magnetic resonance. SPE Reservoir Eval. Eng. 9(02), 146–153 (2006).
Isah, A. et al. Characterization of fluid drainage mechanism at core and pore scales: An NMR capillary pressure-based saturation exponent prediction. In SPE Europec featured at 82nd EAGE Conference and Exhibition (OnePetro, 2021).
Mohamadian, N. et al. A geomechanical approach to casing collapse prediction in oil and gas wells aided by machine learning. J. Petrol. Sci. Eng. 196, 107811 (2021).
Sircar, A. et al. Application of machine learning and artificial intelligence in oil and gas industry. Petrol. Res. 6(4), 379–391 (2021).
de Oliveira Werneck, R. et al. Data-driven deep-learning forecasting for oil production and pressure. J. Petrol. Sci. Eng. 210, 109937 (2022).
Ibrahim, A. F., Abdelaal, A. & Elkatatny, S. Formation resistivity prediction using decision tree and random forest. Arab. J. Sci. Eng. 47(9), 12183–12191 (2022).
Ibrahim, A. F., Alarifi, S. A. & Elkatatny, S. Data-driven EUR for multistage hydraulically fractured wells in shale formation using different machine learning methods. J. Petrol. Explor. Prod. Technol. 1, 1–12 (2023).
Wang, Y., Xie, J. & Mao, Z. Wettability evaluation by nuclear magnetic resonance based on deep learning approach. In 83rd EAGE Annual Conference & Exhibition (EAGE Publications BV, 2022).
Otchere, D. A. et al. A novel empirical and deep ensemble super learning approach in predicting reservoir wettability via well logs. Appl. Sci. 12(6), 2942 (2022).
Kabir, H. & Garg, N. Machine learning enabled orthogonal camera goniometry for accurate and robust contact angle measurements. Sci. Rep. 13(1), 1497 (2023).
Tariq, Z. et al. Data-driven machine learning modeling of mineral/co2/brine wettability prediction: Implications for CO2 geo-storage. In Middle East Oil, Gas and Geosciences Show (eds Tariq, Z. et al.) (OnePetro, 2023).
Bataee, M., Irawan, S. & Kamyab, M. Artificial neural network model for prediction of drilling rate of penetration and optimization of parameters. J. Jpn. Petrol. Inst. 57(2), 65–70 (2014).
El-Abbasy, M. S. et al. Artificial neural network models for predicting condition of offshore oil and gas pipelines. Autom. Constr. 45, 50–65 (2014).
Gowida, A., Ibrahim, A. F. & Elkatatny, S. A hybrid data-driven solution to facilitate safe mud window prediction. Sci. Rep. 12(1), 15773 (2022).
Ibrahim, A. F. Prediction of coal wettability using machine learning for the application of CO2 sequestration. Int. J. Greenhouse Gas Control 118, 103670 (2022).
Otchere, D. A. et al. Application of supervised machine learning paradigms in the prediction of petroleum reservoir properties: Comparative analysis of ANN and SVM models. J. Petrol. Sci. Eng. 200, 108182 (2021).
Ibrahim, A. F. et al. Application of various machine learning techniques in predicting water saturation in tight gas sandstone formation. J. Energy Res. Technol. 144(8), 083009 (2022).
Anifowose, F. & Abdulraheem, A. Fuzzy logic-driven and SVM-driven hybrid computational intelligence models applied to oil and gas reservoir characterization. J. Nat. Gas Sci. Eng. 3(3), 505–517 (2011).
Kang, D. et al. Predicting the components and types of kerogen in shale by combining machine learning with NMR spectra. Fuel 290, 120006 (2021).
Ma, J. et al. Defining kerogen maturity from orbital hybridization by machine learning. Fuel 310, 122250 (2022).
Elkatatny, S., Tariq, Z. & Mahmoud, M. Real time prediction of drilling fluid rheological properties using artificial neural networks visible mathematical model (white box). J. Petrol. Sci. Eng. 146, 1202–1210 (2016).
Acknowledgements
The authors would like to acknowledge the support provided by the Deanship of Research Oversight and Coordination (DROC) at King Fahd University of Petroleum & Minerals (KFUPM) for funding this work through Project No. EC221015.
Author information
Authors and Affiliations
Contributions
The manuscript was written through the contributions of all authors. All authors have approved the final version of the manuscript.
Corresponding author
Ethics declarations
Competing interests
The authors declare no competing interests.
Additional information
Publisher's note
Springer Nature remains neutral with regard to jurisdictional claims in published maps and institutional affiliations.
Rights and permissions
Open Access This article is licensed under a Creative Commons Attribution 4.0 International License, which permits use, sharing, adaptation, distribution and reproduction in any medium or format, as long as you give appropriate credit to the original author(s) and the source, provide a link to the Creative Commons licence, and indicate if changes were made. The images or other third party material in this article are included in the article's Creative Commons licence, unless indicated otherwise in a credit line to the material. If material is not included in the article's Creative Commons licence and your intended use is not permitted by statutory regulation or exceeds the permitted use, you will need to obtain permission directly from the copyright holder. To view a copy of this licence, visit http://creativecommons.org/licenses/by/4.0/.
About this article
Cite this article
Ibrahim, A.F., Elkatatny, S. Data-driven models to predict shale wettability for CO2 sequestration applications. Sci Rep 13, 10151 (2023). https://doi.org/10.1038/s41598-023-37327-2
Received:
Accepted:
Published:
Version of record:
DOI: https://doi.org/10.1038/s41598-023-37327-2















